新闻动态
News
行业新闻

"fun88乐天堂" 香精与香料(59)—铃兰醛

2022年03月17日中外香料香精第一资讯浏览量:0

中文名称:铃兰醛

中文同义词:铃兰醛/丁苯基甲基丙醛;3-(4-叔丁苯基)异丁醛;3-(4-叔丁基苯基)2-甲基丙醛/铃兰醛/百合醛;对叔丁基甲位苯丙醛;对叔丁基甲位甲基二氢桂醛;3-(4-叔丁苯基)-2-甲基丙醛;3-(4-叔丁基苯基)-2-异丁醛;2-甲基-3-(4-叔丁基苯基)丙醛

英文名称:Lily aldehyde

英文同义词:Lilial Lilestralis; Lilial solution; 4-(1,1-Dimethylethyl)-methyl benzene propanal; synthetic conval laria aldehyde; 3-(4-tert-Butylphenyl) isobutyr aldehyde(beta-); BUTYLPHENYLMETHYL PROPIONAL; 4-tert-butyl-alpha-methyl hydrocinnamic aldehyde; alpha-Methyl, beta-(p-tert-butylphenyl)propion aldehyde

CAS号: 80-54-6

分子式: C14H20O

分子量: 204.31

香精与香料(59)—铃兰醛

铃兰醛的结构式

铃兰醛性质

熔点 106-109°C

沸点 150°C  1 atm

密度 0.946g/mLat20°C(lit.)

折射率 n20/D 1.505

闪点 100°C

储存条件 2-8°C

形态 neat,油状液体,不溶于水

BRN 880140

InChIKey SDQFDHOLCGWZPU-UHFFFAOYSA-N

CAS数据库 80-54-6(CASDataBaseReference)

NIST化学物质信息 Lilial(80-54-6)

EPA化学物质信息 Benzenepropanal,4-(1,1-dimethylethyl)-. alpha. -methyl-(80-54-6) fun88乐天堂官网.

铃兰醛 用途与合成方法

简介

铃兰醛(p‑tert fun88乐天堂官网是什么,‑butyl‑α‑methylhydrocinamicaldehyde,简称:lilial)是合成香料中产量最大的品种之一,常规条件下为无色透明液体,沸点126-127℃(0,80kPa),96-98℃(0,133kPa),相对密度0,942-0,947(204℃),折光率1,504-1,507。溶于乙醇、油,不溶于水。具有铃兰、百合紫丁香、兔耳草等花香香味,其香气纯正,柔和幽雅,深受调香师的欢迎。。

应用

铃兰醛广泛用于中 乐天堂fun88靠谱吗,高档化妆品用香精和皂用香精中,通常用于调配铃兰,素馨兰,东方香型,花香型香精,这类香料对新香型香精的调配有重要作用,目前常用的品种不少于2000种。

广泛用于化妆品 fun88乐天堂,香皂香精,本身有很好的花香,既可与其他花香共用,又有很好的香气适应性,与其他花香类,麝香类及木香类香气香料能很好地调合,可广泛用于百合,铃兰,紫丁香,橙花,玉兰,鸡蛋花,木香花,甜豆花型香精,也可用于素心兰,香薇东方型,木香型,麝香基和幻想型等香精。

该品具有甜润的百合香味,对皮肤的刺激性小,对碱稳定 乐天堂FUN88,广泛用于百合,丁香,玉兰,茶花以及素心兰,东方型香型日用香精,常用作肥皂,洗涤剂的香料,还可用作花香型化妆品的香料。

SCCS发布铃兰醛安全性新意见,未同意IFRA新安全浓度限值表 fun88乐天堂官网.

2019年5月10日,SCCS发布关于铃兰醛安全性的意见,表示同时使用不同类型化妆品的情况下 fun88乐天堂官网是什么,IFRA递交的p-铃兰醛安全浓度限值不安全。

2-(4-叔丁基苄基)丙醛(2-(4-tert-Butylbenzyl) propionaldehyde (BMHCA, Lysmeral)),即铃兰醛,CAS号80-54-6 乐天堂fun88靠谱吗,INCI名称丁苯基甲基丙醛(Butylphenyl methylpropional),是一种香精成分,常用于化妆品中。

目前,铃兰醛受欧盟化妆品法规(EC) No 1223/2009附录III第83条目监管——当含量超过10ppm(驻留类产品) / 100ppm(淋洗类产品)时,化妆品必须在其包装成分表中标注含有铃兰醛 fun88乐天堂

