新闻动态
News
行业新闻

香精与香料(56)—臧红花醛与藏红花

2022年03月14日中外香料香精第一资讯浏览量:0
中文名藏红花醛
英文名safranal
别名1,1,3-三甲基-2,4-环己二烯-2-甲醛,红花醛,藏花醛
CAS116-26-7
EINECS204-133-7
化学式C10H14O,香精与香料(56)—臧红花醛与藏红花
分子量150.218
inchiInChI=1/C10H14O/c1-8-5-4-6-10(2,3)9(8)7-11/h4-5,7H,6H2,1-3H3
密度0.975g/cm3
沸点217.3°C at 760 mmHg
闪点80.4°C
蒸汽压0.134mmHg at 25°C
折射率1.529
天然存在圆柚、藏红花、绿茶
香气特征具有木香、辛香、药香、粉香
用途用于调配老姆酒、无花果、茶叶以及木香香型、药草香型的食用香精
参考用量在最终加香食品中的建议用量为5~10mg/kg
安全管理FEMA编号为3389,CoE编号为 10383,中国GB 2760-1996批准为允许使用的食品香料
参考价格¥10900/KG(奇华顿)

藏红花提取物性质、用途与生产工艺

藏红花提取物以鸢尾科植物番红花Crocus sativus L fun88乐天堂, 花柱的上部及柱头为原料提取的产品,主要成分有苦藏花素、胡萝卜素类化合物、红花醛、桉油精、蒎烯等物质,还含有少量的异鼠李素、山柰素及维生素B1 和维生素B2等。藏红花提取液是羟自由基与超氧自由基的强效清除剂,能够抗氧化反应,改善线粒体功能,抑制视神经细胞凋亡,还具有改善微循环,提高免疫力,抗动脉硬化,抗氧化,降血脂,利胆保肝,防治骨质疏松,保护肾脏等功效。。

来源植物 【基源】为鸢尾科植物番红花Crocus sativus L,花柱的上部及柱头。 乐天堂FUN88

【别名】番红花、西红花。

【分布】我国北京,上海,山东,浙江,四川,新疆等有少量试验性栽培,国外在西班牙,伊朗,意大利,德国,法国,希腊,奥地利 fun88乐天堂官网,原苏联和日本等均有栽培。

【植物形态】多年生草本。地下鳞茎呈球状,外披褐色膜质鳞叶。叶9~15片,自鳞茎生出,无柄,叶片窄长线形,长线形,长15~20厘米,宽2~3厘米,叶缘反卷,具细毛,基部由4~5片广阔鳞片包围。花顶生,直径2,5~3厘米; 花被6片,倒卵圆形,淡紫色,花筒长4~6厘米,细管状,雄蕊3枚,花药大,基部箭形,雌蕊3,心皮合生,子房下位,花柱细长,黄色,顶端三深裂,伸出花筒外部,下垂,深红色,柱头顶端略膨大,有一开口呈漏斗状。蒴果,长形,具三钝棱,长约3厘米,宽约1 fun88乐天堂官网是什么,5厘米,当果实成熟时始伸达地上。种子多数,圆球形,种皮革质。花期11月上旬至中旬。。

香精与香料(56)—臧红花醛与藏红花

图1 藏红花

化学成分

1.挥发油类

藏红花花冠雌蕊(柱头)中的挥发油成分是由玉米黄质等胡萝卜素类降解产生, 结构特殊, 其中主要为三甲基环乙烯衍生物中的藏红花醛, 占挥发油总量的72%,它是藏红花苦素的降解产物, 也是中药臧红花质量控制指标之一。有学者从藏红花挥发油中鉴定出46 种化合物, 占挥发油总量的90,99%。其中, 酮类化合物5 个占6,16%, 醛类化合物5 个占2,39%, 醇类化合物6 个占4,98 %, 酸类化合物6 个占19 乐天堂fun88靠谱吗,77 %, 烯烃类化合物8 个占36,42%, 烯烃氧化物2 个占5,74%, 烷烃类化合物8 个占12,5%, 酯类化合物2个占0,48 %, 其他化合物4 个占2,55%。在已鉴定出的藏红花挥发油组分中, 相对含量较高的主要是烯烃及烯烃氧化物,属于萜类化合物, 此外相对含量较高的还有酸类化合物。。

