<b dropzone="6c5WLKN"></b>
新闻动态
News
行业新闻

香精与香料(30)—薄荷脑 (fun88乐天堂官网是什么)

2022年02月17日中外香料香精第一资讯浏览量:0

薄荷醇又称薄荷脑,六氢百里香酚,六氢麝香草酚,5-甲基-2-异丙基环己醇,为薄荷和欧薄荷精油中的主要成分,以游离和酯的状态存在,由于薄荷醇分子中有三个不对称碳原子,所以有4种顺,反异构体,每种顺,反异构体又有3种旋光异构体,即L-体,D-体和DL-体 fun88乐天堂,因此应有12种异构体,自然界中主要以L-体的形态存在于薄荷类植物的精油中,4种顺,反异构体为:薄荷醇,异薄荷醇,新薄荷醇及新异薄荷醇,此4种异构体在物性方面略有差异。

此外,合成品与天然品的香气也不相同。相对分子质量156 乐天堂FUN88,27。它们均为无色针状晶体,或结晶性颗粒。L-体有较强的薄荷气味及清凉爽快味道,而D-体及DL-的薄荷气味就弱得多,但有甜味。天然的L-体的薄荷气味比合成品要强烈得多。。

薄荷油是由一种唇形科植物薄荷的茎叶经水气蒸馏或萃取而得,中国各地都有栽培,生长于河沟边或山野潮湿地,以江苏太仓,海门,南通和上海嘉定,崇明等地的质量为好 fun88乐天堂官网,薄荷本身就具有浓郁香气清凉味,是中国特产,产量占世界首位,薄荷油中除薄荷醇为主要成分外,尚有薄荷酮,薄荷醇的醋酸酯及其他萜烯化合物,薄荷油冷至0℃以下即析出结晶,用酒精重结晶,可得纯L-薄荷醇。

L-薄荷醇/L-Menthol,是全球用量最大的香料之一,由于其具备薄荷香气以及清凉作用,被应用在食品,医药等领域,其中食品级L-薄荷醇应用最为广泛,在2019年薄荷醇总销量中占比85%以上 fun88乐天堂官网是什么,具体细分领域来看,L-薄荷醇可被应用在口腔卫生,药品,化妆品,食品和饮料等领域,其中口腔卫生应用需求最高,在2019年需求占据全球总量的60%左右。

又名:左旋薄荷醇;L-薄荷醇,99%;L-孟醇/L-薄荷醇;5-甲基-2-异丙基环己醇;结晶薄荷脑;薄荷醇(标准品);薄荷脑(L-(-)-薄荷醇);薄荷冰;薄荷醇

CAS: 2216-51-5

分子式:C10H20O

分子量:156.27

香精与香料(30)—薄荷脑

基本情况

L-薄荷醇具较高商业价值,为世界销量最大的香料单体之一。薄荷醇俗名薄荷脑,是薄荷和薄荷精油中的主要成份,以游离和酯的状态存在。从分子结构上看,薄荷醇的主体是环己烷,有船式和椅式两种构象,其中 椅式构象比较稳定,相较于船式构象的内能,椅式构象的内能低 (28 fun88乐天堂,9-31,4 kJ/mol)。环己烷的三个取代基——甲基、羟基和异丙基都处于较稳定的横键时就是薄荷醇,又叫正薄荷醇。正薄荷醇的热力学稳定性使得其在合成薄荷醇以及后期异构的立体转位过程中薄荷醇的含量处于较优状态,薄荷醇可分为左旋薄荷醇(L-薄荷醇)和右旋薄荷醇(D薄荷醇)。从商业价值上看,左旋薄荷醇由于其含有薄荷香气和清凉效果,商业价值较高,广泛应用于口腔产品、烟草、化妆品、口香糖、甜食和药物涂擦剂中,其中在口腔护理产品中用量最大,占比超过 1/3;而右旋薄荷醇商业价值较低。。

化学性质

无色针状结晶,具有清凉的薄荷香气。相对密度d(15)15=0,890,熔点41~43℃,沸点216℃,111℃(2,67kPa),比旋光度αD(20)=-49,3°,折射率nD(20)=1 乐天堂FUN88,4609。溶于乙醇、丙酮、乙醚、氯仿和苯等有机溶剂,微溶于水。化学性质比较稳定,能与蒸汽一同挥发。大白鼠经口LD(50):3,3g/kg,ADI:0~0,2mg/kg(FAO/WHO,1994)。。