依据欧盟物质和混合物的分类,标签和包装法规(EC) No 1272/2008关于生殖毒性2类物质统一分类的提议,国际日用香料香精协会(IFRA)在2013年4月向欧盟委员会递交了一份关于铃兰醛安全性评估的文件 乐天堂FUN88,旨在证明其作为一种香精成分在驻留类和淋洗类化妆品中使用的安全性,同时,IFRA还提供了一份铃兰醛在特定种类化妆品中使用的安全浓度限值建议,[1]。

2015年,欧盟消费者安全科学委员会(SCCS)就IFRA所递交的文件和建议,发布了SCCS/1540/14号关于化妆品中铃兰醛安全性的意见。在该意见中,SCCS表示铃兰醛作为香精成分,无论是以IFRA 2013年设立的浓度限值(MoS = 3.6),还是IFRA 2015年更正后的限值(MoS= 53),在驻留类和淋洗类化妆品中使用时都是不安全的。此外,铃兰醛的诱变性还没有确切的结论。同时,SCCS还指出铃兰醛有诱发人类皮肤过敏的风险。[1]

2017年3月,IFRA向欧盟委员会递交关于p-铃兰醛的新安全文件,旨在解答SCCS在SCCS/1540/14号意见中的疑虑。这份文件维护对位异构体的使用,清晰地指出其有对位和间位铃兰醛,因为SCCS对铃兰醛的杂质提出反对,其间位铃兰醛就是一个关键的物质。同时,IFRA还提供了一份化妆品成品中p-铃兰醛最大使用浓度的新建议。[1]

2019年5月10日,SCCS采纳SCCS/1591/17号意见,就化妆品中p-铃兰醛的安全性进行说明。对于IFRA递交的各类化妆品p-铃兰醛安全浓度限值表,SCCS在意见中表示:若单独使用一种产品,200ppm的p-铃兰醛与α-生育酚(alpha-tocopherol),作为香精成分在不同驻留类和淋洗类化妆品中使用时,是安全的。但是,考虑到累积暴露的情况,则IFRA所建议的铃兰醛浓度不安全。上述观点不适用于任何可能导致消费者肺部吸入暴露的含p-铃兰醛的喷雾产品。

在此次意见中,SCCS还指出,铃兰醛也会作为香精成分用于非化妆品中,例如家具清洁剂和洗涤剂,因此消费者实际所受到的铃兰醛总暴露量可能比仅使用化妆品的情况要高。[1]

铃兰香水的诞生

经典香水“铃兰”(铃兰,1765年)是伦敦圣詹姆斯市著名香水品牌Floris Ltd.至今仍在销售的最古老香水之一。它最初是由胡安·法梅尼亚·弗洛里斯(Juan Famenias Floris)创办的一家理发店,他是梅诺卡(Menorca)的梳子制造商。1730年,他和妻子伊丽莎白(Elizabeth)来到伦敦,最初卖的是梳子、须后水、香皂和香水。胡安·法梅尼亚·弗洛里斯(Juan Famenias Floris)年轻时在地中海地区生活,他渴望重现他记忆中的芳香和感觉,于是他开始利用之前在蒙彼利埃收集到的知识,设计自己的香水。1765年的《铃兰》是他最早创作的作品之一。尽管它在几年后被撤出市场,但在1847年重新推出,并获得了巨大的成功,直到今天仍然很受欢迎(图1)。

香精与香料(59)—铃兰醛

图1 弗洛里斯有限公司在杰米恩街的商店。伦敦89号,一幅描绘胡安·法梅尼亚·弗洛里斯和一壶铃兰的画今天售出。这款香水的前味带有绿叶和柑橘的味道。接下来是茉莉花、玫瑰和铃兰的香味,最后是麝香的香味。当然,香水的配方随着时间的推移而改变,并适应了现代标准和原材料,特别是麝香和muguets(见下文)。(©Wikimedia Commons, Sergey Moskalev, Creative Common License;Aurora Taipale, Floris Ltd.,伦敦;Aurora Taipale, Floris有限公司,伦敦)。[2]

与大马士革玫瑰(Rosa×damascena Mill.)、紫罗兰(Viola odorata L.)或茉莉花(Jasminum ofcinale L.)相比,即使在今天,从体现花香的铃兰(conallaria majalis L.)中获取精油也是不可能的,这更加强调了胡安·法梅尼亚·弗洛里斯创作《铃兰》的独特性。虽然在18世纪,不同的精油必须被巧妙地混合来产生铃兰不同的嗅觉层面,合成有机化学在今天已经提供了许多吸引人的铃兰气味剂,正如我们将在这篇综述中看到的。[2]

