新闻动态
News
行业新闻

"乐天堂FUN88" 日用香精变色问题探讨

2022年01月03日作者:李嘉杰 许荣斌 江门和馨香精技术有限公司浏览量:0

1、前言

日用香精在生产和储存中,经常遇到变色问题,有些香精一生产出来,颜色就与标样相差甚远 fun88乐天堂,有些香精刚生产出来时颜色尚可,但存放一段时间后,颜色发生较大的变化,影响了产品质量,甚至添加到日化产品后,变色问题才显现,造成重大经济损失,提高产品质量,保持香精颜色稳定,正逐渐引起各香精公司的关注,本文针对此问题进行了分析和探讨。

2、香精变色问题不确定性

香精成分复杂,是由数种乃至数十种香原料,根据调香师的配方调制而成 乐天堂FUN88,香原料的质量,香精生产设备的材质,香精成品生产和存放环境以及调香师配方的配伍等等,都会影响香精的产品质量。

导致香精发生变色的因素存在着多样性和不确定性,因此我们对这个问题必须逐个分析,查找原因,制定有针对性的对策,实施有效的措施,才能防止或者延缓其变色 fun88乐天堂官网

3、分类说明情况以及防范措施

下面列举日用香精生产和储存中发生变色的几种情况 fun88乐天堂官网是什么,分析原因并探讨防范措施。

3 乐天堂fun88靠谱吗,1 香原料自身性质不稳定,易氧化变色.

在香精生产过程中 fun88乐天堂,需注意有些原料是容易变色的,特别是温度较高或者受到光照的情况,会加速其变化,主要是因为这些原料都含有容易氧化或性质活泼的官能团。

醛类:如桂醛,柠檬醛,香兰素,乙基香兰素等都含醛基,而醛基不稳定,存放时会与空气中的氧发生氧化反应导致变色 乐天堂FUN88.

烯萜类:如蒎烯 fun88乐天堂官网,月桂烯,柠檬烯等结构为{CH2=C(CH3)-CH=CH2}n,因为有双键,容易氧化导致颜色变深,也会因为聚合令产品变粘稠.

酚类:如丁香粉,异丁香酚,麝香草酚等容易在空气中氧化 fun88乐天堂官网是什么,产生颜色较深的醌,特别对热,光敏感.

简单的酚氧化如:

含氮化合物:如吲哚 乐天堂fun88靠谱吗,异丁基喹啉等,以及一些含氧,含硫化合物也容易被氧化而变色。

因此在存放这些原料以及由这些原料配制而成的香精产品时:

1)需注意储存环境的温度、湿度、光照情况的控制。可选择存放在室温阴凉、通风、干燥的地方,避免日光直

射,最好满桶存放,注意密封,有条件的可以设置温度20℃,湿度小于60%的库房用于放置这类原料和香精产品。

2)为避免光线的影响,可存放于避光的土木结构房间,或用遮光性能良好的包装材料。

3)在原料存放或者香精生产的时候,添加一定比例的抗氧化剂或者紫外吸收剂,但加入抗氧化剂的种类和数量,需按照产品的用途、工艺来确定,一般可采用BHT或维他命E等,也有复配添加的,如Stabilizer系列稳定剂,能有效抑制香兰素、乙基香兰素变色[2]。

4)对这些原料或者香精产品进行阻隔式保护,就是利用隔断物质与氧气的接触防止变色变质,通常是使用抽真空,或者对物料充加惰性保护气体,例如氮气。

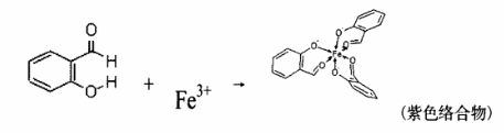
3.2 接触到金属离子引起变色

香原料中的酚类,如乙基麦芽酚、丁香酚等添加到含有铁离子的香精产品中会发生反应,生成红色或棕色的物质,导致整个香精成品颜色变红。

因为酚是容易生成染料的中间体,比较活泼,结构含有酚羟基,能与三氯化铁会出现显色反应,这可以当作是判断酚或者铁离子存在的方法,且此反应是相当灵敏的。

原理是由于酚与铁离子形成络合物。

水杨醛与三价铁离子络合的例子:

所以在生产此类含酚的香精产品时:

1)注意配伍原料的纯度,使用纯度较高的原料,或者加入一些有效减缓反应程度的配伍原料,如适当加入一些醇类可以有效减缓反应。需注意的是麝香草酚的变色问题到现时为止还没有很好的方法控制,只能在生产完后马上放置阴凉干燥避光的环境中存放[1]。

2)对生产过程以及包装容器的要求,一般采用304以上不锈钢生产工具和包装容器,使用铁制品包装容器的时候,必须保证喷涂的PVF涂层完整,防止金属铁暴露与香精直接接触。

3)在产品中添加金属离子络合剂,但必须注意络合剂的类型是否符合国家日用产品法规规定,以及添加后不影响产品的性能。

3.3 由光照引起的变色

光照造成原料变色是一个十分复杂的过程,有些是因为日光中的紫外线充当了催化剂,使原本不会反应的物质发生反应,有些是因为日光中的热量等因素造成。

我们在3.1已经对光照影响原料和香精产品作了一些介绍,实际生产和储存中,日光照射对香精的影响存在以下两种情况:

3.3.1 日光照射使其颜色由浅变深,例如:含有吲哚,邻氨基苯甲酸甲酯、丁香酚等原料的香精。

3.3.2 日光照射使产品颜色由深变浅,例如:柠檬、橘子、舔橙、西柚等香精由于使用较大量的冷榨甜橙油、橘子油等,往往新生产的产品颜色较深,但在光照的作用会出现颜色逐渐变淡的褪色情况,最后达到浅黄,甚至无色。

