新闻动态
News
行业新闻

15000余字香精香料、增稠剂和调味剂培训内容,你别错过!

2022年02月15日香精香料公司浏览量:0

阅读提醒:本人已尽可能地参考更多的资料,但受限于学识不足 fun88乐天堂,可能会出现些许错误之处,应用时请仔细辨别,更多请参考GB 2760-2014。

01

香精香料

香料——赋予食品以香气或同时赋予特殊滋味的物质。

香精——由多种香料混合配成的物质

作用:

使食品产生香味,增进食欲,有利消化吸收 fun88乐天堂官网,增加食品的花色品种,提高食品质量。

恢复食品香味,强化特征味道。

消杀食品中的不良味道。

杀菌、防腐。

一、食用香料

1、定义:能够用于调配食用香精,并使食品增香的物质,食品用香料、香精不包括只产生甜味、酸味或咸味的物质,也不包括增味剂。 fun88乐天堂官网是什么

2,作用:不但能够增进食欲,有利消化吸收,而且增加食品的花色品种 乐天堂fun88靠谱吗,提高食品质量,具有重要作用。

3,特点:是一类特殊的食品添加剂,品种多 fun88乐天堂,用量少,大多存在于天然食物中。

4. 分类:按来源和制造方法等不同分为三类:天然香料. 天然等同香料. 人造香料 乐天堂FUN88.

天然等同香料和人造香料都属于2760中的合成香料范畴。

(一)天然香料

用纯粹物理方法从天然芳香植物或动物原料中分离得到的物质,通常认为安全性高 fun88乐天堂官网是什么.

动物(麝香 乐天堂fun88靠谱吗,海狸香,麝鼠香)植物(白兰花油,玫瑰花油等)。

a.香辛料(Spice)

b.精油(Essential Oil)

c.酊剂(Tincture)

d.浸膏(Concrete)

e.香树脂(Resinoid)

f.净油(Absolute)

g.油树脂(Oleoresin)

各种具有特殊香气,香味和滋味的植物全草,叶,根,茎,树皮,果实或种子,如桂皮,茴香和胡椒等 fun88乐天堂,用以提高食品风味,因其中大部分用于烹调,故又称“调味香料”,不少香辛料已有上千年的食用史,在正常使用范围内无毒性问题。

按美国香辛料协会(American Spices Association)的定义为:“凡主要用来供食品调味用的植物 乐天堂FUN88,均可称之为香辛料,”。

以芳香植物不同部位的组织(如花蕾、果实、种子、 根、茎、叶、皮等)或分泌物为原料,采用压榨、冷磨、萃取、水蒸汽蒸馏、吸附等方法,提取得到的由萜烯、脂环族、脂肪族等组成的混合物称之为精油。

戊醇、己醇——花蕾

乙醇、丙醇——酚类化合物

甲苯——含芳烃化合物的精油

含氯溶剂——含胺类化合物

世界上精油品种在3000种以上,其中具有商业价值的约数百种,适用于食品的约百余种。在各种精油中,中国生产的桂皮油在世界市场上占有重要地位。

用一定浓度的乙醇,在室温下浸提天然动物的分泌物或植物的果实、种子、根茎等并经冷却、澄清、过滤后所得的制品称为酊剂。如香荚兰豆酊、小豆蔻酊等。

用挥发性溶剂(如石油醚)浸提香料植物组织的可溶性物质,最后脱脂、浓缩得到的膏状物质称为浸膏。如小花茉莉浸膏、桂花浸膏、晚香玉浸膏、香荚兰豆浸膏、墨红花浸膏等。

用有机溶剂浸提香料植物所渗出的带有香成分的树脂样分泌物,最后经除去所用溶剂和水分的制品称为香树脂。如榄香香树脂、安息香树脂等。

植物浸膏(或香脂、香树脂及水蒸汽蒸馏法制取精油后所得的含香蒸馏水等的萃取液),用乙醇重新浸提后再除去溶剂而得的高纯度制品。也有的经冷冻处理,滤去不溶于乙醇的蜡、脂肪和萜烯类化合物等全部物质,再在减压低温下蒸去乙醇后所得的物质,属高度浓缩、完全醇溶性的液体香料,称之为净油。如玫瑰净油、橙花净油等。

用有机溶剂浸提香辛料后除去溶剂而得的一类天然香料,呈粘稠状液体。主要成分为精油、辛辣成分、色素和树脂,有时也含非挥发性油脂及部分糖类。油树脂为天然香辛料有效成分的浓缩液,其浓度约为香辛原料的10倍。如黑胡椒油树脂、辣椒油树脂、大蒜油树脂、生姜油树脂等。油树脂属于浸膏范畴。

(二)天然等同香料

用化学合成方法得到或天然芳香原料经化学过程分离得到的物质。这些物质与人类消费的天然产品(不管是否加工过)中存在的物质,在化学上是相同的。这类香料品质很多,占食用香料的大多数,对调配食用香精十分重要。

(三)人造香料

人造香料是在供人类消费的天然产品(不管是否加工过)中尚未发现的香味物质,此类香料品种较少,均用化学合成方法制成,且其化学结构迄今在自然界尚未发现存在,基于此,这类香料的安全性引起人们极大关注。

随着科技和人们认识的不断深入和发展,有些原属人造香料的品种,在天然食品中发现有所存在,因而可以列为天然等同香料。例如,我国许可使用的人造香料己酸烯丙酯,国际上现已将其改为天然等同香料。

二、食用香精

食品的加香(增香),除烹调外,单独使用香料的情况不多,因为各种食品的独特风味是由许多风味成分相辅相成而形成的,如鸡肉的风味成分达220种,花生350,可可323种,咖啡450种。单体香料根本无法使人在感官上得到满意的效果,所以人们采用不同香料模仿天然香味。这就产生了食用香精。

定义:食用香精是由芳香物质、溶剂或载体以及某些食品添加剂组成的具有一定香型和浓度的混合体。

香精的组成:

芳香物质:即前述的天然香料、天然等同香料和人造香料

主香体:显示香型特征的主体。

辅助剂:调节香气香味,使变得清新幽雅。

定香剂:调节调和香料中各组分的挥发度,保持香气和香味。

稀薄剂可为食用乙醇、蒸馏水、丙二醇、精制食用油和三乙酸甘油酯等。含量通常占50%以上,这些溶剂可使香精成为均一产品并达到规定的浓度。

载体可为蔗糖、葡萄糖、糊精、食盐、SiO2等,主要用于吸附或喷雾干燥的粉末状食用香精中。食用香精在形态上可以是液体或浆状,也可以为粉末。

(一)食用香精的分类

1、按用途分类

饮料用、糖果用、焙烤食品用、酒用、调味料用、方便食品用、汤料用、茶叶用

2、按香型分类

柑桔型香精(如甜橙、柠檬香精等)、果香型香精(如香蕉、草毒香精等)、薄荷型香精(如薄荷、留兰香香精等)、豆香型香精(如香荚兰、咖啡香料等)、辛香型香精(如肉豆蔻、肉桂香精等)、乳品型香精(如牛奶、白脱、乳酪香精)、肉香型香精(如牛肉、鸡、鱼类香精)、坚果型香精(如杏仁、花生等)、酒香型、蔬菜型、焙烤型香精。

3、按香料组成分类

单体香料:

通常是指薄荷醇、香兰素等具有单一化学成分的香料。从没有经过人为调和的角度看,人们有时也会将精油等天然香料叫做单体香料。单体香料只在某些特殊情况下才直接作香料使用,常作为调合香料的原料。

调合香料:

由于单一化合物的香气很难满足实际要求,因而人们常将各种原料经过巧妙配合后,配制出符合一定目的要求的香料。

按剂型分类可分为液体(含乳液、浆状)和固体(含粉状、块状)

4、按性能分类

即按食品的组织结构和生产工艺条件不同分类

(1)水溶性香精

也称水质香精。将各种天然或合成香料调配而成的香基,再溶解于40~60%的乙醇(或丙二醇等其它水溶性溶剂)中,必要时再加入酊剂、萃取物或果汁等制成。

特征:在一般用量范围内透明溶解或均匀分散,具有轻快的头香,香气飘逸,但对热敏感。

适用:以水为介质的食品,如汽水、果露、棒冰、冰淇淋、酒类等。

(2)油溶性香精

也称油质香精,是普通的食用香料,以各种香料和香助剂调制成的香基中加入精炼植物油、甘油丙二醇等稀释剂,配制成可溶性香精。

特征:香气浓郁、沉着持久,香味浓度较高,相对不易挥发,具有香感强硬的体香香韵。

适用:较高温度操作工艺的食品加香,如糖果、饼干和糕点。

如橙香精:柠檬油63g、橙油24.8g、肉桂油10.6g、其他1.6g。

(3)乳化香精

将油性香料加入适当的乳化剂、稳定剂、色素使其在水中分散为微粒而成,一般为O/W型。乳化的效果可以抑制香精的挥发,可使油溶性香味剂溶于水中,降低成本。乳化剂通常用阿拉伯胶的天然胶质。

特征:外观呈乳浊液状,香气温和,有保香效果,而且由于它在水中的分散性产生浑浊作用,可以加入着色剂。但历时安定性较差,应防止腐败变质。

适用:需要混浊度的果汁和果味饮料等,可使饮料外观接近天然果汁。

如橙子乳化香精:乳化橙油460g,芫荽油5g,肉桂油50g,阿拉伯胶340g,柠檬油55g。

(4)粉末香精

粉末香精是以乳糖一类物质作为担体,将香基混合后附在担体面上制成。

特征:使用方便,历时安定性强,易吸湿结块,要防止腐败变质。

(5)微胶囊香精

制备方法:先将香基制成乳化香料后,再经过喷雾干燥制成粉末.

特征:香料被赋形剂包围覆盖,稳定性、分散性较好。对香精中易于氧化、挥发的芳香物质,可起到很好的保护作用,延长加香产品的保质期。

适用:粉末状食品的加香,如固体饮料、果冻粉。

(6)肉味香精

肉香型和菜肴型香精,用于人造肉及各种汤料、方便食品。

配制的主要原料一般是脂质、碳水化合物和氨基酸、蛋白质、杂环化合物扩一些香料。

例如,配方:牛油5.5%,谷氨酸钠17.8%,水解植物蛋白27.4%,2-甲基于-呋喃醇0.5%, 蔗糖11%,其他37.6%。

(二)食用香精的功能

1、辅助作用

如高级酒类、天然果汁等一些食品,由于香气不足,需要选用与其香气相适应的香精来辅助香气。

2、稳定作用

天然产品的香气,往往因受地理、季节、气候、土壤、栽培、采收和加工的影响而不稳定。加香后可对天然产品的香气起到一定的稳定作用。

3、补充作用

某些产品如果酱、果脯、水果蔬菜罐头等,在加工过程中可损失其原有的大部分香气,需要选用与其香气特征相对应的香精进行加香,使香气得到补充。

4、赋香作用

某些食品本身没有什么香味,如硬糖、汽水、饼干等,通常选用具有明显香型的香精,使成品具有一定类型的香味和香气

5、矫味作用

某些食品具有令人难以接受的气味,通过选用合适的香精矫正其气味,使人乐于接受。

6、替代作用

又称仿制作用。直接用天然品有困难时(原料供应不足,价格成本过高,或加工工艺困难等),用相应的香精来代替或部分代替

(三)香精和香料的使用原则

使用该类食品添加剂时,注意使用的温度、时间和香精香料的化学稳定性,须按符合工艺要求的方法使用,否则可能造成效果不准或甚至产生相反的效果。

1、预备试验

由于香精香料的配方、食品的制作条件千差万别,很有可能香精香料加入后,未达到预期目的。

可能原因:受其它原料的影响;受其它添加剂的影响;受食品加工过程的影响;受区域性人群的感觉影响;故要确定香精香料的最佳使用条件后,才能成批生产食品。

2、计量

由于香精香料作用十分灵敏,加少影响效果,加多会适得其反。故香精香料的使用量要控制得当。

香精虽为液体,但为了控制用量,计量时一般要采用重量法,这样可排除比重和温度不同所引起的误差

3、添加时条件控制

时间:

香精香料易挥发,对生产工艺中需加热或脱臭、脱水处理的食品,应尽可能在后期加入,搅拌均匀,使其均匀分散。

温度:

香精香料虽不宜在高温条件下使用,但也不是使用温度越低越好。低温香精溶解性下降,不易赋香均匀,甚至发生香精分层而析出结晶等现象。如生产果汁粉时,水溶性香精可在调粉时添加。

挥发:

食品生产中尽量减少香精香料在环境中的暴露时间。因为香精香料在开放系统中损失比在封闭系统中大,香精香料在食品加工后期添加也可达到减少香精香料在敞开体系中暴露时间的目的。

稳定性:

增香剂中各种香料、稀释剂等,除容易挥发外,一般易受碱性条件、抗氧化剂、金属离子等影响。因此要防止这类物质与增香剂的直接接触。因为这类物质会引起香料的氧化还原、聚合、水解而变质。如果这类物质必须添加在食品中,一定要分别添加。

4、香味剂在食品中的应用

(1)焙烤食品和点心

多用挥发性低的香味剂。常以三种方法使用:

加入面团中。需考虑损失,一般多加入20%或使用微胶囊香精。

喷涂:如在饼干上喷洒。

夹心或包衣:在焙烤食品中常用的有奶油、肉桂、香兰素、肉味香精。

(2)糖果

糖果的香味基本上由香味剂决定。

对于高沸点糖果如硬糖,加香时糖果还是热的,为减少损失,在香料中要使用挥发性低的、与香精亲和力强的溶剂。

糖果中常用花、果味香精,为了保持稳定性和增香,还需添加酸味剂,如柠檬酸、酒石酸、苹果酸。

(3)饮料和冰淇淋

不透明的产品使用乳化香精,其他一般使用水溶性香精。

冰淇淋等冷食,低温会影响香味的感受性,所以香料的用量比饮料要大一些,常用香味剂有:奶、水果、香兰素等。

(4)粮油产品

油品的调香常用香味剂是香料,如胡椒、丁香、茴香、八角、桂皮、肉豆蔻等,主要用于调味油、复配油中。这些香料还具有防腐、防油脂氧化酸败的效果和一定的生理作用,并能掩蔽天然油的异味。

增香剂:

能显著增加食品、饮料、酒类等原有风味,尤其是能增加香味和甜味的添加剂。

主要使用的品种是麦芽酚及其同系物和吡嗪、核苷酸等。

增香机理是在于它能够改变人的生理感觉功能。

增香剂还是一种香味之间的乳化剂,它能使各种香味更加和谐宜人。

麦芽酚:

有突出的焦糖味香气,适于水果味、焦糖味为基础的食品。

麦芽酚对咸味无作用,对酸/甜、香/甜有增效作用,对苦味、涩味有消杀作用。

应用(mg/kg):汽水2~10,果汁粉5~30,甜酒10~50,曲酒10~20,糖果50,面包100,巧克力10~15,饮料15~25,果、菜汁10~50,冰淇淋5~10,果酱10~30,茄酱10,曲奇饼25~100,饼干25~150,肉汤100~300,酱油15~20。

02

食品增稠剂

一、食品胶的定义

通常是指溶解于水中,并在一定条件下能充分水化形成黏稠、滑腻或胶冻液的大分子物质,在加工食品中可以起到提供增稠、增黏、黏附力、凝胶形成能力、硬度、脆性、紧密度、稳定乳化、悬浊体等作用,使食品获得所需要的各种形状和硬、软、脆、黏、稠等各种口感,所以也常称作食品增稠剂、增黏剂、胶凝剂、稳定剂、悬浮剂、食用胶、胶质等。

食品胶的分类

1、天然

植物多糖物质:果胶、阿拉伯胶、瓜尔胶、槐豆胶等;

海藻多糖物质:琼脂、海藻酸类、卡拉胶等;

微生物多糖类:黄原胶、茁霉多糖;

动物:

多糖:甲壳;蛋白:明胶。

2、合成

羧甲基纤维素钠、丙二醇、变性淀粉等。

二、食品胶的功能特性

增稠性;胶凝性;膳食纤维功能;乳化、稳定性、作为被膜剂和胶囊;悬浮分散性;保水持水性;控制结晶。

(一)性质

1、凝胶

当体系中溶有特定分子结构的增稠剂,浓度达到一定值,体系也满足一定要求时,通过以下作用,体系形成三维空间的网络结构:

增稠剂大分子链间相互交联与螯合

增稠剂大分子与溶剂分子(水)的强亲合性

琼脂:1%浓度就可形成凝胶

海藻酸盐:热不可逆凝胶(受热后不会稀释)——人造果冻的原料

2、相互作用

减效:阿拉伯胶可减低黄蓍胶的粘度

增效:混合液体经过一定时间后,体系的粘度大于各自增稠剂单独使用粘度之和

在增稠剂实际应用中,往往单独使用一种增稠剂得不到理想效果,常需复配使用,发挥协同作用。

如:CMC和明胶,卡拉胶、瓜尔胶和CMC,琼脂和刺槐豆胶,黄原胶和刺槐豆胶等

(二)功效与应用

1、赋予食品所要求的流变特性,改变食品的质构和外观,使液体或浆状食品形成特点形态,具有粘滑适口的感觉。如:冰淇淋等冰点心的质量,很大程度上取决于冰晶形成的状态。加入增稠剂可防止冰晶过大(以免感到组织粗糙有渣),使冰晶细微化,口感光滑,结构细腻均匀。

