
甜瓜醛 Melonal
青香 GREEN
强烈的青香,甜瓜,黄瓜样香气
甜瓜醛能提供一种强烈而独特的香气• 它可添加于任何类型的香精配方中, 对于调配天然海洋以及果香-甜瓜香型的配方来说,它是必不可少的原料•

2,6-二甲基-5-庚烯醛
基本信息
英文通用名称 2,6-dimethyl-5-heptenal(Melonal) 乐天堂FUN88.
中文通用名称西瓜醛(2,6 fun88乐天堂官网,二甲基-5-庚烯醛).
理化性质
分子量 140.23
性状描述淡黄至黄色油状液体,具有强烈的新鲜甜瓜似清香,不十分稳定,闪点62℃ fun88乐天堂官网是什么,溶于乙醇,丙二醇和非挥发性油,几不溶于甘油和水。

其他信息
类别天然等同香料和人造香料
制法由异丁醛和β-甲基丁烯醛缩合后局部氢化而成.
用途 GB2760-86规定为暂时允许使用的食品用香料,有清爽的瓜香 fun88乐天堂,稍带清香及脂蜡香,香势较强,主要用于配制甜瓜,黄瓜和热带水果型香精。
在日用化学品香精中可用作头香香料,亦可作为脂肪族醛类香料的修饰剂,由于具有较强的新鲜气息,亦可用于掩饰某些加香介质中的不良气息,可广泛用于瓜香,水果香和蔬菜香味的食用香精中 乐天堂FUN88。
毒理学性质 GRAS(FEMA)。
质量指标 FCC,1992 1. 含量≥85% 2. 折射率(nD20) 1. 442~1 fun88乐天堂官网. 447 3. 醇中溶解度(OT-43) 1ml样品溶于2mL70%乙醇 4. 相对密度(d20 20) 0. 848~0. 854 5. 酸值(OT-4) ≤5.
一种新的,替代,无卤使用沸石和介孔材料作为氧化催化剂合成香料化合物甜瓜醛[1] fun88乐天堂官网是什么.
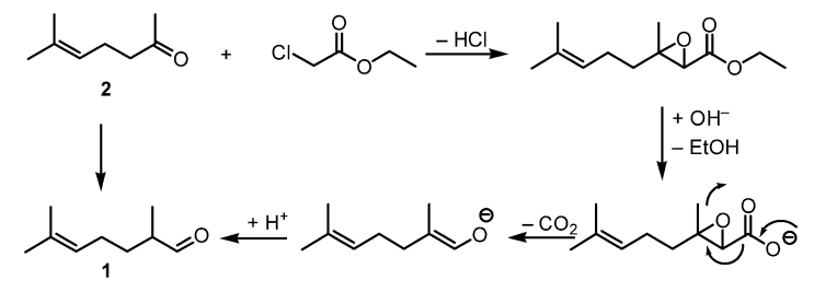
甜瓜醛(2,6-二甲基-5-庚烯-1-醛,1)由于具有强烈的绿色甜瓜和黄瓜的气味,因此被用来在香水中引入甜瓜和黄瓜的香味,在工业上,西瓜醛是通过6-甲基-5-庚烯-2-酮与氯乙酸乙酯的达尔森缩合(Darzens condensation)来合成的,产生一种α,β-环氧酯(方案1),然后对该酯进行皂化和脱羧 乐天堂fun88靠谱吗,产生所需的醛1,一般来说,酮类或醛类的同系化以产生多一个碳原子的醛是一个具有挑战性的过程,不能一步到位,出于这个原因,使用卤化酯的达尔森反应,然后进行皂化和脱羧,就可以达到这个目的。

方案1 通过达尔森(Darzens)反应和随后的脱羧反应,从6-甲基-5-庚烯-2-酮(2)合成西瓜醛Melonal(1) fun88乐天堂。
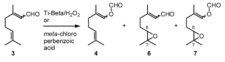
Corma等想到了一种催化和无卤素的替代合成策略(方案2),即通过酮2与乙醛的醛缩反应,将6-甲基-5-庚烯-2-酮(2)转化为3,7-二甲基-6-辛烯-1-醛(3 乐天堂FUN88,柠檬醛),从而实现一碳同源,随后,醛3的Baeyer-Villiger氧化得到甜瓜醛(方案2),从合成和工业的角度来看,这条新的路线是相当有吸引力的,不仅因为它不涉及任何卤化产品,而且还因为柠檬醛(3)是廉价的,并且很容易通过合成和从精油(柠檬草油或荔枝油)蒸馏获得,然而,必须指出的是,这条路线带来了一个复杂的问题,即醛链中存在一个三取代的双键,而进行Baeyer-Villiger氧化的工业流程使用的过酸也是良好的环氧化剂,不允许选择性地获得甜瓜醛,事实上,当我们用甲氯过苯甲酸(m-CPBA)对柠檬醛进行反应时,对甜瓜醛或其前体4的选择性只有33%。