2.黄酮类

黄酮类化合物主要分布于藏红花的花被中, 常见的有紫云英苷, 槲皮素-3-对香豆酰葡萄糖苷, 山奈素-3-葡萄糖-6-乙酰葡萄糖苷和山奈素-3-葡萄糖-葡萄糖苷, 飞燕草素, 三甲基飞燕草素等。

3.挥发油前体

藏红花柱头的干燥和储存过程中通过不同的降解途径产生的部分挥发油前体, 属于三甲基环已烯衍生物的苷类化合物, 主要有藏红花苦素等 乐天堂FUN88,藏红花苦素是藏红花中的主要苦味成分, 它在酸或碱性条件下或酶的作用下可转化为藏红花醛, 这也是不同品种中藏红花醛含量不同的原因。

4.共轭多烯及其苷类

共轭多烯及其苷类是中药藏红花中的主要有色成分 fun88乐天堂官网,主要包括以下两类:。

(1)类胡萝卜素及其苷类

藏红花酸是类胡萝卜素及其苷类的主要组成部分,包括类胡萝卜素藏红花酸及其糖苷, 如龙胆双糖苷,葡糖苷,二龙胆酸糖苷,龙胆葡萄糖苷和双葡糖苷 fun88乐天堂官网是什么,B-藏红花酸, C-藏红花酸等。

(2)胡萝卜素类

主要有a , b-胡萝卜素, 如番茄红素和玉米黄质。

5.其他

主要包括酚类,几丁质酶 fun88乐天堂,三萜皂苷和甾体皂苷等。

臧红花醛的合成

1. 建立超临界二氧化碳萃取-高效液相色谱-气相色谱法无损测定藏红花中藏红花醛含量方法 乐天堂FUN88.

藏红花,藏红花的干燥和深红色柱头,是一种非常昂贵的香料,主要用作食用色素和调味剂,并作为药物(如抗肿瘤活性)。藏红花主要产自印度、伊朗、西班牙和希腊,西班牙是主要产地,产品按质量分为三个等级:Mancha, Rio和Sierra。藏红花的主要生物活性代谢物是藏红花素,一种红色的水溶性类胡萝卜素,都是藏红花素的糖苷。此外,藏红花还含有少量的藏红花苦甙和臧红花醛。藏红花苦甙是4-羟基-2,6,6-三甲基-1-羧基-1-环己烯(HTCC)苷元的无色糖苷,是藏红花产生苦味的主要物质。藏红花醛是挥发油的主要成分,是藏红花特有香气的来源,这种香气是藏红花干燥过程中从藏红花苦甙和HTCC中获得的,如图1所示。由于这种化合物不存在于新鲜的柱头,它在藏红花中的浓度强烈地取决于干燥和储存条件。

藏红花成分的提取和定量方法不统一。许多涉及溶剂的萃取工艺已被报道,从水或亲水性溶剂-水混合物(即甲醇-水)到高度疏水性溶剂(即石油醚)。就藏红花而言,溶剂的疏水性越大,可提取的挥发性化合物的浓度就越大。然而,纤维素基质的亲水特性阻碍了疏水溶剂对藏红花的提取,在所有情况下,提取过程包括样品破坏和加热。但是,不同溶剂的萃取性能产生不同的结果。例如,提高提取温度来加强提取过程,可以改变藏红花挥发性成分的原始含量。藏红花应该被认为是一种有生命的香料,其代谢物的数量组成是非恒定的。超临界二氧化碳萃取法(SFE)作为传统的液体溶剂萃取法分离固体基质中活性代谢物的一种有价值的替代方法,正日益受到人们的重视。超临界流体具有接近于液体的密度和溶解能力,但具有较高的溶质扩散率和较低的粘度,从而改善了传质性能,缩短了萃取时间。此外,密度和溶剂强度都可以通过简单地改变施加的压力和/或温度来改变。利用二氧化碳作为超临界流体具有无毒、不易燃、惰性、廉价和易于减压从萃取物中去除等优点,因为它具有低临界压力(Pc=7.28 MPa, Tc=31.18°C, ρc=0.472 mg/ml)。[1]

香精与香料(56)—臧红花醛与藏红花

图1 用化学方法将藏红花苦素转化为4-羟基-2,6,6-三甲基-1-环己烯-1-羧醛(HTCC)和臧红花醛[1]