铃兰的治愈作用及用药历史

铃兰(铃兰);或铃兰,有时被称为五月钟;法语:muguet)属于芦笋科(天冬酰胺科),通常在欧洲的林地中见到。密切相关的是在日本和东亚发现的变种Manschurica和在美国东部发现的变种monachalis。早在1479年,来自德国慕尼黑附近的埃伯斯堡圣塞巴斯蒂安修道院的本笃会僧侣Vitus Auslasser就在他的草药书中对这种植物进行了写实描绘(图2)。一些对铃兰的最初描述将其描述为药用植物。在他15世纪的论文“Gebrannte Wässer”(“蒸馏酒”,保存在德国Wolfenbüttel的Herzog August图书馆)中,加布里埃尔·冯·莱本斯坦称它们为玛丽的花(铃兰),指的是所罗门之歌2.1:“Ego fos campis et lilium convallium”(我是田野里的花和深谷里的铃兰),并把从花中提取的水作为一种有效的灵丹妙药,用于治疗各种疾病,包括中风、月经痉挛和呼吸系统疾病。

香精与香料(59)—铃兰醛

图2 铃兰(conallaria majalis L.)和本笃会僧侣Vitus Auslasser的绘画(©Wikimedia Commons, H. Zell, Creative Common License;Wikimedia Commons, V. Auslasser,公共领域)。铃花属是由瑞典植物学家卡尔·冯Linné(1707-1778)在1753年的《植物物种》中首次描述的。它由conallaria keiskei Miq组成。conallaria pseudomajalis W. Bartram和conallaria majalis L.均为多年生草本植物,株高15-30厘米,花朵呈白色杯状,果实鲜红,直径6-12毫米。它们主要由蜜蜂授粉,通过画眉和画眉传播,也是深受喜爱的花园植物。[2]

此外,奥地利医生、维也纳大学医学院院长Michael Puf(1400-1473)在他的小册子《Von den ausgebrannten Wässern》中建议在小心中毒的情况下使用蒸馏液。然而,他没有详细说明精油是如何获得的。在法兰克福市内科医生约翰·旺内基·冯·考布(Johann Wonnecke von Kaub,约1430-1503/1504)于1485年出版的草药书《大地之海》(Gart der Gesundheit)中,描述了铃兰的花束以及从这种花中提取蒸馏物的方法: 这些花的效力比叶子强,而根比花强。取半磅花,加入一升葡萄酒,让它们在一起放置四个多星期。然后过滤葡萄酒,通过Alembic(炼金术蒸馏设备)蒸馏五次。这种蒸馏酒比黄金好。把这种酒和六个胡椒粒和一点薰衣草水混合在一起的人,那个月就不用担心中风了。19世纪的俄罗斯民间医学将铃兰描述为一种药用植物,作为红毛地黄(洋地黄属)和海鳞(海鳞属)的替代品来治疗慢性心肌衰竭。

1858年,海德堡的药理学家乔治·弗里德里希·瓦尔兹(Georg Friedrich Walz, 1813-1862)从铃兰植物中分离出铃兰素。威廉Marmé (1832-1897), Georg-August-Universität的药理学家,随后在1867年研究了它们的药理特性。现在我们知道,这种植物的所有部分,包括花和果实,实际上都是有毒的!其毒性不仅来自于心苷和皂苷,还来自于不同寻常的有毒氨基酸azetidine-2-carboxylic acid(图3)。

香精与香料(59)—铃兰醛

图3 尽管铃兰的各种成分都有毒性,会引起腹痛、呕吐、心率降低、视力模糊、困倦和皮疹,但它一直被用作民间疗法。[2]

铃兰的挥发性化学成分

就其嗅觉特性而言,铃兰仍然是一种难以捉摸的植物。不仅不能从它中提取精油,甚至连其香味的成分也令人费解。Roman Kaiser在奇华顿发现2,3-二氢法尼醛(2,3-dihydrofarnesal)是铃兰花中最典型的芳香成分,但它只是一个微量成分,并不能解释它们特有的香味。2,3-二氢法尼醇(2,3-Dihydrofarnesol)也已从花中获得,并在一定程度上有助于嗅觉轮廓的绘制。顶空中其他重要的气味物质是苯甲醇(benzylalcohol)、香茅醇(citronellol)和香茅乙酸酯(citronellyl acetate)。除了微量浓度的β-月桂烯(β-myrcene)、(E)-α-异氰烯((E)-α-ocimene)、反式玫瑰氧化物(trans-rose oxide)、6-甲基庚-5-烯-2-酮(6-methylhept-5-en-2-one)、吲哚(indole)和苄氰化物(benzylic cyanide)外,还检测到大量尚未表征的化合物(图4,5)。