方案2 以6-甲基-5-庚烯-2-酮(2)为原料,通过Baeyer-Villiger氧化与乙醛的醛缩合产物,合成西瓜醛(1)。
最近,Corma等提出了Sn-Beta和Sn-MCM-41材料,用于环状酮和芳香醛的化学选择性Baeyer-Villiger氧化,以过氧化氢作为氧化剂。在合成δ-癸内酯(也是一种香料化合物)的过程中,已经成功证明了用Sn-Beta进行工业加工的可行性。该沸石催化剂在无溶剂条件下使用,底物/催化剂的比例很高(高达200 wt/wt),并实现了高周转率(TONs)。我们在此表明,这些材料可以通过这种新的路线合成甜瓜醛,具有高选择性,并以过氧化氢作为氧化剂。我们进一步证明,锡路易斯酸位点比其他路易斯或布伦斯特酸位点具有更好的催化作用。
柠檬醛(3)用过氧化氢与一系列溶剂,如乙腈、异丙醇、叔丁醇、叔戊醇和环己醇(3.00克)进行了氧化。在所有情况下,甲酸酯4(即柠檬醛的Baeyer-Villiger氧化产物)和甜瓜醛(1)是获得的主要产品,当使用醇类作为溶剂时,其添加选择性为95%。由于产品4在催化量NaOH的存在下很容易定量地转化为甜瓜醛,我们可以说,通过这种新的无卤化学途径,有可能以高选择性(95%)生产醛的同源物。当不同产品的产量与总转化率作对比时,可以看出烯醇酯4是主要的不稳定产品,而甜瓜醛(1)是次要的稳定产品。这种行为与柠檬醛的Baeyer-Villiger氧化形成西瓜醛(4)的甲酸酯是一致的,而甜瓜醛将是通过其水解产生的次级产品。主要的副产品,酮2,只形成少量,并作为次级产品出现。这可能是由2,3-环氧化物5在用过氧化氢打开和Grob碎裂后形成的(见方案3),从而得到酮2。

方案3 Baeyer-Villiger氧化产物醛3的的形成
我们在这里说,酮2的形成需要环氧化物5的形成。然而,以前曾有人提出Sn-Beta不会催化过氧化氢对烯烃的环氧化作用,这一点确实被我们没有检测到柠檬醛分子中6,7双键的环氧化作用这一事实所证实。然而,对于α,β位置的双键到羰基,如发生在柠檬醛(3)的情况下,环氧化物可以通过Sn-Beta催化剂催化的Weitz-Scheffer型环氧化作用形成(尽管数量很少)。通过原位红外光谱确定,羰基氧与路易斯酸锡中心相协调,导致羰基的碳原子上产生正的部分电荷。然后,在α,β-不饱和醛的情况下,这种部分电荷可以分散到双键(β位置),因此,Weitz-Scheffer环氧化的第一步,即对双键的亲核攻击,应该得到促进。然而,这一反应的速度远远低于过氧化氢对羰基中的碳原子的相应亲核攻击,而且对环氧化物的选择性相当低(5%)。在不同的酒精溶剂中,观察到的转化率在30-50%之间。无论使用何种溶剂,当我们将温度提高到100℃时,转化率都略有提高,而选择性仍为95%∼。在120℃时,5分钟的反应时间后已经实现了52%的转化率,相当于257的转化率(每摩尔Sn转化的摩尔数)和3060的转化率(每摩尔Sn每小时转化的摩尔数)。当反应时间在此温度下延长至1小时时,无法检测到进一步的转化,但选择性却略有下降。对过氧化氢的选择性总是在98%以上,因此,控制反应物总是柠檬醛(3)。因此,没有获得柠檬醛的完全转化的事实可以归因于催化剂失活或由于在Langmuir-Hinshelwood意义上的竞争性吸附的产品在催化位点的吸附导致的催化剂抑制。这种类型的产品抑制已经在其他同质和异质路易斯酸催化的反应中被观察到。正如我们在Sn-Beta存在的情况下用过氧化氢氧化环己酮时观察到的那样,水通过在Sn位点上的竞争性吸附对反应速率有负面作用。在任何情况下,在内酯产品的情况下,竞争性吸附效应更为重要。当这种竞争性吸附发生时,催化剂不应该遭受永久性的失活,其活性应该仅仅通过产品的解吸来恢复。事实上,在西瓜醛的情况下,催化剂可以在每次运行后重新使用,通常在200℃和2 Torr下简单活化2小时。每次转化率为50%这一事实要求在整个工业过程中引入分离和回收步骤。我们将Sn-Beta的氧化活性和选择性与其他潜在催化剂进行了比较。例如,在100◦C下反应1小时后,Al-Beta催化剂的转化率只有Sn-Beta催化剂的30%,即17%对53%,而不需要的酮2则被观察到有很大的产率。在用Al-Beta对芳香族醛进行Baeyer-Villiger氧化时,发现了与Sn-Beta类似的活性,但对具有孤立双键的底物除外。已经证明,当反应物分子中存在烯烃基团时,Al-Beta催化剂很容易通过形成相当稳定的非活性碳化物和/或通过笨重的低聚物堵塞孔隙而失活。这确实也是在柠檬醛/梅隆纳的情况下可能发生的情况。在Meerwein-Ponndorf-Verley反应中,Zr-Beta的性能与Sn-Beta相似,甚至比它更好。然而,在柠檬醛(3)的Baeyer-Villiger氧化中,Zr-Beta的活性和选择性都不如Sn-Beta。它的转化率为28%,对所需的1+4产物的选择性仅为59%。融入Beta结构的钛导致低转换率和低选择性。除了Baeyer-Villiger氧化外,还观察到环氧化,产生了产品6和7(方案4)。没有金属掺入的Si-Beta母体系统没有显示出催化活性,SnCl4的转化率非常低。

