

乳香(英语:frankincense)是一种由乳香树属植物产出的含有挥发油的香味树脂,主要由阿拉伯乳香树(包括阿拉伯乳香树Boswellia sacra和索马里乳香树B, carteri)、波叶乳香树(B,frereana)、齿叶乳香树(B fun88乐天堂, serrata)和纸皮乳香树(B, papyrifera)生产。其采集方法是在乳香树皮上割开伤口,流出乳状汁液,接触空气后变硬,成为黄色微红的半透明凝块。乳香主要产地是苏丹、索马里、也门的哈德拉毛、阿曼的佐法尔,古代的集散中心是以示巴王国为中心的也门地区。。

阿拉伯乳香树及其树脂

索马里乳香树及其树脂
乳香的英文名frankincense源自古法语franc encens,意思是“上等熏香”,该说法现在还在许多欧洲语言中使用,乳香在中国汉朝至唐朝的文献中叫做薰毒,薰力,薰陆(熏陆),薰陆香(熏陆香),这些名称可能译自梵语名君杜噜(कुन्दुरु,kunduru)或波斯语,阿拉伯语名捆都而(کندر,kundur),南朝梁时便有用香炉焚烧薰陆的记载,唐宋开始改称乳香或乳头香,得名于其树脂垂滴如乳 乐天堂FUN88,其他别名包括马尾香,天泽香,摩勒香,多伽罗香,杜噜香等。

香乘. 二十八卷. 明 fun88乐天堂官网. 周嘉冑纂辑. 明崇祯十四年刊本_页面_451. jpg.
乳香在西方的宗教场合很常用,古埃及和古罗马的祭司曾大量使用乳香在神庙中制造异香缭绕的神秘气氛,古埃及遗留下来的记载中就记载了古埃及女法老哈特谢普苏特曾经亲自带领贸易商团前往庞特(今地理位置不明,可能是索马里)和庞特女皇,阿提女皇进行乳香贸易 fun88乐天堂官网是什么,并使用来制作化妆品,据说罗马皇帝尼禄在皇后波培娅·萨宾娜的丧礼上烧掉了足够供应罗马城一年份的乳香,乳香也是犹太教圣殿中所燃的香料之一,旧约全书前五卷中经常提到乳香,根据圣经《马太福音》第二章第11节记载,来自东方的贤士带了黄金,乳香和没药去伯利恒朝圣,将其奉献给降诞于人间的耶稣,现今天主教的重要弥撒中仍常用到乳香。

神之气息,乳香的传奇之路(https://www 乐天堂fun88靠谱吗,gushiciku,cn/dc_hk/200104072).
由于基督教的发展,令乳香在埃及和欧洲的市场在4世纪之后逐渐缩小,以及6世纪也门马里卜大坝崩溃之后阿拉伯半岛上出现荒漠化的现象,被称为“无人地带”的鲁卜哈利沙漠中的众多绿洲消失,使得商旅马车更难以越过,再加上近东的帕提亚帝国境内游牧民族对商旅的抢夺,使得也门经阿曼至近东的“乳香之路”在兴盛了300年后出现衰落的趋势,但此后仍通过红海向拜占廷,中国出口大量的乳香,公元11世纪,阿曼开辟了至中国广州,泉州的“海上丝绸之路”,又称之为“海上乳香之路”,每年向中国出口数十吨以至上百吨乳香,北宋初年,泉州陈洪进遣使于乾德元年(963年)十二月,“贡白金千两,乳香,茶药皆万计,”真宗朝,皇帝尊崇道教,对乳香的消费大增,“道场科醮无虚日,永昼达夕,宝香不绝……袭庆奉祀,日赐供乳香一百二十斤”,宋徽宗崇宁年间,“神霄宫事起,土木之工尤盛,群道士无赖,官吏无敢少忤其意,月须币帛,珠砂,纸笔,沉香 fun88乐天堂,乳香之类,不可数计,随欲随给,”。

