新闻动态
News
行业新闻

香精与香料(46)-中国橘醛Sinensal与中国柑橘

2022年03月04日中外香料香精第一资讯浏览量:0

中国橘醛(Sinensal)属于倍半萜烯醛,有α,β两种异构物,多半同时出现在压榨的甜橙果皮精油中,微量成分约0 fun88乐天堂,03%,具有新鲜橙子的香气,能使人闻到就开心。这成分让橘或橙类精油,与其他的柑橘属(如柚子、柠檬)相比,有着十分不同的特色。。

α-sinensal又称α-sinensal,属于有机化合物倍半萜类 乐天堂FUN88,这些是有三个连续异戊二烯单元的萜烯,α- sinensal是一种极弱的碱性(本质上是中性的)化合物(基于它的pKa)。

香精与香料(46)-中国橘醛Sinensal与中国柑橘

有α、β两种异构物,多半同時出现在压榨的甜橙果皮精油中,是只占约0 fun88乐天堂官网,03%的微量成分,却是整体气味的点睛之笔,让人愉悅。 代表精油:甜橙(Citrus sinensis)、红橘(Citrus reticulata)。

植物来源 Citrus sinensis

分子式 C15H22O

分子量 218,34

CAS 60066-88-8(α型) ; 8028-48-6(β型)

EINECS 262-043-3

FEMA 3141

TARIFF NUMBER 3301121000

香精与香料(46)-中国橘醛Sinensal与中国柑橘

外观 20°C Clear mobile liquid 澄清流动液体

颜色 Yellowish to brown 黄色到棕色

气味 Citric, sweet, fresh, waxy 甜橙 乐天堂fun88靠谱吗,甜香,新鲜,蜡质.

旋光性 (°) 0 / 0

密度 20°C (g/mL)) 0,925 - 0,935

折光指数 ND20 1,4800 - 1,5000

闪点 (°C) 70

溶解性 Insoluble in water 不溶于水

分析 (% GC) Sum of α+ β-sinensal > 20

芳香阈值很低的α-中国橘醛和β-中国橘醛是不同柑橘属植物精油中的微量化合物。

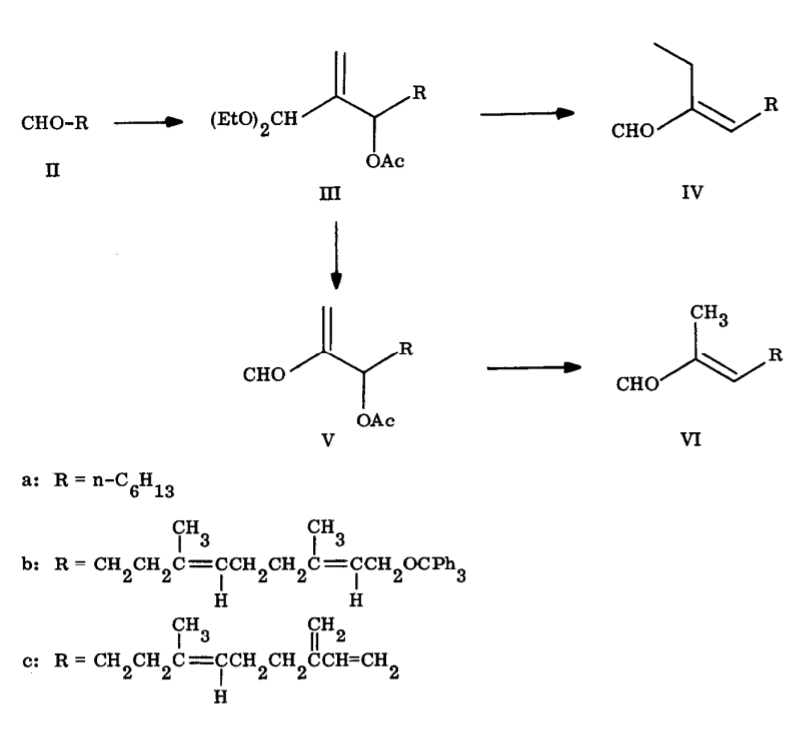
一般路线为α, β不饱和醛的同萜类和萜类结构:JH-II和β-SINENSAL的合成