方案4 Ti-Beta/过氧化氢和m-CPBA在柠檬醛氧化过程中生成的产物(3)
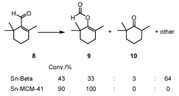
用Sn-MCM-41获得了有趣的结果,锡含量为9和2 wt%时,柠檬醛的转化率分别为46和40%,对所需产品具有高选择性。正如在环酮的Baeyer-Villiger氧化中已经观察到的那样,Sn-Beta在本质上比Sn-MCM-41更活跃,只要底物能够在没有任何立体限制的情况下扩散通过Beta通道。另一方面,当沸石的孔隙尺寸对反应物有扩散限制时,那么Sn取代的介孔分子筛可以成为沸石的替代品。我们可以看到,当环柠檬醛(8;2,6,6-三甲基-1-环己烯-1-甲醛)与Sn-Beta反应时,转化率下降到43%;然而,对所需产品的选择性只有36%(缺少的64%是Baeyer-Villiger氧化的不寻常的regioisomer)。相比之下,Sn-MCM-41(在SnO2中占2wt%)将90%的α,β-不饱和醛8转化为相应的甲酸酯,而没有任何皂化为酮10(方案5)。

方案5 醛8的Baeyer-Villiger。反应条件:0.5 g环柠檬醛(8;3.7 mmol), 1.5等量的双氧水(50%),50 mg Sn-Beta或Sn-MCM-41(每2 wt%的SnO2), 3.0 g叔戊醇,100◦C反应温度,反应时间1小时。
甜瓜醛的逆合成分析及周环步机理的研究 [2]
首先对甜瓜醛进行逆合成分析。

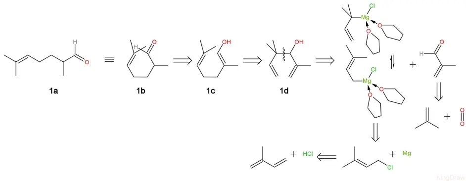
甜瓜醛的逆合成分析
我们看到,甜瓜醛是一个长链结构,有两个官能团,一个是醛基,一个是碳碳双键,并且二者被3个sp³杂化碳分隔,类似的结构往往可以通过周环反应来构筑。
我们将链状的甜瓜醛1a重画成环状,得到1b。而后考虑到醛可以由烯醇互变异构得到,我们将甜瓜醛对应的烯醇式甜瓜烯醇1c 画出,发现它是一个典型的可以发生Cope重排的化合物。

cope重排
并且由于烯醇式到醛式的互变异构对平衡的拉动,该Cope重排可以进行得很完全
画出Cope重排反应物:醇1d
该醇显然可以通过格氏试剂与醛加成的方法获得,此处为了为了表达方便,仅画出了烷基氯化镁的单体结构,实际的格氏试剂中还含有团簇化合物等,亲核加成机理也十分复杂,详见以下文章:

The Grignard Reaction-Unraveling a Chemical Puzzle, J. Am. Chem. Soc.2020. ASAP, DOI: 10.1021/jacs.9b11829
至于格氏试剂的获得也十分方便,仅需对应的卤化物与镁在THF中反应即可。而该卤化物可由异戊二烯在氯化亚铜的催化作用下与HCl部分加成获得。其中的异戊二烯可以通过石油裂解非常便宜地获得。至于甲基丙烯醛,则可通过异丁烯被过渡金属氧化物在氧气气氛中催化氧化获得,或者通过 Riley氧化获得。

过渡金属氧化物及热催化装置

Riley氧化
异丁烯在工业上几乎都是由炼厂气和裂解C4馏分中获得,也很便宜。至此,逆合成分析结束。
参考文献
[1] Avelino Corma, Sara Iborra, María Mifsud, Michael Renz, A new, alternative, halogen-free synthesis for the fragrance compound Melonal using zeolites and mesoporous materials as oxidation catalysts, Journal of Catalysis,2005,234(1),96-100. doi.10.1016/j.jcat.2005.06.006.
[2] https://www.bilibili.com/read/cv12869727