海上乳香之路
古代将乳香用于宗教祭典,也当作熏香料(制造熏香,精油的原料)使用,也是中药的一种外科和内科药材,用于止痛,化瘀,活血,乳香“性温,疗耳聋,中风,口噤,妇人血风,能发酒治风,冷止大肠,泄僻疗诸疮疖,令内消,”,赵汝适在《诸蕃志》卷下《乳香》载:“乳香,一名薫陆香,出大食之麻啰拔,施曷,奴发三国深山穷谷中,其树大概类榕,以斧斫株,脂溢于外,结而成香,聚而为块”,在西方的文献纪载中,乳香用做消炎,杀菌,镇定,促进细胞再生,现代也逐渐有人使用一滴乳香精油涂抹脸部,抗皱 乐天堂FUN88。
可抗发炎,抗关节炎,抗霉菌和抗细菌,局部使用于疼痛的缓解上,可降低胆固醇 fun88乐天堂官网,保护肝脏,对于关节炎,痛风,下背痛,肌炎以及纤维肌痛症有益,帮助修复因发炎所造成的血管伤害,在传统上可以使用来治疗肥胖,腹泻,肺部疾病,钱癣以及疖。

乳香的化学组成
乳香胶树脂含有5-9%的油,60-70%的醇溶性组分,25-30%的水组分,亲脂部分含有丰富的萜类化合物 fun88乐天堂官网是什么,特别是具有重要药用价值的乳香酸(BAs),植物树脂是挥发性和非挥发性萜类化合物的脂溶性混合物。
1、挥发性萜类化合物
采用气相色谱-火焰离子检测器、气相色谱/质谱联用和顶空固相微萃取等方法研究了乳香树脂挥发油的化学成分,结果表明:α-蒎烯(1)占38%,β-罗勒烯(ocimene)(32,3%;2)、莰烯(camphene)(29,4%;3),2-(2-羟基丙氧基)-1-丙醇(1-propanol, 2-(2-hydroxypropoxy))(14,4%;4)、柠檬烯(13,36%;5)、1,1′-二羟基二异丙醚(2- propanol, 1, 1′-oxybis)(11,2%;6)为主要化合物。其他化合物如反松香芹醇(trans-pinocarveol)(3,98%)(7)、石竹烯(caryophyllene)(3,03%;8)、顺-胡椒醇(cis-piperitol) (2,53%;9),β-芹子烯(β-selinene) (2,49%;10)、月桂烯(myrcene)(2,38%;11),α-菲兰烯-8-醇(α-phellandren-8-ol) (2,37%;12)、δ-杜松烯(δ -cadinene) (2,21%;13)在乳香挥发油中有大量的发现。 乐天堂fun88靠谱吗。

2、倍半萜类化合物
通过对阿拉伯乳香的研究,分离并鉴定了两种含氧倍半萜,即香附二烯酮(rotundone)(14)和莫斯德酮(mustakone)(15)。采用感官向分离方法从树脂挥发油中分离得到上述化合物。

3、二萜
四个新西松烷型(cembrane-type)二萜类化合物,包括boscartins(16 - 19),连同五个已知化合物(1 s, 3 R, 11, 12 R, 7 e) 1, 12-表羟基-4-亚甲基西松-7-烯-3, 11-二醇(1, 12-epoxy-4-methylenecembr-7-ene-3, 11-diol ) (20), 异因香酚(isoincensole)氧化物(21),因香酚(incensole)氧化物(22),乙酸因香酯(incensole acetate)(23),乙酸因香酚氧化物酯(incensole oxide acetate)(24)等被王等人从阿拉伯乳香树脂中分离得到。此外,与双环醇(阳性对照)相比,分离化合物对扑热息痛损伤的HepG2细胞的肝保护性能进行了研究。在10 μM浓度下,乙酸因香酯具有明显的肝保护作用。相比之下,boscartin M,异因香酚氧化物,因香酚氧化物,氧化和乙酸因香酚氧化物酯10μM有轻微护肝效应。在王等的其他研究中, 对阿拉伯乳香的研究得到了分离的十个新西松烷型二萜,包括boscartins AL-AU(34)和五个已知的类似物(35-39)。此外,化合物27、29、36和37在10 μM时对扑热息痛诱导的HepG2细胞损伤具有肝保护作用。一些化合物在两种不同的模型中表现出适度的神经保护活性。张等人从阿拉伯乳香树脂中分离了八种二萜(40-48),即sacraoxides A-G ,发现sacraoxides E和F有抑制脂多糖诱导的RAW264.7细胞产生NO的活性,其半抑制浓度IC50值为24.9±1.7, 36.4±2.9 μM。在另一项研究中,从Wang等人的阿拉伯乳香的树脂乙醇提取物中分离得到5个二萜(49-53),其中包括2个新的prenylaromadendrane型二萜,以及3个已知的类似物。5-氟尿嘧啶作为阳性对照,所有化合物对人恶性胶质瘤(U87-MG)细胞系具有明显的细胞毒性。下图为从阿拉伯乳香树脂中分离得到的二萜类化合物结构。