用途

薄荷脑是我国规定允许使用的食用香料,主要用于牙膏,糖果,饮料的加香,用量按正常生产需要,一般在口香糖中1100mg/kg fun88乐天堂官网,糖果中400mg/kg,烘烤食品中130mg/kg,冰淇淋中68mg/kg,软饮料中35mg/kg。

GB2760-2014规定天然薄荷脑为允许使用的食用香料。供配制薄荷型香料(可占10%~18%),亦可用于糖果(薄荷糖、胶姆糖)、饮料、冰淇淋等(用量0 fun88乐天堂官网是什么,054%~0,1%)。。

薄荷脑和消旋薄荷脑均可用作牙膏,香水,饮料和糖果等的赋香剂,在医药上用作刺激药 乐天堂fun88靠谱吗,作用于皮肤或粘膜,有清凉止痒作用,内服可作为驱风药,用于头痛及鼻,咽,喉炎症等,其酯用于香料和药物,在世界上,我国和巴西是主要的天然薄荷生产国,薄荷油的年产量均达到2000-3000t。

薄荷油的主要成分 fun88乐天堂,由于其特有的薄荷味和冷却效果,广泛应用于糖果,化妆品和牙膏中。

生产方法

中国生产主要方法是从薄荷油中用冷却和重结晶的方法单离出薄荷脑,每年出口数百吨。由百里香酚加氢还原的方法制得薄荷醇则为L-旋光体、D-旋光体和消旋体的混合物,质量没有单离产品好。薄荷脑主要用于牙膏、漱口水等日用香精中和薄荷糖、口香糖、烟酒等食用香精中。在医药上则用作醒脑、针灸、清毒剂等原料。

工业上从薄荷中提取薄荷油和薄荷脑采用水蒸汽蒸馏法和有机溶剂提取法,前者提取效率低,得油率为0.5-0.6%,后者存在有机溶剂残留的毒性。

采用超临界二氧化碳从薄荷中提取的薄荷脑(薄荷醇),则可消除上述两种方法所产生的弊端。其得率比水蒸汽蒸馏法约高5倍,比有机溶剂法约高3倍,产品保持纯天然特征,质量好,纯度高,无溶剂残留毒性,易达到出口要求,具有更好的竞争力,可以占领市场。

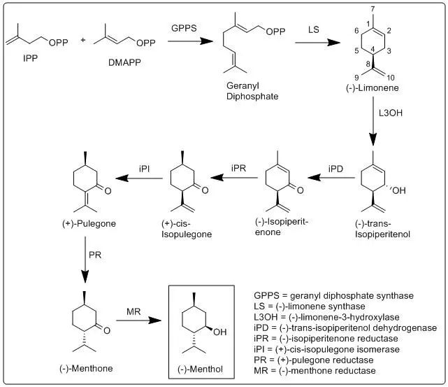
近年来,L-薄荷醇主要由Takasago工艺和Symrise工艺合成,Takasago工艺使用Noyori不对称催化剂合成L-薄荷醇(图1),Symrise工艺采用百里酚加氢合成消旋体薄荷醇,通过精馏分离出L,D-薄荷醇,再经拆分制得L-薄荷醇(图2)。德国Symrise公司为优化生产路线尤其是拆分路线,在2002年开发了脂肪酶拆分技术,通过从假丝酵母中提取的脂肪酶进行拆分,可得到大量左旋薄荷醇,但成本较高,不利于工业化。目前用于拆分薄荷醇异构体的方法主要有生物法非对映体选择性拆分、生物催化对映体拆分、脂肪酶催化拆分等。由于脂肪酶已实现商业化生产,价格便宜,无辅因子要求,因而利用脂肪酶拆分外消旋薄荷醇是制备L-薄荷醇的主要方法。L-薄荷醇的生物合成过程是在薄荷M. x piperita中进行的,所有生物合成过程和相关酶均已鉴定。从萜烯柠檬烯开始合成,经羟基化,然后数步反应和异构化(图3)。

