新闻动态
News
行业新闻

香精与香料(85)—零陵香 (乐天堂FUN88)

2022年04月12日中外香料香精第一资讯浏览量:0

零陵香(Lysimachia foenum-graecum Hance)是报春花科珍珠菜属植物,又名灵香草 fun88乐天堂,香草,排草和佩兰,在我国主产于四川,湖北,云南,贵州,广东和广西等省区。

中文名:零陵香

Name:Lysimachia foenum-graecum Hance

别名:灵香草. 尖叶子. 驱蛔虫草 乐天堂FUN88. 闹虫草(云南).

科:报春花科

Family:Primulaceae

属:珍珠菜属

香精与香料(85)—零陵香

别名:熏草(《山海经》),燕草(《南越志》),蕙草(《别录》),香草(《开宝本草》),铃铃香,铃子香(《梦溪笔谈》),黄零草(《庚辛玉册》) fun88乐天堂官网,熏香(《本草求真》),陵草(《中药材手册》)。

香精与香料(85)—零陵香

性味:辛甘,温。

归经:入足太阴、阳明经。

入药部位:为报春花科植物灵香草的带根全草。

形态特征:干燥全草,多扭曲不直,呈灰绿至紫棕绿色。表面有纵走线纹及3条棱翘,一侧常生有须状不定根。质脆,易折断,断面三角形,类黄白色。叶互生,有长柄,叶片卵形多皱折,基部楔形具翼,羽状网脉显着,类纸质。有时于叶腋处带有球形蒴果,类白色,果柄细长,长达3,5厘米,萼宿存,果皮薄,内藏多数细小的棕黑色种子,呈立体三角形。根须状,棕黑色。气芳香浓郁,味微苦。以茎叶嫩细、灰绿色、干燥、香气浓、无泥沙者为佳。 乐天堂fun88靠谱吗

《纲目》:“熏草芳馨,其气辛散上达,故心腹恶气,齿痛,鼻塞皆用之,脾胃喜芳香,芳香可以养鼻是也,多服作喘 fun88乐天堂,为能耗散真气也,”其香味,有一丝丝的辛凉,很淡,闻起来有点苦,有点像茶的香味,香气清新自然。

零陵香之名始载于《嘉佑本草》,即《名医别录》之薰草,宋《图经本草》载:"零陵香,今湖,岭诸州皆有之 乐天堂FUN88,多生下湿地,叶如麻,两两相对,茎方气如蘼芜,常以七月中旬开花,至香,古所谓熏草也,或云,薰草亦此也",在中国古代零陵香很早就被当作香料使用了,它的香味充满了回忆味道,闻起来就好像置身于艳阳天下的花香田野,经过专家研究,会具有这种感受是因为零陵香萃取液中包含了大量的香豆素,正是这种成分赋予了许多香料植物的奇妙香味,闻后顿感轻松,这种香味使人的中央神经系统放松,缓解紧张的肌肉——不管是面部的还是背部的,它还可以用来按摩脚部,腿部和腹部,很多人喜欢零陵香,是因为它能辅助人们把负面情绪调整为平静的状态,带着微笑沉浸在这神秘的香氛之中,但是很少人知道零陵香还是许多中药配方不可缺少的组成部分。

零陵香的配伍

①治伤寒,除热,止下利:蕙草二两,黄连四两,当归二两,上三味切,以水六升 fun88乐天堂官网,煮得二升,适寒温,饮五合,日三,忌猪肉,冷水等物,(《范汪方》蕙草汤)。

②治伤寒狐惑食肛者:蕙草,黄连各四两,细切 fun88乐天堂官网是什么,以白酸浆一斗,渍一宿,煮取一升,分三服,(《小品方》)。

③治五色诸痢:零陵香草(去根,以盐,酒浸半月,炒干),每两入广木香一钱半,为末,里急腹痛者,用冷水服一钱半,通了三,四次,用热米饮服一钱半 乐天堂fun88靠谱吗,止痢,只忌生梨一味,(《濒湖集简方》返魂丹)。

④治梦失精:熏草,人参,干地黄,白术,芍药各三两 fun88乐天堂,茯神,桂心,甘草(炙)各二两,大枣十二枚(擘),上九味切,以水八升,煮取三升,分为二服,每服如人行四,五里,一方又有茯苓三两,忌桃,李,雀肉,大酢,海藻,菘菜,生葱,(《小品方》熏草汤)。

⑤治牙疼:零陵香(净洗,软火炙燥),荜拨(洗,锉碎,火杴上炒燥)。上二味等分为末,先以炭一块为细末,揩痛处,连牙床并揩净,以药擦痛处,老人风蚛牙疼,小儿疳牙走马疳等,悉治之。(《百一选方》立效散)