4、三萜
从化学性质上看,乳香中含有三萜类化合物,如羽扇豆酸(lupeolic acid), α-和β-乳香酸(boswellic acid)(54, 55, 56)及其相应的O-乙酰基衍生物(57,58,59)。Ali等从阿拉伯乳香树脂的阿曼乳香中分离出两种新的五环三萜类O-乙酰基衍生物,3α-乙酰氧基-5:12-二烯-24-乌苏酸(60)和3-乙酰氧基-12:20-二烯-24-乌苏酸(61),以及四种已知化合物:3-羟基-11-氧代-12-烯(64)和11-羟基-3-氧代-12-烯(65)。Al-Harrasi等从阿拉伯乳香树的树脂中已报道了一种熊烷型(66)、一种齐墩果酸型(67),分别为齐墩果酸-11、13(18)-二烯-3β、24-二醇和3-羰基-11a-羟基-乌尔-12-烯,以及两种羽豆烷型三萜,羽扇豆酸(68)和羽扇豆醇(69)。利用自行研制的装置,对阿拉伯乳香树脂进行了热解,并将烟气引入水中。从烟饱和水的正己烷提取物中分离得到2个化合物,分别为1,2,4a,9-四甲基-1,2,3,4,4a,5,6,14b-八氢蒎烯(70)和2,9-二甲基蒎烯(71)。研究了化合物70和71对MDA-MB-231乳腺癌细胞的抗增殖活性,发现这些热解产物具有抑制癌细胞生长的作用。Al-Harrasi等从阿曼乳香 B. sacra Flueck中报道了一种新的熊烷型三萜,即nizwanone(72),以及已知的两种化合物papyriogenin B(73)和rigidenol(74)。和3-O-乙酰-尿酸(78)被报道为从甲醇提取物中提取的三萜化合物。类似地,从sacra的树脂中分离得到10个已知化合物,包括一个三萜(79)。从乳香中分离得到的三萜结构如下图所示。

5、乳香酸及其衍生物
乳香树脂提取物的主要活性成分为乳香酸(BAs)。如下图所示,BAs是一组含C-4羧酸的五环齐墩果烷或熊烷三萜类化合物,分为β-BAs(熊烷型)和α-BAs(齐墩果烷型)两类。它们对炎症、关节炎、溃疡性结肠炎、慢性结肠炎、哮喘和肝炎的疗效是有根有据的。它们也表现出抗菌、抗糖尿病、抗病毒和止痒的活性。在医学上,BAs的一个重要用途是消炎。乳香酸通过非氧化还原、非竞争性抑制5-脂氧合酶抑制中性粒细胞中的白三烯生物合成。乳香提取物的药理作用通常可以用乳香酸的存在来解释。此外,BAs的抗癌活性也很显著。在这方面,它们对包括膀胱癌、脑癌、宫颈癌、结肠癌、结肠直肠癌、肝癌、白血病、肺癌、黑色素瘤、脑膜瘤、多发性骨髓瘤、神经母细胞瘤、卵巢癌、胰腺癌和前列腺癌都有活性。