2、密度泛函理论计算的反应预测:Diels-Alder反应合成藏红花醛的研究

近年来,现代量子化学方法显著提高了其准确性,计算设备允许高效计算分子的物理性质和化学反应的机理细节。随着可靠性的提高,量子化学不仅可以用来验证和解释实验结果,而且可以预测没有实验结果的新反应的潜在结果。如果这个预测是基于对已知和未知反应的计算数据的比较,只要这两个反应的化学性质足够相似,那么这个预测就特别有希望。

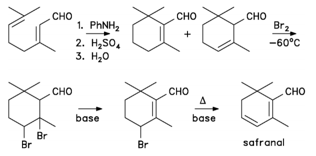
藏红花的主要香味成分,用于食品、烟草和香水中,也是合成有机和药理学相关化合物如视网膜素、香豆素、萜类或紫杉烷类化合物的有用起始材料。它的合成首先是由库恩和温特完成的,从那以后,许多合成方法被开发出来。其中大多数是冗长的或涉及有毒的试剂,如汞盐或有机硒化合物。最好的策略是先环化柠檬醛,然后溴化/脱氢溴化步骤(图2),尽管总收率相当低。[2]

在我们关于官能团反应较差的环加反应的项目框架中,我们认为Diels-Alder反应作为关键步骤,可以使臧红花醛的合成更加高效和经济,如图3所示。途径A表明,3-甲基-2-丁烯醛和4-甲氧基五戊-1,3-二烯之间发生Diels-Alder反应,提供了一个合适的前体,通过消除甲醇可以生成臧红花醛。试剂的选择有明显的优势:(a) 3-甲基-2-丁烯醛是市场上可以买到的。(b) 4-甲氧基戊-1,3-二烯的合成不超过两个步骤,从商业上可获得的材料开始,遵循已公布的方法。(c)类似的富电子二烯与缺电子亲二烯的Diels-Alder反应,例如1-甲氧基丁二烯与丙烯醛或(Z)-2-丁烯醛的Diels-Alder反应,在文献中也有描述,并且对于随后甲醇的消除有优先级。

然而,有一些问题可能使反应复杂化:(a) Diels-Alder反应中,1,3-二烯可以通过[1,5]- sigmatroic h迁移发生双键移位,从而产生副产物。(b)二烯可以作为两个立体异构体存在,甲氧基在Z或E位。此外,双键体系可以采用s-cis或s-trans构象,且只有前者适合Diels-Alder反应。(c) Diels-Alder反应可能受到甲基取代基的电子效应和空间效应的影响,导致反应的活化势垒较高,反应条件较差。(d)可以形成四种不同的产物,即两对区域化学不同的立体异构体,如图4所示。化合物11a和11b适合作为臧红花醛的前体,消除甲醇得到相同的产物。因此,Diels-Alder反应需要具有高度的区域选择性,而立体选择性则不那么重要。[2]

另外,提出了2,4-二甲基五-1,3-二烯-3-碳醛与甲氧基乙醛的反应(图3中的途径B),该反应不存在立体化学问题,区域化学控制是充分的。此外,二烯的双键移位不会改变其性质。另一方面,二烯的合成不那么简单,可能需要不合理的努力,而且起始原料的逆电子需求对Diels-Alder反应不太有利。而且,二烯的末端C=C键与羰基共轭。因此,跨越C=C - C=O基团的杂- diels - alder反应可以作为潜在的副反应发生。在文献中,α、β不饱和醛参与这类反应的先例是存在的。考虑到上述因素,我们决定使用DFT计算来预测反应性,并评估两个提议的反应对合成藏红花醛的适用性。研究结果可为合成策略和反应条件的选择提供指导。[2]

香精与香料(56)—臧红花醛与藏红花

图2 根据 Kōnst  and Cainelli 提出的臧红花醛的合成路线[2]

香精与香料(56)—臧红花醛与藏红花

图3 建议采用Diels-Alder反合成方法制备臧红花醛[2]

香精与香料(56)—臧红花醛与藏红花

图4 途径A的Diels-Alder反应的反应物和产物[2]

3、提出的藏红花酸(crocetin)和臧红花醛(safranal)的生物合成途径

香料藏红花的香气和红色部分是由于酶和热降解产生的类胡萝卜素裂解产物的风格特异性积累。M. Giaccio 回顾了藏红花重新燃起的兴趣,认为它是一种着色剂、香料和营养剂。藏红花酸(Crocetin)是从玉米黄质中提取的一种C20脱辅基类胡萝卜素(apocarotenoid)(图5)。[3]