根据前面通讯中所述的程序,s -取代丙烯衍生物很容易从1-溴-2-乙氧基环丙基锂(I)和亲电试剂中得到,从醛II开始,我们可以很容易地得到III型产物,这是一种特别有用的常见中间体 fun88乐天堂官网,用于合成α,β不饱和的同萜(IV)和萜类(VI)结构的醛部分。

香精与香料(46)-中国橘醛Sinensal与中国柑橘

用l, l-二溴-2-乙氧基环丙烷和丁基锂在-95°处生成1,2 mol的I处理庚醛,然后用得到的加合物(5 mol碳酸钾,乙醇(回流),1小时)和乙酰化(乙酸酐-吡啶,r,t,,过夜),经柱层析(硅胶)纯化得到IIIa, 产率80%。在-18°条件下,烯丙基乙酸IIIa与1 fun88乐天堂官网是什么,5 mol二甲基铜锂在乙醚中处理30 min, (E)2-乙基-2-壬烯醛(IVa) 的产率为61%。SN2’型选择性甲基引入是目前合成的关键。有了这个结果,我们很快就将反应应用到合成的青少年激素(JH-II)。将I的类碳化合物加入到醛IIb'中,随后如上所述对该加合物进行两步转化,得到IIIb',总产率为84%,进一步用4mol二甲基铜锂处理,然后在四氢呋喃(THF)中用5%的硫酸处理,得到醛IVb,产率83%。通过硼氢化钠还原完成IVb的脱氧,然后去除产生的烯丙基羟基(三氧化硫-吡啶,然后在回流的THF中氢化铝锂,过夜),得到VIl(产率78%)。羟基的再生和随后通往目标分子的路线已经确定。[1]。

香精与香料(46)-中国橘醛Sinensal与中国柑橘

在适当的条件下,从IIIa得到的醛Va (5%aq硫酸-THF 1:1,r,t,,1,3小时,定量产率)通过正式的SN2'型引入氢化物和消除乙酰氧基而转化为(E)α,β不饱和醛 VIa。当Va与0 乐天堂fun88靠谱吗,5摩尔氰硼氢化钠在甲醇-乙酸10:1中于0℃混合时,烯烃键优先发生饱和,得到醛VIa ,收率为61%。通过在湿的二甲基甲酰胺(DMF)中使用五羰基铁和1,4-二氮杂环醇2,2,2-辛烷(DABCO),还原的效率要高得多(产率96%)。应该注意的是,最初的1,1-二取代的乙烯连接被还原,产生一个新的、三取代的连接,在该条件下保持完整。该方法的适用性在合成β-sinensal(VIc)时得到了证明,β-sinensal是中国橙油(Citrus sinensus L,)气味和味道的重要成分。[1]。

三烯-醛IIc与1,7 mol的类碳化合物I在THF中反应,得到一个加合物,随后在5 mol的碳酸钾存在下,在乙醇中加热2小时,得到的醇被乙酰化,得到乙酸乙脂IIIc,产率83%。在以前的条件下(5%硫酸-THF)对醛基进行脱保护,由于对酸敏感的1,3-二烯基团,导致大部分产品的聚合。然而,采用最近报道的实验流程,我们可以实现水解(硅胶-10% aq草酸(10:1)悬浮在二氯甲烷中,r,t,,1小时),并获得醛Vc ,得率为87%。在湿的DMF中用五芳烃-DABCO铁选择性地去除乙酰氧基(r,t fun88乐天堂,,1小时),并以95%的产率得到了β-sinensal(VIc)。所有的光谱数据都与记录的数据一致。[1]。

中国橘醛的药理活性

1、甘南脐橙(Citrus sinensis Osbeck cv. Newhall)果皮精油的化学成分和抗菌活性 乐天堂FUN88.