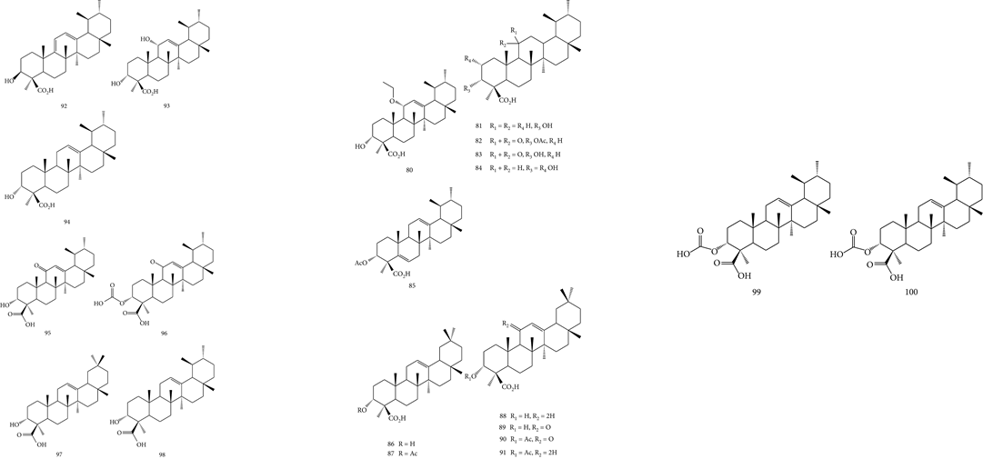
一种新型乳香酸衍生物——11α-乙氧基-β-乳香酸(EBA;80), Al-Harrasi等人从阿曼乳香B. sacra Flueck中分离得到。他们还报道了从阿拉伯乳香树的树脂中分离出5个乳香酸衍生物(81-85)。同样,从阿拉伯乳香树的树脂中还分离出了10个已知化合物,如9个乳香酸(86-91和92-94)。化合物87和89-91对α-葡萄糖苷酶具有较强的抑制活性,IC50值为15.0±0.84 ~ 80.3±2.33 μM;化合物92具有较强的抑制活性,IC50值为799.9±4.98 μM。从某甲醇提取物中分离得到11-酮基-β-乳香酸(95)、3-O-乙酰基-11-酮基-β-乳香酸(96)、α-乳香酸(97)、β-乳香酸(98)、3-O-乙酰基-α-乳香酸(99)和3-O-乙酰基-β-乳香酸(100)。分离得到的乳香酸及其衍生物的结构如下图所示。

乳香的药理学研究进展
1、利用网络药理学和分子对接研究乳香抗药物性肝损伤的作用机制
乳香在许多国家被用作传统药物。它是一种重要的多靶点中药,具有保肝等多种治疗作用。然而,其在药物性肝损伤(DILI, Drug Induced Liver-Injury)中的作用机制尚不清楚。通过网络药理学和分子对接的方法,阐明乳香在DILI中的活性成分、核心基因及其分子机制。从BATMAN-TCM数据库中获取乳香的活性成分及其靶基因,从GeneCards和DrugBank数据库中获取DILI靶基因。利用Cytoscape构建化合物共享基因靶网络。利用STRING和DAVID软件分析关键靶点和通路富集。采用Autodock Vina软件进行分子对接。网络分析鉴定出乳香中16个化合物和103个与DILI高度相关的靶基因。蛋白-蛋白相互作用网络的核心基因为INS、IL6、TP53、TNF、SRC、PTGS2、IL1B、CAT、IL10、IGF1。此外,GO和KEGG通路富集分析表明,乳香对DILI的影响与RNA聚合酶II启动子的转录正调控和炎症反应有关。HIF-1、TNF、FoxO、PI3K-Akt、鞘脂质信号通路等核心通路与DILI密切相关。本研究揭示了乳香的化学成分和药理作用,并揭示了可能的DILI愈合靶点。这项研究可以为进一步开发专门针对DILI的药物提供见解。