从国内藏红花中分离到2个与玉米VP14同源的ccd。两种CsCCDs的颜色互补和免疫定位实验表明,一种酶是底物混杂的,定位于细胞质,而另一种酶是质体定位的,在7,8,7',8'-双键处特异性地切割玉米黄质。这种酶产生藏红花素二醛和羟基环柠檬醛。有趣的是,藏花质体玉米黄质7,8(7',8')-裂解双加氧酶(CsZCD)没有n端质体定位序列,这意味着一个内部质体定位信号。藏红花素二醛是一种可能产生藏红花素的氧化还原酶的底物。西红花素和羟基-β-柠檬醛都是糖基化的。[3]

藏红花苦甙是挥发性藏红花醛的前体。藏红花酸糖基化形成双糖基、二-龙胆二糖基、混合酯或单酯,如图5所示。Moraga等人从番红花中分离出一种风格特异性的udp -葡萄糖基转移酶(UDP-GTase),并显示其在互补系统中的功能,该酶对切割途径的产物具有特异性。当玉米黄质在质体中发生分裂时,分裂产物的糖苷储存在液泡中。UDP-GTase可能与膜转运蛋白有关,是代谢工程师需要考虑的色素积累的关键组成部分。[3]

香精与香料(56)—臧红花醛与藏红花

图5 藏红花酸(crocetin)和臧红花醛(safranal)的生物合成途径 [3]

4、从藏红花残留物到天然藏红花:通过β-葡萄糖苷酶对废物进行评估

藏红花(番红花)香料,传统上用作食品添加剂的着色和调味性能,显示出巨大的潜力,以促进健康。在藏红花香料的主要成分中,藏红花已被证明能缓解和预防胃紊乱、心血管疾病,并发挥抗惊厥、抗焦虑、抗抑郁和神经保护作用。利用嗜酸脂环杆菌(Aac)的嗜盐嗜热β-葡萄糖苷酶,从藏红花残基中提取藏红花苦甙,并对其进行高效的生物转化,得到相应的苷元4-羟基红花素,其转化率为>99%,反应时间为15 min。经热处理后,得到了优良的产率。为了使这一过程更加高效和可持续,一锅两步化学-酶转化被建立起来,产生一种有市场的天然臧红花醛作为最终产品。[4]

香精与香料(56)—臧红花醛与藏红花

香精与香料(56)—臧红花醛与藏红花

图6 从天然藏红花苦甙制备臧红花醛[4]

藏红花的药理作用

1.对子宫的作用

藏红提取物对小鼠、豚鼠、兔、犬及猫的离体子宫及在体子宫均有兴奋作用。已孕子宫更为敏感;藏红各种提取液的作用强度顺序为:煎剂>乙醇提取液>挥发成分>乙醚提取液。兴奋子宫的作用,可被乙磺酸麦角毒碱部分阻断,对阿托品不敏感,故认为对子宫的作用,一部分为对子宫肌细胞的直接作用,一部分则与肾上腺素能受体有关。

2.对循环系统的影响

藏红提取物可使麻醉狗、猫血压降低,并能维持较长时间,对呼吸有兴奋作用。降压时肾容积缩小,显示肾血管收缩,对蟾蜍血管亦呈收缩作用。在离体蟾蜍心脏上有较显著的抑制作用。经化学分析,抑制心脏的成分与钾盐有关,因此今后番红花之药理研究应首先除去钾盐。

3.抗肿瘤的作用

藏红花制剂具有明显的抑癌抗癌能力, 特别是藏红花萃取物(二甲基藏红花酸)对白血病、卵巢癌、结肠癌、横纹肌肉瘤、结肠癌、乳头肉瘤、扁平细胞瘤和软组织肉瘤等都具有较强的抑制作用。其抗癌机理可能是破坏DNA合成酶系, 即破坏了对细胞DNA 合成至关重要的DNA-蛋白质联系媒介如拓扑异构酶II , 从而抑制DNA和RNA的合成, 达到抑制肿瘤细胞生长的作用。此外, 藏红花素类物质还抑制细胞蛋白激酶的活性以及原癌基因的表达。