2、使制品均匀稳定,富有特色。如:配制酸奶时须加有机酸,但会引起乳蛋白凝聚与沉淀而分层。添加增稠剂有助于分层的解决

3、提高起泡性和稳定性。如:冰淇淋常使用槐豆胶、海藻酸钠等做发泡剂

4、成膜:在食品表面形成光滑的薄膜,作用如下。

防止吸湿:冷冻食品、固体粉末食品;

防止失水:果蔬保鲜,并有抛光效果。

这类增稠剂也称为被膜剂,是增稠剂的发展动向之一,如:醇溶蛋白、明胶、琼脂、海藻酸等。

5、保水

因增稠剂具有强亲水作用,在肉制品、面粉制品中能品质改良的作用。

面粉类食品:改善面团的吸水性,加速水分向蛋白质分子和淀粉颗粒渗透的速度,有利于面团的调制过程。

利用增稠剂的持水性和凝胶性,可增加产品的重量、粘弹性和淀粉的化程度,不易老化失水。

(三)我国允许使用的食用胶举例

1、瓜尔胶(guar gum)

瓜尔胶也称瓜尔豆胶、胍胶,是目前国际上较为廉价而又广泛应用的食用胶体之一。瓜尔豆胶是从瓜尔树种子中分离出来的一种可食用的多糖类化合物。

(1)瓜尔胶的结构组成

瓜尔胶是线状半乳甘露聚糖,属于非离子型高分子。

在结构上,以β-1,4键相互连接的D-甘露糖单元为主链,不均匀地在主链的一些D-甘露糖单元的C6位上再连接了单个D-半乳糖(α-1,6键)为支链,其半乳糖与甘露糖之比为1:1.8,简化为1:2。实际上半乳糖在甘露糖主链上的分布是不均匀的,在其主链的有一些区段上并没有半乳糖,而在另一些部分则是高取代区。

(2)瓜尔胶的物化性质

1)溶解性。瓜尔胶能溶于冷/热水中并同时迅速开始水化,最终获得半透明状黏稠溶液。但不能溶于乙醇等有机溶剂。

2)黏度。瓜尔胶是黏度最高的天然胶体之一,其1%水溶液黏度在4~5Pa·s之间。

3)热稳定性。温度上升时,瓜尔胶溶液粘度下降。

4)酸稳定性。瓜尔胶溶液天然pH为中性,pH变化在4~10范围内对胶溶液的性状影响不明显。

5)流变性。瓜尔胶及其衍生物的溶液都呈非牛顿型的假塑性流动特性,即具有搅稀作用。

(3)瓜尔胶的应用

我国规定(GB 2760-2014):瓜尔胶可用于各类食品中,按生产需要适量使用。

稀奶油:最大使用量为1.0g/kg;

较大婴儿和幼儿配方食品:最大使用量为1.0g/L。

瓜尔豆胶在不同食品中的具体功能:

2、阿拉伯胶(Arabic gum)

阿拉伯树胶是来源于豆科的金合欢树属的树干渗出物。天然阿拉伯胶块多为大小不一的泪珠状,略透明的琥珀色,无味,精制胶粉则为白色。

最高质量的阿拉伯胶应该是半透明、琥珀色、无任何味道、椭球状胶。

(1)阿拉伯胶的结构组成

阿拉伯胶是一种含有钙、镁、钾等多种阳离子的弱酸性大分子多糖,具有以阿拉伯半乳聚糖为主的、多支链的复杂分子结构。

水解阿拉伯胶可获得D-半乳糖、L-阿拉伯糖、L-鼠李糖和D-半乳糖醛酸。

阿拉伯糖的结构上还连有2%左右的蛋白质

(2)阿拉伯胶的物化性质

1)溶解度:阿拉伯胶具有高度的水中溶解性,能很容易的溶于冷、热水中,但不溶于乙醇等有机溶剂。

2)黏度:阿拉伯胶是典型的“高浓低黏”型胶体。

3)流变性:溶液浓度在40%以下仍呈牛顿流体,当浓度高达40%以上时,开始表现出假塑性流体特性。

4)酸稳定性:pH值4~8范围内较稳定,当pH低于3时,黏度下降。

5)乳化稳定性:非常良好的亲水亲油性,是非常好的天然水包油型乳化稳定剂。

6)热稳定性:一般加热胶溶液不会引起胶的性质改变。

阿拉伯胶的应用实例:

3、果胶

(1)果胶的结构组成

果胶是由D-半乳糖醛酸残基经α(1→4)苷键相连接聚合而成的酸性大分子多糖,并且半乳糖醛酸C6上的羧基有许多是甲酯化形式,为甲酯化的残留羧基则以游离酸形式以钾、钠、铵、钙盐形式存在;在C2或C3的羧基位置上常带有乙酰基和其他中性(多)糖支链,如L-鼠李糖、半乳糖、阿拉伯糖、木糖等。

[化学结构]

果胶主要由半乳糖醛酸与其甲基酯的聚合物组成。部分羧基被甲酯化。如果全部被甲酯化,则甲氧基含量约为16.3%。

高酯果胶:甲氧基含量≥7%

低酯果胶:甲氧基含量<7%

[性能]

溶于20倍的水中成粘稠状液体,对酸性溶液较碱性溶液稳定,不溶于乙醇,能用乙醇、甘油、蔗糖浆润湿,与3倍以上的砂糖混合后更易溶于水

[制法]

将苹果、柑橘、柚子等果皮洗净,加1.8倍热水,再加0.14%的盐酸于90~95℃下萃取30min,压榨过滤,真空浓缩至果胶含量达9~12%后,用乙醇沉淀。再经洗涤、脱水、干燥、粉碎、过筛而制得产品