DILI: 乳香化合物目标网络。(a)韦恩图:103个乳香和DILI共同的目标。(b)共有目标网络,包括121个节点和328条边。红色、紫色、黄色和蓝色节点分别代表疾病、药物、化合物和靶标。/乳香中活性化合物对DILI的蛋白-蛋白相互作用(PPI)网络。每个节点代表一个相关的靶基因。程度较大的蛋白质以较大的节点和较深的颜色来描述;边缘(更大的综合分数)是由粗和暗的线描述。/利用DAVID数据库进行GO和KEGG通路富集分析。(a) GO项分析:蓝色、绿色和橙色条分别表示生物过程(BP)、细胞成分(CC)和分子功能(MF)。(b) KEGG通路富集。
/药物-化合物-靶向-通路包括135个节点和448条边。紫色、黄色、蓝色和红色节点分别代表药物、化合物、靶标和途径。/乳香酸与PPI的10个关键蛋白的分子对接示意图。黑点:碳原子;蓝点:氮原子;红点:氧原子;绿色虚线:氢键;红色:氨基酸残基。
本研究从生物信息学角度,通过网络药理学和分子对接的方法,阐明乳香在DILI中的作用机制。网络分析发现乳香中16个化合物和103个与DILI高度相关的靶基因。此外,PPI网络分析确定了10个核心靶点:INS、IL6、TP53、TNF、SRC、PTGS2、IL1B、CAT、IL10和IGF1。GO和KEGG通路的富集分析表明,乳香对DILI的活性可能与RNA聚合酶II启动子的转录正调控和炎症反应有关。HIF-1、TNF、FoxO、PI3K-Akt、鞘脂质信号通路等核心通路与DILI密切相关。
2、乳香抗炎、抗癌和增强记忆作用的分子证据
具有类药特性的天然产物的化学多样性已经引起了医学界对开发更安全有效的药物的关注。它们的抗炎、抗肿瘤、镇痛和其他治疗特性有时在控制疾病方面比化学药物更成功,因为它们的耐药性和副作用更少,在很长一段时间内更容易忍受。乳香,从乳香属植物中提取的油胶树脂,就含有这些化学物质。它的主要成分乳香酸(boswellic acid)具有抗炎作用,传统上被用来治疗许多疾病,主要是那些针对记忆功能的疾病。在这篇综述中,我们从乳香在改善记忆和预防炎症和癌症方面的有益作用中积累了研究证据。此外,我们还讨论了介导这种天然补充剂治疗效果的分子途径。
学习和记忆的形成作为复杂的认知能力,需要广泛的神经网络和突触。在整个生命过程中,这些过程受到许多事件的影响,尤其是衰老。在传统医学中,一系列的药用植物被用来改善神经系统的功能。乳香,传统上用于治疗和预防记忆缺陷的天然成分之一,是当今改善记忆药物的有力候选成分。乳香如何归因于记忆?甲状腺激素缺乏及其导致的氧化应激的主要靶点之一是人类从胎儿到成年期的大脑和神经系统。胎儿发育期间的甲状腺功能减退会导致生长发育、智力迟钝和认知障碍,在成人中,它会导致严重的后果,如焦虑、抑郁、学习和记忆功能障碍。根据Hosseini等人的研究,乳香(来自于齿叶乳香树[bs])能恢复由甲巯咪唑诱导的成年大鼠甲状腺功能减退所导致的记忆损伤。与其他三种草药产品联用,包括:在蜂蜜糖浆中的香柏草、番红花和胡椒,也可以保护脑组织免受丙基硫氧嘧啶(PTU)诱导的甲状腺功能减退所造成的氧化损伤,并防止记忆缺陷。这些结果与多奈哌齐治疗认知疾病的效果相当。在哺乳期间使用齿叶乳香树可防止后代血清甲状腺素水平下降和随后的记忆功能障碍。在妊娠期摄入它也修正了后代的记忆,可能是通过提高海马CA3区域的树突大小和分支密度来实现的。由于海马体是与记忆形成相关的重要大脑结构,记忆研究人员通常将注意力集中在海马体区域。这种结构根据细胞形态可分为几个亚领域。这种结构的损伤或老化过程中神经突的退化会破坏记忆功能。海马角(边内回)是海马锥体细胞层,由CA1、CA2和CA3组成。CA1中的短期记忆转变为长期记忆,几项研究表明,CA1中的树突损失与衰老过程中的记忆衰退有关。CA1和CA3的完整性对于情景记忆的提取是必要的。齿叶乳香树提取的β-乳香酸增加了大鼠CA1海马区神经突分支体积。除大小外,实验组大鼠CA1神经元的树突节段长度比对照组大近20%。随着年龄的增长,海马颗粒细胞层的齿状回(DG)发生了形态学的改变。长期服用齿叶乳香树提取物可减轻老年大鼠DG部分神经元复杂性、密度和突触数量增加后的记忆缺陷。乳香提取物也恢复了对海马结构和记忆的引燃作用。引燃法是一种用戊四唑(PTZ)诱导动物癫痫发作的方法,用于研究癫痫对记忆功能障碍的影响。2014年,Jalili等研究表明,戊四唑诱导的癫痫虽然减少了CA1区锥体神经元的数量,但齿叶乳香树提取物显著改善了引燃对认知功能的不良影响,尤其是在高剂量时。结合齿叶乳香树(Boswellia serrata)和蜜蜂花(Melissa officinalis (MO))的药片是对老年人的认知属性有益的。该药丸对东莨菪碱处理的大鼠记忆改善也有显著作用。乳香提取物与炎症介质或与大脑记忆通路相关的神经递质信号之间的相互作用可能涉及到记忆迟钝的预防。其他几项研究也证实了乳香对大鼠学习和空间记忆形成的有益作用。纸皮乳香树(Boswellia papyrifera)总提取物对莫里斯(Morris)水迷宫(Morris Water Maze, MWM)结果具有时间独立的修正作用,而纯乳香酸对小鼠记忆的改善作用具有剂量依赖作用。氯化铝(AlCl3)诱导的阿尔茨海默病模型大鼠对乳香摄入的反应积极,可与里瓦斯汀(一种治疗阿尔茨海默病的处方胆碱酯酶抑制剂)获得的结果相当。