香精与香料(30)—薄荷脑

图1 Takasago 工艺生产L-薄荷醇的流程图

香精与香料(30)—薄荷脑

图2 Symrise工艺生产薄荷醇的流程图

香精与香料(30)—薄荷脑

图3 生物合成L-薄荷醇路线图

薄荷脑天然存在于薄荷油中,含量高达80%,工业上可以从薄荷油中单离出薄荷脑。将薄荷原油冷冻至-20℃,分离出结晶粗薄荷脑;将母液进一步冷冻至-40℃,还可分离得到一部分粗薄荷脑。粗薄荷脑经加热熔化,减压脱去水分,并趁热过滤。冷却至0℃左右,静置7~9d,分离得结晶,42℃烘干24h,晾至室温即为成品。

L-薄荷醇工艺路线及现状

目前实现工业化的工艺主要有德国德之馨的间甲酚工艺、日本高砂的香茅油工艺、巴斯夫的柠檬醛工艺:

香精与香料(30)—薄荷脑

1) 德之馨采用间甲酚为原料;2) 巴斯夫以柠檬醛为原料;3) 高砂采用以月桂烯为原料

 

全球化学合成L-薄荷醇竞争格局

香精与香料(30)—薄荷脑

我国的薄荷醇产业模式主要是采用加工提纯的天然工艺,产能规模小,而需求量较大 。自于天然提取法,天然薄荷醇主要来自于天然薄荷脑中,但是由于气候、种植等不确定因素的影响,无法保证稳定的天然薄荷醇产量,且天然薄荷醇总产量也无法满足人们日常生活对薄荷醇的需求。

长期以来,我国的薄荷醇进口依赖程度较高,且国内L-薄荷醇产业模式主要是对天然薄荷脑的加工提纯。相比之下,人工合成L-薄荷醇产业规模大,附加值高但技术门槛也相对较高。

2021 年 5 月 8 日,由万华化学集团股份有限公司和上海交通大学联合完成的“高效绿色不对称催化制备L-薄荷醇技术”项目通过中国石油和化学工业联合会成果鉴定。

万华化学通过与上海交通大学产学研合作,攻克了以柠檬醛为核心原料的L-薄荷醇生产成套工艺技术,建成投产了1000 吨/年的工业化示范装置,开创中国人工合成薄荷醇产业化先河,成为世界上第四家掌握薄荷醇生产核心技术的企业。

我国L-薄荷醇市场需求依赖进口 未来行业存在较大发展空间

根据新思界产业研究中心发布的《2020年l-薄荷醇产业标杆企业研究》显示,L-薄荷醇作为一种应用广泛的香料单体,在全球消耗量较高,年需求量约为4万吨。L-薄荷醇可以通过天然提取和化学合成两种方式生产,从植物中提取是主要来源,其产量占据全球总产量的七成左右。当前全球天然薄荷醇近七成是来源于印度、巴西,但由于天然薄荷醇产量容易受季节、种植等因素影响,产量不能够满足工业需求。而化学合成产量稳定且价格便宜,将成为L-薄荷醇的重点发展方向。

在国际中,当前能够合成L-薄荷醇的生产企业主要有日本Takasago(高砂)、德国Symrise(德之馨),以及BASF,其中Symrise是目前全球L-薄荷醇最大的供应商,而BASF当前产能较低。当前国内尚未出现L-薄荷醇生产企业,国内L-薄荷醇市场需求依赖进口,年进口量约为1万吨。我国L-薄荷醇基本依赖进口,国内市场空白,行业拥有较大发展空间。目前海华科技在建3000吨薄荷醇产能,远期规划总产能1万吨。

从生产方面来看,当前L-薄荷醇主要生产方式有三种,德之馨主要采用间甲酚为原料进行加工,是全球最大的L-薄荷醇生产企业,年产能在1万吨左右。Takasago(高砂)公司采用月桂烯为原料,制备L-薄荷醇,该方法生产成本较高,且对环境会产生危害。除却以上方式以外,L-薄荷醇还可以以亚洲薄荷油为原料,通过分离制备L-薄荷醇。