香精与香料(59)—铃兰醛

图4 为了捕捉铃兰未被污染的香味,人们把花放在一个玻璃罐里,从里面吸入空气。空气中的化学成分被吸附在固相上。吸附后的物质经热解吸或溶剂解吸,然后用气相色谱/质谱分析。此外,由有经验的香料化学家进行GC嗅闻是鉴别未知物质的可靠方法。(©Wikimedia Commons, Krzysztof P. Jasiutowicz, Creative Common License;Wikimedia Commons, Musky, Creative Common License;由菲利普·卡夫友情提供)[2]

香精与香料(59)—铃兰醛

图5:一些芳香分子有助于铃兰的花香形成[2]

铃兰香的合成

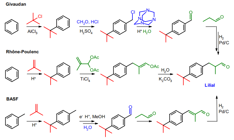
1952年,俄罗斯化学家Vladimir Mikhaĭlovich Rodionov(1878-1954)在《合成与天然香料全联合科学研究所学报》上首次报道了铃兰醛Lilial®的合成。在Givaudan, Lilial®于1946年6月首次被评估;然而,当时的调香师将这种化合物评为“无intérêst嗅觉的appréciable”(“没有任何明显的嗅觉益处”),这是因为其气味阈值为0.45 ng/l,比兔耳草醛(Cyclamen aldehyde®)低5倍。由于Marion Scott Carpenter(1901-1973)和William M. Easter的坚持,在公司内部推广Lilial®,在对俄罗斯的出版物不知情的情况下,奇华顿成功地在1959年申请了该物质的专利(申请日期:1956年6月11日)。香型确实非常接近兔耳草醛,但在相同的配方中使用时更加稳定,将其应用范围扩展到洗衣护理、洗发水、肥皂和带有muguet或lime花香的化妆品香水。Lilial也被称为Lilestralis®(AFC)、Lilyall®、Lysmeral®(BASF)、Meforal®、醛MBDC®和Lilial醛(Kuraray)。目前,Lilial®的年产量估计约为15,000吨,但由于监管限制,在未来几年可能会严重下降。在产量和价值方面,Lilial®明显优于7-羟基-6,7-二氢香茅醛,兔耳草醛®,波洁洪醛(Bourgeonal®)和许多接近铃兰的香气物质。铃兰醛的工业合成方法与兔耳草醛类似。由Marion Scott Carpenter在Givaudan开发的Lilial®的合成始于苯的Friedel Crafts烷基化,然后是氯甲基化和Sommelet反应生成4-叔-丁基苯甲醛。

醛醇反应和氢化产生铃兰醛。Igor Scriabine在Rhône-Poulenc反应接上了甲丙烯醛二醋酸酯侧链,就像他在兔耳草醛®的案例中所做的那样。奇华顿也报道了类似的傅克反应,但也报道了那些应用无保护的甲丙烯醛的反应。BASF工艺的关键步骤是对4-叔-丁基甲苯进行酸性电化学氧化。生成的缩醛被纯化,然后水解。在4-叔-丁基苯甲醛与丙醛的醛醇反应后,采用贵金属催化剂进行双键加氢反应。BASF和Universal Oil Products都拥有钯催化剂的专利,而长谷川则使用钴催化剂。此外,巴斯夫还提出了一种一锅式醛醇缩合和加氢的工艺(图6)。

香精与香料(59)—铃兰醛

图6 用于制造铃兰醛的工业合成方法[2]

多年来,人们开发出了一系列其他有趣的合成方法。一种是苯甲醛与丙醛缩合得到α-甲基肉桂醛,在铜铬铁催化剂上氢化成饱和醇。根据巴斯夫的工艺,然后用异丁烯或t-丁基氯将其烷基化,最后用银催化剂氧化(图7)。

香精与香料(59)—铃兰醛

图7 2-甲基-3-苯基丙醇的Friedel-Crafts烷基化合成铃兰醛[2]

奇沃顿描述了一种黄金催化剂,它也能起到同样的作用。此外,奇华顿还开发了一种合成方法,其关键步骤为烯醇醚的氢甲酰化反应,所生成的肉桂醛是用钯在木炭上作为催化剂氢化的(图8)。

香精与香料(59)—铃兰醛

图8 2-甲基-3-苯基丙醇的Friedel-Crafts烷基化合成铃兰醛Lilial®[2]