乳香影响记忆的形成和清除活性氧,以保护人免受神经毒性从而罹患阿尔茨海默病。AKBA作为一种抗氧化剂,通过Nrf2-HO1信号通路的激活,阻止炎症过程的主要调节因子NF-KB。它能减轻炎症介质和ROS的产生。乳香成分也通过BDNF-CREB-BDNF循环刺激长期记忆的形成。分隔的虚线与可能的但未报告的关系有关。AKBA: 3 -乙酰基-11-酮-β -乳香酸, Nrf2:核因子红样2相关因子2,HO-1:血红素加氧酶1,ROS:活性氧物种,NF-KB:核因子-kappa B, BACE1: β位点APP切割酶1,Aβ:淀粉样蛋白-β, ARE/CBP:抗氧化反应元件/ creb结合蛋白,IKBα℗:核因子磷酸化抑制剂kappa B α、TNFα:肿瘤坏死因子α、IL-6:白介素6、IL-1β:白介素1、β、BDNF:脑源性神经营养因子、CamKIV:钙/钙调蛋白相关蛋白激酶IV、CREB: cAMP-反应元件结合蛋白、LTM:长期记忆。
人类大脑中有数十亿高度特殊化的神经细胞,它们具有无数突触,形成复杂的回路,利用多种分子和路径来产生和控制主体功能,尤其是记忆的形成。其中一个途径是BDNF-CREB-BDNF循环,它在神经元的发育、生存和海马的可塑性中发挥着关键作用,对学习和记忆的形成至关重要。CAMP反应元件结合蛋白(CREB)是脑源性神经营养因子(BDNF)的下游转录因子。CREB调节与记忆相关的基因表达,促进长期记忆(LTM)的形成。CREB的两种亚型,CREB-1和CREB-2,在海马中高度表达,并通过一个正/负反馈回路分别作为记忆促进和记忆抑制因子拮抗作用。如上图所示,在BDNF循环中,随着BDNF的活性释放胞内Ca2+,激活钙/钙调素相关蛋白激酶IV (CamkIV)。激活CamkIV可使CREB磷酸化并启动基因表达途径,从而导致记忆发育和BDNF更多的表达。乳香的摄入对老年人血清BDNF无影响,但乳香及其成分乙酸皂苷可增加小鼠海马区BDNF的表达。乳香提取物β-乳香酸(boswelic acid) (β-BA)和乳香醇提取物对CREB1和CREB2的表达也具有时间依赖性和剂量依赖性,β-BA对CREB1和CREB2的表达效果更好。另一方面,CAMKIV和CAMKIIα也被报道为乳香的靶向目标,导致记忆改善。作为一种抗氧化剂,乳香酸还可以调节乙酰胆碱酯酶(AchE)、丙二醛(MDA)、谷胱甘肽(GSH)和Reelin级联基因的表达。
阿尔茨海默病(AD)是一种与年龄相关的神经退行性疾病,严重影响记忆和认知功能。大脑中β-淀粉样蛋白(Aβ)聚集产生的细胞外老年斑的存在是阿尔茨海默病(AD)的标志。β-分泌酶启动β-淀粉样蛋白前体(APP)的裂解,产生不溶性Aβ并引起神经毒性。BACE1 (β位点APP切割酶1)是一种I型跨膜天冬氨酸蛋白酶,是受乳香摄入影响的主要β-分泌酶。在大脑中高水平的Aβ和炎症诱导的活性氧(ROS)产生之间存在一个正反馈回路。AD脑内高水平的Aβ促进促炎基因表达和更多ROS的产生,从而促进BACE1的表达和Aβ的产生。Wei等人认为,AKBA可以通过阻止BACE1的表达来降低阿尔茨海默病患者的Aβ斑块负担。这一乳香成分调节核因子红系2相关因子2/血红素加氧酶-1 (Nrf2/HO-1)和NF-κB信号通路,并防止炎症和氧化应激降低BACE1的表达,保护神经元突触免于变性(上图)。乳香能有效降低促炎因子的水平,包括IL-1β、IL-6和TNFα。此外,乳香能够降低AlCl3处理大鼠大脑中APP的表达,可能是通过调节脆弱X智力迟钝(FMR1)基因的表达。综上所述,乳香及其主要成分乳香酸可能通过其免疫调节作用来预防神经退行性变,并通过调节记忆相关基因的表达水平来提高记忆功能。