薄荷醇下游需求构成

香精与香料(30)—薄荷脑

薄荷脑产生凉味的作用原理

1.当薄荷醇吸入,食用或施用于皮肤上时,它能够触发皮肤对冷敏感的TRPM8受体,使人感到清凉,这一点与辣椒素类似,不过感应辣椒素的是热受体。

2.薄荷醇的镇痛性质通过κ-类鸦片受体介导的选择性活化。可以阻断钠通道降低电压敏感性,从而降低了刺激肌肉的神经活动。有研究表明,薄荷醇不会增加异丁苯丙酸(布洛芬,镇痛药)的局部吸收,因为薄荷醇本身和止痛药就具有互补作用。

鉴别方法

1.取本品1g,加硫酸20ml使溶解,即显橙红色,24小时后析出无薄荷脑香气的无色油层(与麝香草酚的区别)。

2.取本品50mg,加冰醋酸1ml 使溶解,加硫酸6滴与硝酸1滴的冷混合液,仅显淡黄色(与麝香草酚的区别)。

药用价值

薄荷醇有重要药用价值,因此薄荷和薄荷油成为重要中草药。1600多年前中国就用薄荷治病。明代著名医书《本草纲目》对薄荷的性能和医疗作用有详细记载,说它“味辛、苦,性凉”。近代医学证明它有兴奋作用,使皮肤毛细管扩张,促进汗腺分泌,发汗解热,疏散风热,可用于治疗感冒风热。还有利喉作用,可用于治疗风热咽痛、咳嗽。有透发作用,能助麻疹透发。它还能作用于感觉神经末梢,能使感觉麻痹,所以外用有止痛止痒作用。还有较强的杀菌杀虫作用。因有以上各种药效,市售清凉油、风油精、仁丹等成药中,薄荷都是重要成分之一。清凉油是由薄荷油、薄荷水加丁香油、樟脑、白蜡、白凡士林配制而成,俗称万金油,外用可治感冒头痛、虫咬发痒。将鲜薄荷叶揉搓后贴在太阳穴上,可治血管扩张性头痛。能治鼻炎、抗脓毒、治皮肤病等,还广泛用作牙膏、口香糖、酒、饮料、化妆品中的香料。

安全性

薄荷醇收载于美国FEMA2665,美国FDA批准用于食品。

储存

闪点:93 ℃,可燃。化学性质比较稳定,能与蒸汽一同挥发具有刺激性。避免氧化物接触,保持容器密封,放入紧密的出藏器内,储存在阴凉,干燥的地方。

国际市场薄荷油和薄荷醇各国产量占比

薄荷醇和薄荷油是一种天然香味化合物植物精油,国际市场需求量极大。薄荷油系从唇形科植物薄荷叶里蒸馏提取所得,薄荷醇则是从薄荷油中分离得到的一种结晶化合物。

印度低价倾销

近几年,全球薄荷醇年消耗量高达4万吨,全球粗薄荷油年产量接近或超过10万吨。目前,国际市场上的L-薄荷醇产品中有70%为天然产品,即从粗薄荷油里分离所得,仅30%为化学合成薄荷醇产品。天然薄荷醇主要用于医药业、食品饮料业和卷烟加工业,合成薄荷醇主要用于化妆品和日化工业。

上世纪70年代以前,我国一直是全球最大的薄荷种植国和薄荷油、薄荷醇出口国,中国产薄荷油香气浓郁,深受海外用户好评。我国商务部统计资料显示,上世纪70年代我国年出口4000~5000吨纯薄荷油和3500~3800吨薄荷醇产品。在国际市场,中国薄荷油和薄荷醇并无真正意义上的竞争对手。

但自上世纪80年代开始,印度农业部看好国际薄荷油和薄荷醇的市场前景,鼓励本国农民大量种植薄荷,作为提取薄荷油和薄荷醇的原料,用于出口赚取外汇,提高农民收入。在印度政府新经济政策激励下,很多印度农民开始试种薄荷。由于印度的气候和土壤非常适合薄荷生长,几年后印度薄荷油产量迅速赶上并超过中国,加上印度人力成本很低,印度国营企业以低价收购农民手里的薄荷油和薄荷醇等原料,再加工后,向国际市场大量倾销。