无论是香精颜色变深还是变浅,都是我们不愿意看到的,我们希望产品能够保持稳定,包括颜色也是如此,我们希望香精添加到最终产品后,颜色也能够保持在一定的范围内。

为达到上述目的,我们在生产和保存这类型的香精时:

1)光变原料注意防氧化以及避光保存。

2)必须注意和控制光变原料和产品的见光时间,尽量短。生产的时候将会受影响变色的物料按照一定的顺序留到最后工序才添加,添加完成后直接包装。

3)包装材料也应该选择遮光性能比较好的材质,存放的区域也应尽可能减少阳光直接照射。

4)在原料或香精产品中添加UV吸收剂。

3.4 原料之间的反应引起的变色

由于香精配制需要各种类型的香料进行调配,少则几种,多则数十种,这些香料中有些带有活泼官能团,他们之间会发生一些化学反应,例如一般香精里面存在的缩合、酯化、水解等。这些反应有时候是微小的,对产品的整体色、香、状态基本没影响;有时候却会形成一些对香精产品整体有影响的新物质。

有些调香师在定配方的时候故意添加两个或者几个反应结果比较突出的,以增加配方的变化感,这或许就是调香师的高明之处,但同时也会带来香精颜色的变化。

这些反应的产品有时对香精产品的颜色造成很大的影响,比如我们都熟悉的“希夫基”反应、“美拉德”反应。

“希夫基”反应在日化香精中经常出现,主要是醛与胺的缩合反应,生成具有甲亚胺基的产物。举一个比较常见的例子,在一款香精配方中使用了羟基香茅醛和邻氨基苯甲酸甲酯,其他原料的颜色都比较浅,产品在刚完成的时候颜色并不深,但放置几天后,颜色会逐渐变深,如果是温度较高的情况,变化会更快,这个就是典型的“希夫基”反应,因为羟基香茅醛和邻氨基苯甲酸甲酯两个基本无色的原料之间反应生成新的物质——“橙花素”(反应如下),其颜色是深黄色的,所以导致整个香精的颜色外观发生变化,如果最终的加香有颜色要求则需要加以考虑。

羟基香茅醛与邻氨基苯甲酸甲酯反应生成橙花素:

“美拉德”反应(又称为“非酶棕色化反应”)与“希夫基”反应往往是共同存在的。也是导致香精变色的主要原 因,而且变化更复杂,颜色变化幅度更宽,更难控制。

在上述类型的的香精中出现颜色变化是必然的,应对的措施是:

1)调香师定产品配方的时候就应该考虑到这些变化,预留产品变色的幅度,或者先加人一定量颜色较深的原料, 减少变化造成的波动。

2)可添加一些减缓反应的原料,如醇类,苯乙醇、松油醇等[1]。

3)注意储存环境的温度控制,降低温度可以让反应减缓。

3.5 使用天然精油引起颜色变化

天然精油由于原材料带人杂质较多,往往含有叶绿素、胶质、蜡质等物质,年份、产地不同,颜色也会有差异, 而且供应商生产工艺的不同、设备的差异等等,也会导致精油产品中带有或多或少的金属离子等杂质。这样就会造成 一些产品中加入精油后产品的颜色变深或生成不同原来产品色调的色素,影响香精的颜色稳定。

使用没有经过精制脱色处理的藿香油,引起变色情况是生产中常遇到的。藿香油本身颜色比较深,往往使用时要 考虑到颜色的波动问题,添加量会控制在可接受范围。但如果在此香精中,使用到乙基麦芽酚等酚类原料,很多时会出现最终成品颜色变成红色或者红棕色,与原本的颜色相去甚远。主要是精油中的杂质与酚发生了显色反应。

在生产这些产品时:

1)在精油添加前进行预处理,可以通过加入柠檬酸、草酸等有机酸,祛除精油中的叶绿素、胶质、蜡质等杂质,改善精油颜色;同时可以利用这些酸具有一定的还原性,将精油中的三价铁离子还原成二价铁离子,予以祛除。

2)在选取供应商的时候,考察其是否采用先进、科学的生产工艺以及使用高规格的设备。

3)对精油进行再精制脱色,更有效祛除里面的杂质,但缺点是成本变高,有时候精油的香气会受影响。

4、结束语

综上所述,在香精配制和储存过程中,影响香精颜色变化的因素是多样的,包括组成的原料、生产和储存的环境、生产的工艺、配方的设计等等。在保证产品特征香气稳定的情况下,能尽可能地控制产品颜色的稳定性,一直是日化香精生产企业控制产品质量的难点。以上探讨和防范措施,是我公司多年控制香精颜色稳定工作的经验,所论述的方法在实际工作上得到了应用,也取得了一定成效,相信对保持香精颜色稳定工作以及提高香精质量方面,具有一定的借鉴意义。

参考文献

(1)林翔云.调香术第二版.北京化学工业出版社。

(2)霍永丽等.Stailizer YL一有效解决含有香兰素、乙基香兰素类香精在产品中的变色问题。首届上海香料香精和化妆品洗涤用品专题学术论坛,2009年10月。

(3)刘树文。合成香料技术手册第二版。中国轻工业出版社。

(4)孙宝国,何坚.香精概论.化学工业出版社。

(5)刘梅森,何唯平.香精香料基本原理及发展趋势.《中国食品添加剂》,2003.NO.5.

作者简介:李嘉杰,助理工程师。从事香精香料检测工作、质量控制工作7年,对香精生产工艺、品质控制有较深入的认识。

关联香精

服务热线

177-5061-9273

添加微信咨询

添加微信咨询