在奇华顿的另一个合成中,Heck反应是关键步骤,然后是双键异构化(图9)。

香精与香料(59)—铃兰醛

图9 Heck反应及异构化合成铃兰醛的路线[2]

铃兰醛的药理活性

1、芳香化学物新铃兰醛(Lyral)和铃兰醛(Lilial)通过增加自由基的产生和降低细胞内ATP水平来降低HaCat细胞的活力:抗氧化剂的保护

本课题研究了两种常用的香味化学物质:新铃兰醛和铃兰醛对培养细胞的生化影响。虽然这两种化学物质对初级角质形成细胞HaCat细胞有显著影响,但对HepG2、Hek293、Caco2、NIH3T3和MCF7细胞均无影响。新铃兰醛和铃兰醛:(a)降低HaCat细胞活力,在100 nM和60 nM时细胞死亡50%;(b)处理12 h后,细胞内ATP水平呈剂量依赖性显著降低;(c)抑制了肝脏亚线粒体颗粒中电子传递链的复合物I和II;(d)活性氧生成增加,但被n -乙酰半胱氨酸、trolox和天然抗氧化剂硫辛酸逆转,而不影响游离和/或氧化谷胱甘肽的水平。硫辛酸能保护HaCat细胞免受这两种化合物诱导的活性下降。新铃兰醛和铃兰醛的脱氢反应产生a,b不饱和醛,与硫辛酸反应需要蛋白质,从而受到抑制。我们认为新铃兰醛和铃兰醛对线粒体有毒害作用,直接影响线粒体的电子传递链,增加ROS的产生,扰乱线粒体膜电位,降低细胞ATP水平,从而导致细胞死亡。[3]

香精与香料(59)—铃兰醛

图10 HaCat细胞中新铃兰醛和铃兰醛的靶点示意图[3]

2、二氢茉莉酸甲酯和铃兰醛是Bombshell®(性感炸弹®)香水中具有“标签外”驱虫作用的成分

驱虫剂被广泛用于抵御讨厌的蚊子,更重要的是,在病毒和其他媒介传播疾病流行的地区,减少或消除蚊虫叮咬。避蚊胺是60多年前合成的,是应用最广泛的驱虫剂。从植物中提取的化合物被用于大量的商业配方和天然配方中来驱蚊。它们也被用作香水。我们分析了Bombshell®(性感炸弹®),以确定成分引发了一个以前报道的“标签外”驱避活性。室内实验结果表明,Bombshell®(性感炸弹®)中两种主要香味成分,即二氢茉莉酸甲酯和铃兰醛,对南方家蚊致倦库蚊具有很强的驱避作用。这两种化合物都激活了先前鉴定的避蚊胺敏感气味受体CquiOR136。这些化合物也是伊万卡·特朗普淡香水的主要成分。伊万卡·特朗普香水中的二氢茉莉酸甲酯含量高于Bombshell®(性感炸弹®),而铃兰醛在香水中的含量则相反。Bombshell®“性感炸弹”和伊万卡·特朗普香水在实验室检测中都能保持长达6个小时的活性。虽然使用这些香水可以击退讨厌的蚊子,但不建议使用它们作为“标签外”的驱蚊剂来对付受感染的蚊子。(注:外标签用药是指在未经批准的适应症或年龄组、剂量或给药途径中使用药物)

香精与香料(59)—铃兰醛

参考文献:

[1]https://ec.europa.eu/health/sites/health/files/scientific_committees/consumer_safety/docs/sccs_o_213.pdf

[2]Ramachanderan, Raghavendra & Schaefer, Bernd. (2019). Lily-of-the-valley fragrances. ChemTexts. 5. 10.1007/s40828-019-0081-8.

[3] Usta, Julnar A, Yassmine Hachem, Omar El-Rifai, Yolla Bou-Moughlabey, Karim S. Echtay, David W. Griffiths, Hania Nakkash-Chmaisse and Rajaa Fakhoury Makki. “Fragrance chemicals lyral and lilial decrease viability of HaCat cells' by increasing free radical production and lowering intracellular ATP level: protection by antioxidants.” Toxicology in vitro : an international journal published in association with BIBRA 27 1 (2013): 339-48 .

[4] Zeng, Fangfang & xu, Pingxi & Tan, Kaiming & Zarbin, Paulo & Leal, Walter. (2018). Methyl dihydrojasmonate and lilial are the constituents with an "off-label" insect repellence in perfumes. PLOS ONE. 13. e0199386. 10.1371/journal.pone.0199386.

关联香精

服务热线

177-5061-9273

添加微信咨询

添加微信咨询