在廉价印度薄荷油和薄荷醇的挑战下,我国传统优质薄荷种植地区(主要集中在江苏南通和盐城东台、大丰等县市)的薄荷种植业和提取加工业开始萎缩,国内出口薄荷油、薄荷醇数量锐减。上世纪80年代末,我国薄荷油、薄荷醇出口量一度萎缩至2000吨左右,不足高峰时期的一半。

新竞争者加入

上世纪90年代后,印度面临与中国相同的局面,遭到了来自南美洲巴西薄荷油的挑战。巴西地广人稀,土壤和气候很适合种植薄荷类农作物,其薄荷油产量直线上升,对印度产品构成主要威胁。目前,印度和巴西已成为国际薄荷油、薄荷醇市场两大竞争对手。

西方市场分析师指出,目前国际薄荷油和薄荷醇市场,印度产量占34%,巴西32%,两者势均力敌,中国21%,其他国家和地区产量仅13%。但中国产薄荷油香味纯正,西方国家客户更喜欢使用中国产薄荷油和薄荷醇,中国产品的卖价也比印度和巴西同类产品高得多。

香精与香料(30)—薄荷脑

近年来,印尼的加里曼丹岛和苏门达腊岛开始试种薄荷并获成功,但印尼地处热带,所产薄荷油质量不如中国产品好。近悉,巴西今年风调雨顺,预期薄荷油、薄荷醇产量将创纪录。而世界最大的薄荷种植国印度的很多地区今年春天遭遇严重的蝗虫灾害,薄荷叶产量下降,预计今年印度的薄荷油和薄荷醇出口量会减少。印度和巴西两国薄荷产量一增一减,或有利于中国的薄荷油、薄荷醇出口。

中国提高合成能力

过去几十年里,中国出口薄荷油因为浓郁香气享誉国际,中国的薄荷油、薄荷醇产量和出口数量虽不如印度和巴西高,但一直是西方主要客户眼里的优质产品。中国医药保健品进出口商会的统计数字显示,2014年以来,我国薄荷醇出口一直保持增长态势,2014年出口6280吨,2017年7420吨,2019年接近8000吨。据业内人士分析,中国薄荷醇虽然在国际市场卖价高于廉价的印度或巴西同类产品,但仍供不应求,原因是中国薄荷生长在暖温带,昼夜温差大,容易积累有机物(香味物质),而印度和巴西均属于热带气候,虽然薄荷植株单产高,但有机物质(尤其香味物质)不如中国薄荷含量高。

由于人口众多,我国虽然是世界主要的优质薄荷油、薄荷醇出口国,但也是全球最大的薄荷油、薄荷醇消费国。国内的L-薄荷醇因无法自给,每年都从海外进口1.2万吨左右的化学合成L-薄荷醇产品。

据悉,国际薄荷醇市场70%为天然产品(即从薄荷油里提取),其余30%系人工合成产品。目前,国际合成薄荷醇市场主要被三大巨头垄断,即日本高砂香料公司、德国巴斯夫公司和德国德之馨公司。后两者的合成薄荷醇产量约占国际合成薄荷醇总销量的86%,日本产合成薄荷醇仅占14%。

由于看好薄荷醇的市场前景,我国已有多家医药化工企业开始筹建合成薄荷醇新生产线,以满足国内市场需求。其中,海华科技公司投入数千万元建设一条年产3000吨L-薄荷醇的新生产线,远期规划将扩产至年产1万吨合成薄荷醇。浙江新和成药业公司和万华化工公司也在筹建合成薄荷醇生产线,这2家企业的薄荷醇预期年产量均为2000~3000吨。其中,海华科技的合成薄荷醇生产线已在建设,后两家公司的薄荷醇生产线尚在规划阶段。

综上所述,我国生产的天然薄荷油和薄荷醇因质量优异在国外市场享有盛誉,出口前景看好,而我国合成薄荷醇尚处在起步阶段,无法与西方合成薄荷醇巨头竞争。今后几年,随着国内合成薄荷醇新生产线竣工投产,我国有望重夺全球最大薄荷醇生产国和出口国的地位。

服务热线

177-5061-9273

添加微信咨询

添加微信咨询