将柠檬、柑桔和酸橙等柑桔类水果皮破碎,加果皮量4倍的0.15%的柠檬酸溶液,于加热条件下浸渍、萃取制得果胶。

一般由植物果皮提取的果胶中甲氧基含量在7~14%之间

要提高产品中的甲氧基含量,可将果胶与甲醇进行甲酯化

要获得低酯果胶,采用脱酯工艺,常用:酶法、碱法或酸法

(2)果胶的物化性质

1)溶解性。在水中可溶,在大多数有机溶剂中不溶

2)果胶溶液的流变特性。稀果胶溶液几乎是牛顿流体;浓度大于1%的果胶溶液呈现假塑现象。

3)稳定性

在pH值2.5~4.5时高酯果胶是稳定的,当pH大于4.5时,失稳现象就会发生;低酯果胶在高pH时更为稳定。

使用:

果酱、果冻的制作——胶凝剂

蛋黄酱、精油的稳定剂

高酯果胶与低酯果胶的区别:

高酯果胶:用作带酸味的果酱、果冻、果胶软糖、糖果、馅心和乳酸菌饮料等的稳定剂。

低酯果胶:无酸味或低酸味的果酱、果冻、凝胶软糖、冷冻甜食、色拉调味酱、冰淇淋、酸奶等的稳定剂。

注意事项:

果胶须完全溶解或分散后再添加,以免形成不均匀凝胶。为此需要高效率混合器,并缓慢添加果胶粉,以免果胶结块,否则极难溶解或分散

能用乙醇、甘油或蔗糖浆润湿,或与3倍以上的砂糖混合,可提高果胶的溶解速度

果胶在酸性溶液中比碱性溶液稳定。

4、明胶

(1)明胶的结构组成

明胶分子既没有固定的结构,又没有固定的相对分子质量。

明胶胶原蛋白质是以三螺旋结构的肽链为基本单位,相互间连接成的网状结构,不溶于水,通过水解使部分连接键断裂后即成为具有水溶性的明胶,三螺旋结构自身也可拆散成单一的α链,或者α链加β链,或γ链结构。

(2)明胶的物化性质

1)溶解性:温水是明胶最普通的溶剂,常温下明胶可以溶于尿素、溴化钾或碘化钾的溶液中,也能溶于醋酸、水杨酸等有机酸中。

2)溶胀性能:明胶不溶于冷水但能吸水膨胀形成坚固而有弹性的胶冻,加热此胶冻则能变成溶液。

3)起泡性能:将明胶溶液在试管内按一定幅度上下摇动,试管里将有一部分胶形成泡沫,这就是明胶的起泡能力。

4)不耐酸碱性:明胶能与酸、碱、盐形成化合物。

5)流变特性:

搅拌会使溶液黏度降低

静止会使其溶液黏度增大

温度是影响黏度的重要因素

一般来说,温度越低,黏度增长越快

明胶溶液的黏度在等电点处最低

6)凝胶性能

a)冻点和熔点:

明胶溶液遇冷形成胶冻,规定浓度为10%的胶液开始凝结时的最高温度成为明胶的冻点。此胶冻熔化所需要的最低温度成为明胶的熔点。

b)熔点在等电点处为最高

加少量铬盐或铝盐可使其熔点提高;加入钾盐,可以使其熔点降低。

(3)明胶在食品工业中的应用

我国规定(GB 2760-2014):明胶可应用于各类食品中,按生产需要适量使用产品应用。

5、黄原胶(又名汉生胶)

(1)黄原胶的结构组成

黄原胶的二级结构是侧链绕主链骨架反向缠绕,通过氢键维系形成棒状双螺旋结构。

黄原胶的三级结构是棒状双螺旋结构间靠微弱的非极性共价键结合形成的螺旋复合体。

(2)黄原胶的物化性质

1)悬浮性和乳化性

即使在很低的浓度下,溶液黏度依然很高,这种高黏度特性使之成为一种极为有效的增稠剂和稳定剂。

黄原胶借助水相的稠化作用,可降低油相和水相的不相容性,能使油脂乳化在水中,因而它在许多食品饮料中用作乳化剂和稳定剂。

2)水溶性

黄原胶在水中能快速溶解,有很好的水溶性。特别是在冷水中也能溶解。

3)增稠性

黄原胶有良好的增稠性能,特别是在低质量浓度下具有很高的黏度。黄原胶溶液的黏度是相同质量浓度下明胶的100倍左右。

4)流变性

黄原胶溶液是一种典型的假塑性流体,溶液具有高度假塑性,即具有剪切变稀作用。

5)热稳定性

黄原胶的水溶液在10~80℃之间黏度几乎没有变化,即使低浓度的水溶液在广阔的温度范围内仍然显示出稳定的高黏度。

黄原胶溶液在一定温度范围内(-4~93℃)反复加热冷冻,其黏度几乎不受影响。

6)对酸、碱、盐的稳定性

a)对酸碱十分稳定

在pH5~10之间其黏度不受影响

在pH小于4和大于11时黏度只有轻微的变化。

b)能与许多盐溶液混溶,黏度不受影响。

它可在10%KCl、10%CaCl2、5%NaCO3溶液中长期存放(25℃,90天),黏度几乎保持不变。

7)对酶解反应的稳定性

黄原胶抗酶能力很强,食品生产中有许多酶类如蛋白酶、淀粉酶、纤维素酶和半纤维素酶等都不能使黄原胶降解。

(3)黄原胶在食品工业中的应用

我国规定(GB2760-2014)黄原胶可在各类食品中按生产需要适量使用。

作为增稠剂、稳定剂的应用限制:

稀奶油、果蔬汁(浆)、香辛料类:按生产需要适量使用;

生干面制品:最大使用量为4.0g/kg;

黄油和浓缩黄油、其他糖和糖浆:最大使用量为5.0g/kg;

特殊医学用途婴儿配方食品:最大使用量为9.0g/kg;

生湿面制品(如面条、饺子皮、馄饨皮、烧麦皮):最大使用量为10.0g/kg。

6、卡拉胶

卡拉胶有名鹿角藻胶,角叉胶,由某些红海藻提取制得,是由半乳聚糖所组成的多糖类物质。卡拉胶的水溶液有高黏性和胶凝特点,其凝胶具有热可逆性。

卡拉胶的应用:我国规定(GB2760-2014),卡拉胶可应用于各类食品中,按生产需要适量使用。作为乳化剂、增稠剂、稳定剂的应用限制:

婴幼儿配方食品:最大使用量为0.3g/L;

其他糖和糖浆:最大使用量为5.0g/kg;

生干面制品:最大使用量为8.0g/kg。

7、羧甲基纤维素钠

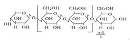
羧甲基纤维素钠简称CMC或SCMC,又名纤维素胶,是最主要的离子型纤维素胶,是一种阴离子线型高分子物质。通常用短棉线(纤维素含量高达98%)或木浆为原料,通过氢氧化钠处理后再与氯乙酸钠反应而成,按反应条件不同,可获得羧甲基团取代度很广的范围(即0.4~1.5,最高理论值为3.0)的CMC。

(1)羧甲基纤维素钠的分子结构:

纤维素的分子链结构式(为D-的葡萄糖的数目,即聚合度)

DS=1的CMC的理想单元的结构

(2)CMC在食品工业中的应用

GB2760-2014规定:羧甲基纤维素钠可在各类食品中按生产需要适量使用。

03

调味剂(甜味剂、酸味剂、增味剂)

一、甜味剂

(一)定义

是使食品呈现甜味的食品添加剂。

(二)分类

按来源:天然甜味剂、人工合成甜味剂

按营养价值:营养性、非营养性

按化学结构和性质:糖类、非糖类

按甜度:一般、强力

1、糖精钠 (Sodium Saccharin)

CNS: 19.001

概述:

甜度为蔗糖的200~500倍,一般为300倍。

浓度高时带有后苦味。

将水溶液长时间放置,甜味慢慢降低。

糖精钠具有价格便宜不参加代谢,不提供能量,性质稳定等优点。但糖精钠单独使用会带来令人讨厌的后苦味和金属味,可通过和甜蜜素等其他甜味剂混合来改善不良后味。

物理化学特性

名称:邻苯甲酰磺酰亚胺(俗称的“糖精”是其钠盐)

使用及限制:

冷冻饮品(03.04食用冰除外)、腌渍的蔬菜、复合调味料、配制酒:最大使用量为0.15g/kg;

果酱:最大使用量为0.2g/kg;

蜜饯凉果、新型豆制品(大豆蛋白及其膨化食品、大豆素肉等)、熟制豆类、脱壳熟制坚果与籽类:最大使用量为1.0g/kg;

带壳熟制坚果与籽类:最大使用量为1.2g/kg;

水果干类(仅限芒果干、无花果干)、凉果类、话化类、果糕类、:最大使用量为5.0g/kg;

注意:

由于高温、强酸条件下会分解而失去甜味,在焙烤、油炸或强酸食品中的应用受到限制。

因易发生水解,故应把握加入的时机。酸,在其后加入!

2、天门冬酰苯丙氨酸甲酯(又名阿斯巴甜)

CNS: 19.004

又名阿斯巴甜或甜味素、蛋白糖,人工合成品,我国于1986年批准在食品中应用。

[性状]

甜度为蔗糖的150~200倍;

甜感清爽、类似蔗糖;无人工甜味剂通常具有的苦涩味或金属后味。

可溶于水(1.0%,25℃),难溶于乙醇(0.26%),不溶于油脂。

对酸、热的稳定性较差

[应用]

醋/油或盐渍水果、腌渍的蔬菜:最大使用量0.3g/kg;

调制乳:最大使用量0.6g/kg;

风味发酵乳、稀奶油(淡奶油)及其类似品(01.05.01稀奶油除外)、非熟化干酪、干酪类似品、以乳为主要配料的即食风味食品或其预制产品(不包括冰淇淋和风味发酵乳) )、02.02类以外的脂肪乳化制品,包括混合的和(或)调味的脂肪乳化制品、脂肪类甜品、冷冻饮品(03.04食用冰除外)、水果罐头、果酱、果泥、除04.01.02.05外的果酱(如印度酸辣酱)、装饰性果蔬、水果甜品,包括果味液体甜品、发酵的水果制品、煮熟的或油炸的水果、冷冻蔬菜、干制蔬菜:最大使用量1.0g/kg;

调制乳粉和调制奶油粉、冷冻水果、水果干类、蜜饯凉果:最大使用量2.0g/kg;

[注意]

由于高温、强酸条件下会分解而失去甜味, 在焙烤、油炸或强酸食品中的应用受到限制。

阿斯巴甜在人体胃肠道酶作用下可分解为苯丙氨酸、天冬氨酸和甲醇,通用标签上应标明“阿斯巴甜(含苯丙氨酸)”。

3、环己基氨基磺酸钠

CNS: 19.002

又名:甜蜜素,人工合成品。

性状:

C6H12O3NSNa

甜度为蔗糖的50倍

易溶于水(20g/100m1),几乎不溶于乙醇等有机溶剂,对热、酸及碱皆稳定。

相对于蔗糖,甜蜜素的甜味来得较慢,但持续时间较久。

甜蜜素风味良好,无异味,还能掩盖如糖精钠等所带有的苦涩味。

4、糖醇

糖醇的热值及相对甜度(以蔗糖甜度为1)

(1)木糖醇

木糖醇是多元糖醇的一种。多元糖醇也是功能性甜味剂,其主要的生理功能类似低聚糖。此外还有保湿功能。木糖醇可存在于多种水果和蔬菜中,其甜度与蔗糖相等。已有含木糖醇的口香糖、奶糖、糕点、饮料和营养液上市。

(2)麦芽糖醇

由一分子葡萄糖和一分子山梨糖醇结合而成的二糖醇,甜度为蔗糖的0.8~.9倍,摄入后不产生热量,也不会合成脂肪和刺激胆固醇的形成。是口感优良、无热量的高档保健甜味剂。可应用于面包、乳制品、糕点等。

5、低聚果糖

低聚果糖的生理功能主要表现为:

(1)能活化人体肠道内双歧杆菌,促进双歧杆菌的增殖,提高人体免疫力。

(2)低能量或零能量,很难或不被人体消化吸收。

(3)减少有毒发酵产物及有害细菌酶的产

(4)属于水溶性膳食纤维,具有部分和优于膳食纤维的功能。

6、甜叶菊糖苷

从甜叶菊中提取,热值为蔗糖的1/300,甜度为蔗糖的400倍,在体内不参加新陈代谢是糖尿病、肥胖症、心血管疾病患者的保健食品,还可防龋齿。

7、罗汉果苷糖

是一种高甜度低热量甜味剂,其甜度为蔗糖的300~350倍,热量仅为蔗糖的1/5。该苷糖在水中溶解性好,热稳定性高,在100℃水溶液中很稳定,120℃高温下也不会破坏。它不被微生物发酵,因此有利于食品的加工与储存。可直接冲饮或作医药品、保健食品、食品的甜味剂,是糖尿病人、肥胖症、高血压、心脏病患者适用的甜味剂及保健品。

二、酸度调节剂

定义:酸度调节剂指可调节食品pH值,维持或调节食品酸味感的添加剂。

酸味,是食品的风味之一,且与其它味觉有协调作用,位于几大风味之首。

酸味剂除风味的调节作用外,它还有抗氧化,防腐,防褐变,软化纤维素,溶解钙,磷等促进消化吸收的功能。故,酸味剂是食品添加剂中比较重要、用量较大(比之乳化剂,不分仲伯)的种类。

(一)酸度调节剂的种类及味感特征

食品中天然存在的主要是有机酸。作为酸味剂使用的主要为有机酸,是人工合成天然等同物。无机酸使用较多的仅有磷酸。

[常用的酸度调节剂]

目前在食品中常用的酸度调节剂有以下几类:

磷酸、柠檬酸及其钠盐、钾盐、柠檬酸钾、葡萄糖酸钠、乳酸、乳酸钠、碳酸钾、碳酸钠、碳酸氢钾、碳酸氢钠、L(+)-酒石酸、dl-酒石酸、富马酸、富马酸一钠、己二酸、硫酸钙、偏酒石酸、氢氧化钙、氢氧化钾、盐酸、乙酸钠、冰醋酸、L-苹果酸、DL-苹果酸等

无机酸和有机酸的酸感阈值范围

在同一的pH下,有机酸比无机酸的酸感强。

但酸味感的时间长短并不与pH成正比。解离速率慢的有机酸酸味感维持时间久,而解离速率快的无机酸酸味会很快消失

[味感特征]

酸味剂与甜味剂之间有消杀作用,两者易互相抵消;

合适的酸味与甜度比例,具有协调果香作用。故食品加工中需要控制一定的糖酸比。

(二)酸度调节剂在食品中作用

(三)影响酸味的因素

影响酸味的因素,包括以下三方因素:酸味剂的强度与刺激阈、温度和其他味觉。

1、酸的强度与刺激阈

酸味的强弱不能单用pH值来表示。弱酸所具有的未解离的氢离子(与pH值无关)与酸味也有关系。

同一浓度比较不同酸的酸味强度,其顺序为:

盐酸>硝酸>硫酸>蚁酸>醋酸>苹果酸>乳酸。

酸味的阈值,是指味觉器官能尝出酸味的最低强度

── 浓度表达,柠檬酸刺激阈值:25~80ppm。

── pH值表达,无机酸酸味阈值pH值3.4~3.5,有机酸3.7~3.9。

而对缓冲溶液来说,即便是离子浓度更低也可感觉到酸味

2、温度

酸味与甜味、咸味及苦味相比,受温度的影响最小

酸以外的各种味觉在常温与0℃时的阈值相比,各种味觉变钝。例如:

盐酸奎宁的苦味约减少97%;

食盐的咸味减少80% ;

蔗糖的甜味减少75% ;

而柠檬酸的酸味则仅减少17%。

3、其他味觉

甜味与酸味易互相抵消。

酸味与苦味、咸味一般无消杀现象。

酸度调节剂与涩味物质或收敛性物质(如单宁)混合,会使酸味增强。

(四)酸度调节剂的使用注意

1、根据添加对象确定不同酸味特征酸味调节剂

酸度调节剂通过阴离子影响食品风味,一般有机酸具有爽快的酸味,而无机酸的酸味不很适口,如前所述的盐酸、磷酸具有苦涩味,会使食品风味变劣。

2、加入的顺序与时机

酸度调节剂大都电离成H+,它可以影响食品的加工条件,可与纤维素、淀粉等食品原料作用,和其他食品添加剂也相互影响,所以工艺中一定要有加入的程序和时间,否则会产生不良后果──见防腐剂、甜味剂相关内容。

3、固体酸度调节剂

要考虑它的吸湿性和溶解性,以便采用适当的包装和配方。

4、酸度调节剂有一定刺激性,能引起消化功能疾病。

三、增味剂

(一)定义

是补充或增强食品原有风味的物质,我国历来称为鲜味剂。

(二)种类

按化学结构分:

氨基酸类:L-谷氨酸钠(MSG、味精)、甘氨酸、L-丙氨酸、天冬氨酸

有机酸:琥珀酸二钠

核苷酸类:5’-肌苷酸二钠(IMP)、5’-鸟苷酸二钠(GMP)、5’-呈味核苷酸二钠。

1、谷氨酸及其钠盐

[概述]

CNS:12.003

谷氨酸学名为α-氨基戊二酸,麸酸。分子结构如下:

HOOC- CH2- CH2- CH(NH2)- COOH

分子中有二个羧基,一个氨基,具有酸味,中和成一钠盐后,酸味消失而鲜味增加。味精主要成分就是谷氨酸一钠,简称MSG:

HOOC- CH2- CH2- CH(NH2)- COONa

二钠盐呈碱味无鲜味。

[性状]

其水溶液有鲜味,与食盐共用时,鲜味增加。

MSG在水中溶解度较大。微溶于乙醇,不溶于乙醚和丙酮等有机溶剂。

熔点为195℃,但加热至120℃时开始逐渐失去结晶水,150℃时完全失去结晶水,210℃时生成焦谷氨酸,270℃左右时分解。

[稳定性]