本研究报告了冷榨甘南脐橙皮精油(EO)及其分子蒸馏馏分(轻相EO)的化学成分,并检验了它们对腐败和致病微生物的抗菌活性。气相色谱-质谱分析确定了冷榨精油和轻相精油中分别有27和20种不同的化学成分。柠檬烯是主要成分,占冷压精油的85,32%,占轻相精油的60,44%,其中α-sinensal占冷榨精油的0 fun88乐天堂官网,08%,β-sinensal占冷榨精油的0,13%,而在轻相精油中未检出。两种精油和它们的一些成分都显示出良好的抗菌活性。与冷榨精油相比,轻相精油在弱酸性和中性条件下显示出更好的抗菌活性。在60-100°C热处理20分钟后,轻相精油呈现出比冷榨精油更高的抗菌活性。这些结果表明,轻相精油有可能作为一种新型抗菌剂用于食品保存和食品加工。[1]。

冷榨精油和轻相精油在体外显示出广泛的抗菌活性(表1)。对于所研究的革兰氏阴性微生物(大肠杆菌),轻相精油(MIC=0.78μl/ml)显示出比冷榨精油(MIC=1.56μl/ml)更好的抗菌活性。另一方面,对于测试的革兰氏阳性细菌(枯草杆菌和金黄色葡萄球菌),其抑菌活性较弱(MIC = 1.56-3.13微升/毫升),这可能是由于它们各自细胞壁的结构不同所致。对于测试的真核微生物—酿酒酵母(S. cerevisiae),轻相精油(MIC=0.39μl/ml)显示出比冷榨精油(MIC=1.56μl/ml)更高的抗菌活性。在同样的处理条件下,轻相精油对测试的微生物显示出更大的抑菌性,低的MIC(0.039-0.313% v/v)适合于食品应用。这些结果表明,分子蒸馏技术可以提供具有更好的抗菌活性的精油馏分。[1]

选择了七个单独的成分来测试其抗菌活性(表1)。与柠檬烯和α-蒎烯(MIC=1.96-15.38微升/毫升)相比,柠檬醛、壬醛、癸醛、芳樟醇和萜品醇对S. cerevisiae、B. subtilis和S. aureus有较高的抑制活性(MIC=0.20-1.98微升/毫升)。然而,所有测试的个别成分对大肠杆菌显示出较低的敏感性,MIC范围为3.92至15.84微升/毫升。一般来说,测试的醛类和醇类比单萜类碳氢化合物具有更好的抗菌活性。这些结果与以前的研究一致,即一些含氧化合物比非含氧碳氢化合物具有更高的抗菌活性。Fisher等人证明,柑橘类精油中的芳樟醇和柠檬醛对空肠弯曲菌、大肠杆菌O157、单胞菌、蜡样芽孢杆菌和金黄色葡萄球菌具有抗菌作用。此外,一些研究人员表明,香芹酮和氧化柠檬烯对广泛的致病真菌和细菌有抑制活性。我们注意到,甘南脐橙轻相精油的香芹酮和氧化柠檬烯含量比冷榨精油高,这可能是由于蒸馏过程中的氧化作用。轻相精油的活性较高,可能是由于其含氧化合物的比例较高。同时,两种精油的抗菌活性也可能是由于其成分的协同作用、添加剂和拮抗作用。对精油中个别成分的调查可以提供有用的信息,以适应不同的产品或目的,同时提高其抗菌活性。[1]

表1 甘南脐橙精油的最低抑菌浓度(MIC)及其个体成分的研究

香精与香料(46)-中国橘醛Sinensal与中国柑橘

请注意。数据以均数±标准差表示,n = 3。不同上标字母表示p < 0.05时差异显著。

2、中国柑橘(Citrus sinensis)化学与药理研究

2.1 降低血胆固醇活性

文献资料显示,中国柑橘具有与胆固醇有关的有益特性,而胆固醇是一个严重的健康问题。对成年雄性Wistar大鼠(200-250克)饲喂冻干的中国柑橘C.sinensis果汁,剂量为5克/千克,水剂,体积为0.5毫升/100克体重,持续15天,降低了血浆中胆固醇(31%)、低密度脂蛋白(44%)和甘油三酯(33%)的水平。来自中国柑橘C. sinensis果实的微型不溶性纤维通过加强粪便中胆固醇(123%-126%)和胆汁酸(129%-133%)的排泄,降低了血清甘油三酯(15.6%-17.8%)和血清总胆固醇(15.7%-17.0%)的浓度。