一种观点认为乳香抗癌作用的分子相互作用。乳香属树的树脂提取物可以防止癌症恶化,改善癌症治疗过程,没有副作用或毒性。为此,它影响细胞周期进程和凋亡通路的重要调节因子。
乳香对脑膜瘤、白血病、肝癌、黑色素瘤和纤维肉瘤、结肠癌、胃癌和脑瘤等多种肿瘤细胞系的细胞抑制和凋亡作用已在多项研究中报道。研究人员认为乳香的抗肿瘤活性主要与乳香酸有关。
3、食醋加工乳香通过调节胆汁酸代谢促进乳香酸的吸收
乳香中的乳香酸是治疗溃疡性结肠炎(UC)的有效抗炎物质,但其低的生物利用度限制了药物的开发。研究表明,乳香醋制工艺对提高乳香成分的吸收有积极作用。其潜在机制尚不清楚。近几十年来,代谢应用领域取得了惊人的发展和多学科整合。药物吸收与疗效的关系已基本确定。然而,药物吸收与内分泌代谢之间的研究仍存在知识空白。从胆汁酸代谢的角度探讨食醋加工对乳香酸吸收的促进作用。采用UC大鼠模型,比较生鲜乳香(RF)和加工乳香(PF)的作用。采用超高效液相色谱-串联质谱(UPLC-TQ-MS)测定血浆乳香酸浓度和肝、结肠胆汁酸含量。比较与胆汁酸代谢相关的mRNA和蛋白水平。结果显示,PF对UC有显著的缓解作用,其作用机制为血浆乳香酸水平升高,肝脏和结肠吸收相关蛋白多药耐药相关蛋白2 (MRP2)和有机负离子转运多肽1B3 (OATP1B3)表达上调。它改善了结肠石胆酸(colonic lithocholic acid, LCA),从而促进胆汁酸核受体组成雄烷受体(stane receptor, CAR)和孕烷X受体(ane X receptor, PXR)的表达,导致MRP2和OATP1B3上调。揭示了食醋加工乳香促进乳香酸吸收的机理。胆汁酸代谢在药物开发中具有潜在的地位。研究结果对代谢和药物吸收领域的跨学科合作具有重要意义。

参考文献
[1] Rashan, Luay & White, Alan & Haulet, Manon & Favelin, Nicolas & Das, Parag & Cock, Ian. (2021). Chemical Composition, Antibacterial Activity, and Antibiotic Potentiation of Boswellia sacra Flueck. Oleoresin Extracts from the Dhofar Region of Oman.
[2] Mansour Miran, Keyvan Amirshahrokhi, Yousef Ajanii, Reza Zadali, Maxwell W. Rutter, Ayesheh Enayati, Farahnaz Movahedzadeh, "Taxonomical Investigation, Chemical Composition, Traditional Use in Medicine, and Pharmacological Activities of Boswellia sacra Flueck", Evidence-Based Complementary and Alternative Medicine, vol. 2022, Article ID 8779676 , 14 pages, 2022. https://doi.org/10.1155/2022/8779676
[3] Liao, Yu-cheng & Wang, Jing-wen & Yang, Qian & Wanga, Wen-jun & Zhao, Chao & Sun, Lian & Wen, Ai-dong & Li, Rui-li & yi, Ding. (2021). Investigating the Mechanism of Action of Frankincense against Drug-Induced Liver Injury Using Network Pharmacology and Molecular Docking. Letters in Drug Design & Discovery. 18. 10.2174/1570180818666210319160217.
[4] Mina Khajehdehi, Mohammad Khalaj-Kondori, Behzad Baradaran. Molecular evidences on anti-inflammatory, anticancer, and memory-boosting effects of frankincense. Phytotherapy Research. 2022;36:1194–1215. DOI: 10.1002/ptr.7399.
[5] Shitao Peng, Zhiqian Song, Chun Wang, Dongrui Liang, Xiaoying Wan, Zhenli Liu, Aiping Lu, Zhangchi Ning, Frankincense vinegar-processing improves the absorption of boswellic acids by regulating bile acid metabolism, Phytomedicine, 2022, 8,153931,doi.10.1016/j.phymed.2022.153931.