不论是谷氨酸还是味精,无吸湿性,对光稳定。水溶液加热也比较稳定。

PH<5时加热,发生分子内脱水,生成焦谷氨酸,呈味力也下降,鲜味消失,对人体有致癌性作用。

在中性条件下加热则不易变化。5%水溶液的PH值为6.7~7.2。

谷氨酸钠具有强烈的肉类鲜味,特别是在微酸性溶液中味道更佳。其鲜味阈值为0.014%。

谷氨酸钠的呈味能力与其电离度有关:

PH=3.2(等电点)时,呈味能力最低;

6< PH< 7时,几乎全部电离,鲜味最高;

PH>7时,生成二钠盐而无鲜味。

[毒性]

LD50: 17g/kg大鼠经口;

ADI :无需规定,不宜用于出生12周以内的婴儿。

[注意]

谷氨酸虽然来自于粮食,是天然的鲜味剂,但吃多了或吃法不当也会对某些人产生不快感或身体不适。

这主要是由于谷氨酸的摄入量超过了肠道的转化能力,致使血液中谷氨酸含量升高所导致。

谷氨酸的两个羧基有很强的螯合作用,可能会限制必需的微量元素如Ca2+、Mg2+离子的利用。

谷氨酸钠还可以防腐,对豆制品、曲酒的香味也有增强作用,与咸、酸、苦有消杀作用,谷氨酸钠在一般的烹调、加工条件下相当稳定,对PH值低的食品可稍有变化,最好在加热后期或食用前加入。

对酱油、醋及腌渍等酸性强的食品要比普通食品多加20%,效果更好;加入食品中若超过最适浓度,则可口感下降,故有一定的自我限制性。

GB2760-2014规定:谷氨酸钠可在各类食品种按生产需要适量使用。

实际使用中用量如下( g/kg) :

2、核苷酸类增味剂

包括5′—肌苷酸二钠和5′—鸟苷酸二钠。

(1)5′—肌苷酸二钠(IMP) CNS:12.003

有特异的鲜鱼味。鲜味阈值为0.025g/100ml,鲜味强度低于5′-鸟苷酸二钠。易溶于水,微溶于乙醇,不溶于乙醚。

平均含7.5分子结晶水。40℃开始失去结晶水,120℃以上成无水物,5%水溶液的PH值为7.0~8.5。

对酸、碱、盐和热均稳定。

[毒理]

LD50 :大鼠口服1590mg/kg

ADI :无需规定。

[使用]

核苷酸对于甜味、肉味有增效作用,与咸、酸、苦、腥味、焦味有消杀作用

常与谷氨酸钠及鸟苷酸钠等混合使用,其呈味能力会增强。如本品以5%~12%的含量与谷氨酸钠混合使用,其呈味作用比单用谷氨酸钠高约8倍,有“强力味精”之称。

用2.5%IMP+2.5%GMP+95%MSG(4.7-7kg),可代替45kgMSG。

[注意事项]

在动植物组织中广泛存在的磷酸酯酶能将核苷酸分解,分解产物失去鲜味,所以不能将核苷酸直接加入生鲜的动植物原料中。

由于这些酶类对热不稳定,一般在80℃就被破坏,所以,使用核苷酸时先将生鲜食品原料、酱油等发酵产品预热至85℃,再加入。

尽量安排在整个食品加工的最后。

(2)鸟苷酸钠(GMP)

化学名称,鸟嘌呤核苷酸二钠

CNS:12.002

平均含有7分子结晶水。有特殊的香菇鲜味。鲜味阈值0.0125g/0.1L,鲜味强度为肌苷酸钠的2.3倍。与谷氨酸钠并用时有很强的协同增效作用。

易溶于水,微溶于乙醇,不溶于乙醚。

吸湿性强,在75%相对湿度下放置24小时,吸水量达30%。5%水溶液的PH值为7.0-8.5,其水溶液在PH值为2-14范围内稳定。

加热30-60分钟几乎无变化,加热至240℃时变为褐色,对酸、碱、盐及热稳定。油炸3分钟 ,其保存率为99.3%。

可被磷酸酯酶分解破坏,失去呈味力。

[毒性]

LD50 :大鼠口服 >10g/kg;

ADI :无需规定

[范围、用量]

酱油、食醋、肉、鱼制品,速溶汤粉、速煮面条及罐头食品等中的用量约为0.01-0.1g/kg。也可与赖氨酸盐酸盐等混合后添加于蒸煮米饭、速煮面条及快餐中,用量约为0.5g/kg。

本品还可与肌苷酸钠以1:1复配使用。

3、复合型(氨基酸类及核苷酸类的协同作用)

延长鲜味时间,抑制酸味和苦味,而单种鲜味剂无法实现。

可以达到/鲜味增强作用,用量减少。当与MSG合用时,肌苷酸钠的鲜味约为MSG的40倍,鸟苷酸钠的鲜味约为160倍。

IMP和GMP以1:1混合物叫I+G(呈味核苷酸二钠),是将动植物鲜味融合一体的一种较为完全的鲜味剂。

(三)鲜味特点

1、鲜味是由于食品所含的鲜味成分所致

酱油、竹笋——天冬酰氨;

贝类、酒——琥珀酸;

鸡、鱼肉——5’-肌苷酸;

香菇——5’-鸟苷酸

2、氨基酸类所呈的是复合味

3、各种鲜味剂鲜味强度

4、协同作用

(四)增味剂的发展趋势

开发萃取技术生产复合鲜味剂

生物发酵和合成相结合的鲜味剂

水解技术生产鲜味剂

复配型鲜味剂

营养强化和保健型鲜味剂

来源:食品研发与生产

提醒:文章内容用于学习和交流,仅供参考!如有不当,欢迎留言指正和交流。

如文章涉及侵权或不愿我平台发布,请联系处理。

服务热线

177-5061-9273

添加微信咨询

添加微信咨询