2.2 抗肥胖活性

在过去的几年里,最近有几项研究评估了中国柑橘及其活性成分对体重管理和肥胖症的有益影响。Moro果汁提取物(Morosil®,400 mg/die,来源于中国柑橘)在治疗4周后能够诱发体重指数(BMI)的明显下降。此外,在接受Moro提取物治疗的受试者中,体重、BMI、腰围和臀围都与安慰剂组有明显区别。有研究表明,Moro汁中含有的活性化合物花青素、羟基肉桂酸、黄酮苷和抗坏血酸对人类的减脂有协同作用。研究了柑橘(中国柑橘属枳橙种C. sinensis Poncirus trifoliata)果实提取物对高脂肪(HF)饮食引起的肥胖小鼠的影响。

雌性C57BL/6小鼠在8周内被喂以饲料(对照组)、HF饮食、HF饮食中补充了1% w/w的柑橘皮提取物(CPE)或1% w/w的柑橘果肉和种子提取物(CFSE)。结果显示,CPE和CFSE都能调节肥胖小鼠的葡萄糖代谢紊乱。

在CPE和CFSE治疗组中,相对于HF组,体重、血糖、血清总胆固醇(TC)和低密度脂蛋白胆固醇(LDL-c)的水平都明显降低。为了探索CPE和CFSE对葡萄糖和脂质代谢的作用机制,对肝脏中相关基因的表达进行了检测。通过qPCR检测,肝脏组织中过氧化物酶体增殖物激活受体γ(PPARγ)及其靶基因的表达水平被CPE和CFSE下调了。此外,CPE和CFSE都降低了肝脏X受体(LXR)α和β的表达水平,两者都参与了脂质和葡萄糖的代谢。结果表明,CPE和CFSE可能通过抑制PPARγ和LXRs的基因表达来改善高频饮食诱导的肥胖小鼠的肥胖和代谢紊乱。枳橙(citrange,由枳与甜橙杂交而来)提取物的主要黄酮类化合物中,柚皮苷和枸橘苷(poncirin)都可能是这个过程中的生物活性化合物。两个品种的柑橘类水果(网纹柑和中国柑C. reticulate and C. sinensis)的黄酮、白果和果肉的水基甲醇提取物能有效地防止人类脂肪细胞的氧化应激,并且没有细胞毒性作用。多年来,许多药物被用于管理肥胖症。然而,大多数被批准和上市的抗肥胖药物现在已经由于严重的不良反应而被撤销,从这个意义上讲,上述结果显示,柑橘的有益作用和活性成分可以用于体重管理和肥胖症。

2.3 抗心脑血管疾病活性

柑橘品种是膳食类黄酮的丰富来源,可降低不良心血管事件的风险。健康志愿者在四周内饮用500毫升/天的橙汁(CSJ),可使舒张压和收缩压分别下降5.13%(p = 0.03)和´5.91%(p = 0.003)。然而,在四周内服用天然CSJ对舒张压或收缩压都没有明显影响。C. sinensis的水-乙醇和丙酮叶提取物对雄雌豚鼠(300-500克)的心房显示出肌力抑制作用,EC50值分别为300微克/毫升和140微克/毫升。药物控制纳洛酮(10 µM)、普萘洛尔(1.5 µM硫酸阿托品)、硫酸阿托品(1 µM普萘洛尔),都没有改变粗提物的效果。事实上,心血管药物适用于和/或用于治疗许多不同的影响心血管系统的紊乱、条件和疾病,但在某些情况下可能产生强化作用、毒性水平、副作用和/或不良反应。这些调查的结果表明,柑橘类水果可以用于治疗这种疾病,而且可能是安全的。

2.4 抗骨质疏松症活性

与骨质疏松症有关的问题,以骨质流失为特征,是影响老年人的一个主要健康问题。柑橘显示了对骨质疏松症的潜在保护作用。给卵巢切除的大鼠服用C. sinensis的叶子和果皮的乙醇提取物(5毫克/千克),可以增加胫骨小梁的骨矿物质含量和骨矿物质密度,并提高磷和钙的水平,减少骨质流失。在骨质疏松的雄性大鼠模型中,喂食橘子果肉对骨质的影响改善了骨结构的一些特征。因此,需要对骨质疏松症的管理采取替代方法和调查,在这方面,对C. sinensis的抗骨质疏松活性的一些评估表明,它对骨质疏松症的管理是有益、安全和有效的。