4.对肝胆的作用

藏红花提取物具有利胆作用, 有效成分为α-藏红花酸钠盐及藏红花酸酯。α-藏红花酸能降低胆固醇和增加脂肪代谢, 可配合山楂、草决明、泽泻等传统中药, 用于脂肪肝的治疗。

5.抗氧化作用

藏红花提取物特别是藏红花素能有效抑制氧自由基及黄嘌呤氧化酶的活性, 表现出抗氧化生物活性。

6.保护肾脏

通过研究大鼠C-BSA 肾炎模型,发现实验组大鼠蛋白尿现象减轻,肾病理损害程度减轻等现象。其中藏红花主要是通过抑制环氧化酶、减少前列腺素的合成,近而达到肾毛细血管通畅,血流量增加,促进炎症损伤修复的作用。提示,藏红花可以通过改善血小板及炎性介质的释放血小板干扰肾脏炎症的发生。

7.干预心律失常

藏红花提取物的有效成分藏红花酸有较好的对抗乌头碱、哇巴因和氯化钙等诱导的室性心律失常模型的作用,为藏红花用于治疗心律失常提供了实验依据,为进一步开发,研究藏红花作为抗心律失常、心肌缺血的中药制剂提供了可行性依据,提示藏红花可能称为一种新型的预防心脑血管性疾病的预防保健性中药。

8.调节免疫功能

藏红花提取物具有明显的活血化瘀、抗菌消炎等功效,继而增强机体耐力,升高免疫细胞含量,以此来提高人体的免疫力,起到调整机体气血运行,平衡人体阴阳的作用。

9.防治动脉粥样硬化

藏红花提取物在调血脂,降血压继而防治动脉粥样硬化方面具有很好的疗效。

10.视网膜保护作用

用新西兰白兔制作高眼压动物模型, 一定剂量的藏红花提取液从耳缘静脉注射, 每日1次, 并设立高压对照组。结果显示治疗组视网膜神经节细胞的数量明显多于高压对照组(P <0.05), 说明藏红花提取液通过改善视网膜血液循环, 阻断慢性高眼压条件下缺血低氧对视网膜神经节细胞(RGC)的损害, 对RGC 起保护作用。提示藏红花提取液可能通过降低视网膜内的自由基, 阻断自由基对RGC膜性结构、亚细胞器及细胞核的损伤, 对RGC起保护作用。

11.其他作用

藏红花乙醇提取物(CSE)可以防止乙醇引起的海马体长期增强效应(LPT)的抑制。在麻醉的小鼠锯齿形脑回中, CSE(250 mg·kg -1)也可以有效防止乙醛引起的LPT 抑制, 而不致影响小鼠的学习功能。藏红花的水提取液可以显著抑制顺铂(cisplatin)、环磷酰胺(cyclophosphamide)、丝裂霉素C(mitomy cin C)和氨基甲酸乙酯(urethan)等抗癌药所产生的生殖毒性, 而抑制作用的大小与剂量没有显著关系。这主要是因为藏红花提取物显著降低了生殖毒性对肝谷胱甘肽S 转移酶(GST)的影响。

参考文献

[1] P Lozano; D Delgado; D Gómez; M Rubio; J.L Iborra (2000). A non-destructive method to determine the safranal content of saffron (Crocus sativus L.) by supercritical carbon dioxide extraction combined with high-performance liquid chromatography and gas chromatography. , 43(1-3), 0–378. doi:10.1016/s0165-022x(00)00090-7.

[2] Gabriele Wagner, Nadia Vahdati, Ashley Howkins, and Louisa Cubitt. Reaction Prediction using Density Functional Theory Calculations:A Study into the Synthesis of Safranal via Diels-Alder Reactions. Z. Naturforsch. 2011, 66b, 1141 – 1150.

[3] Matthews, Paul & Wurtzel, Eleanore. (2022). 5.3 Biotechnology of Food Colorant Production.

[4] Giorgia Catinella, Gigliola Borgonovo, Sabrina Dallavalle, Martina L. Contente, Andrea Pinto,From saffron residues to natural safranal: Valorization of waste through a β-glucosidase,Food and Bioproducts Processing,Volume 131,2022,Pages 144-148,https://doi.org/10.1016/j.fbp.2021.11.002.

fun88乐天堂官网是什么 - 关联香精

服务热线

177-5061-9273

添加微信咨询

添加微信咨询