2.5 抗紫外线活性

过度的紫外线辐射产生基因突变,可能发展成皮肤癌。从红橙制备的标准化提取物(Bionap®,15和30微克/毫升)显示了对紫外线B(短波)的保护作用,紫外线B诱发了人类角质细胞的损害。这种活性可能发生在阻止细胞氧化应激相关事件,如炎症和细胞凋亡。Bionap公司生产的红橙复合剂®(C. sinensis品种Moro、Tarocco和Sanguinello),使用100毫克/天的剂量,连续15天,可以减少紫外线引起的人类健康志愿者的皮肤红斑。此外,当受试者接触红橙提取物时,皮肤老年斑色素沉着(黑色素含量)从27%下降到7%。所提出的调查表明,C. sinensis保护细胞免受紫外线辐射的基因毒性影响。因此,柑橘可以成为防晒产品的一个很好的候选原料。然而,在这个领域还需要更多的研究。

2.6 放松剂、镇静剂和抗焦虑剂活性

芳香疗法是指使用精油和提取物作为医疗目的的替代疗法。暴露在C. sinensis天然精油的环境气味中,对牙科病人有放松和镇静的作用。从C.sinensis(L.)Osbeck的花中获得的甲醇和二氯甲烷提取物显示了一个剂量依赖性的镇静作用,在探索缸模型小鼠的ED50(ip)值分别为47.04-12.03毫克/千克和129.15-21.25毫克/千克。橙皮甙(ED50 = 11.34-2.48毫克/千克)被确定在甲醇提取物作为这种植物的镇静活性原则。甜橙香气的抗焦虑活性被证明在40名男性志愿者,他们被分配到五个不同的组,吸入甜橙精油(测试香气:2.5,5,或10滴)。评估了心理参数(状态焦虑、主观紧张、镇静和镇定)和生理参数(心率和腓肠肌肌电图)。

结果为芳香疗法师用作镇静剂提供了科学支持。甜橙香气(C. sinensis油)在Wistar大鼠身上表现出类似抗焦虑的活性。动物在有机玻璃室中接触甜橙香气(100、200或400微升)5分钟,然后立即进行行为测试。所有剂量的C.sinensis油都显示出抗焦虑的作用。地西泮(2mg/kg)被用作阳性对照。C. sinensis几乎显示出与地西泮相同的效果。由于C.sinensis的提取物和化合物具有公认的治疗潜力,具有放松和镇静催眠的作用,因此柑橘是一种很好的天然替代品。[3]

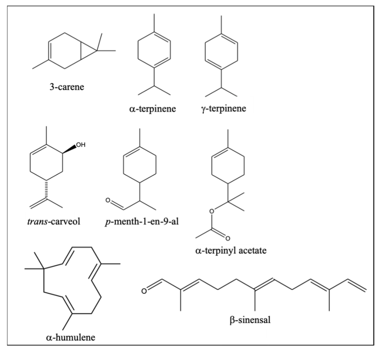
香精与香料(46)-中国橘醛Sinensal与中国柑橘

中国柑橘精油中鉴定出的单萜和倍半萜的代表性化合物

参考文献

[1] Tainejiro Hiyama; Akihiro Kanakura; Hajime Yamamoto; Hitosi Nozaki (1978). GENERAL ROUTE TO α, β-UNSATURATED ALDEHYDES OF HOMOTERPENOID AND TERPENOID STRUCTURE. SYNTHESIS OF JH-II AND β-SINENSAL. , 19(33), 3051–3054. doi:10.1016/s0040-4039(01)94936-6

[2] Guo, Qingyun; Liu, Ke; Deng, Weihui; Zhong, Balian; Yang, Wenxia; Chun, Jiong (2018). Chemical composition and antimicrobial activity of Gannan navel orange (Citrus sinensis Osbeck cv. Newhall) peel essential oils. Food Science & Nutrition, 6(6),1431–1437. doi:10.1002/fsn3.688

[3] Juan Manuel J. Favela-Hernández , Omar González-Santiago , Mónica A. Ramírez-Cabrera ,Patricia C. Esquivel-Ferriño and María del Rayo Camacho-Corona. Chemistry and Pharmacology of Citrus sinensis. Molecules 2016, 21, 247; doi:10.3390/molecules21020247.

服务热线

177-5061-9273

添加微信咨询

添加微信咨询