⑥治头风白屑:零陵香、白芷等分。水煎汁,入鸡子白搅匀,敷数十次,终身不生。(《圣惠方》)

⑦治头风旋运,痰逆恶心,懒食:真零陵香、藿香叶、莎草根(炒)等分。为末,每服二钱,茶下,日三服。(《本事方》)

⑧治小儿头热,鼻塞不通:羊髓三两,熏草一两(锉)。上药,于铫子中,慢火上熬成膏,去滓,入瓷器内贮之,日三、四上,以膏摩背。(《圣惠方》)

零陵香的用法用量

内服:煎汤,1.5~3钱;或入丸、散。

外用:研末掺或煎水含漱。

零陵香的功效主治

功效:祛风寒,辟秽浊。

主治:治伤寒、感冒头痛,胸腹胀满,下利,遗精,鼻塞,牙痛。

零陵香的禁忌

①《海药本草》:“得升麻、细辛善。不宜多服,令人气喘。”

②《开宝本草》:“得酒良。”

1、零陵香提取物及其组分的抗氧化活性研究

零陵香(Lysimachia foenum-graecum Hance)是一种生长在中国广西和云南的草本植物,主要被用作香料、杀虫剂和药用植物,干燥的地上部分传统上被用于治疗风湿病、头痛、牙痛和消化系统疾病。前人对零陵香的研究主要集中在其化学性质的研究上。其主要成分为9、12-十八碳二烯酸(9,12-Octadecadienoic acid)、十八碳酸(heptadecanoic acid)和叶绿醇(phytol)。然而,目前还没有关于这一物种的抗氧化和自由基清除活性的可用信息。结果表明,各提取物均表现出不同程度的抗氧化和清除自由基活性。四种方法测定的提取物的抗氧化活性和自由基清除活性依次为乙酸乙酯部位>正丁醇部位>甲醇部位>水部位。该顺序与各部位的总酚和总黄酮含量相似。零陵香提取物可能是一种有价值的抗氧化天然来源,在保健医药和食品工业中都有应用价值。但其提取物中负责抗氧化活性的成分目前还不清楚,对其提取物中的成分,特别是甲醇提取物的乙酸乙酯组分的分离鉴定还有待进一步研究。此外,在其可能的应用之前,需要在实验啮齿类动物模型中彻底研究其体内安全性。

香精与香料(85)—零陵香

2、零陵香银纳米粒子的绿色合成、稳定性及抑菌活性研究

以零陵香提取物(LHE)为原料合成纳米银(AgNPs)。本研究采用去离子水提取中草药零陵香(Lysimachia foenumgraecum Hance),首次成功将零陵香提取物作为还原剂和稳定剂用于绿色合成AgNPs。本研究中使用的LHE浓度范围为0.003 ~ 1.0 wt%。经LHE还原和稳定的AgNPs的水溶胶溶液由于空间稳定效应表现出长期的稳定性。这可以通过zeta电位测量得到证实,其值约为0 mV,表明LHE合成的AgNPs胶体溶液具有空间稳定性。此外,获得的AgNPs胶体溶液对革兰氏阳性菌(金黄色葡萄球菌)的抑菌效果优于氯霉素(阳性对照)。LHE为0.003 wt%的AgNPs对金黄色葡萄球菌的抑菌效果最好,抑菌圈直径为19.08±0.67 mm;这比氯霉素要好。

香精与香料(85)—零陵香

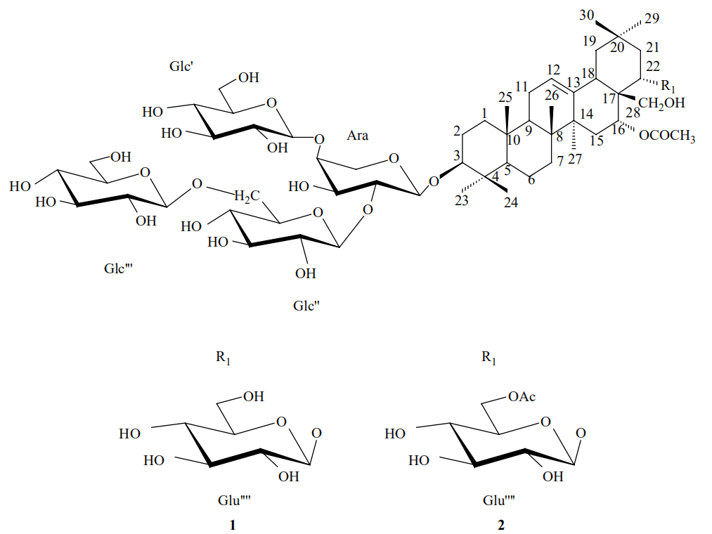
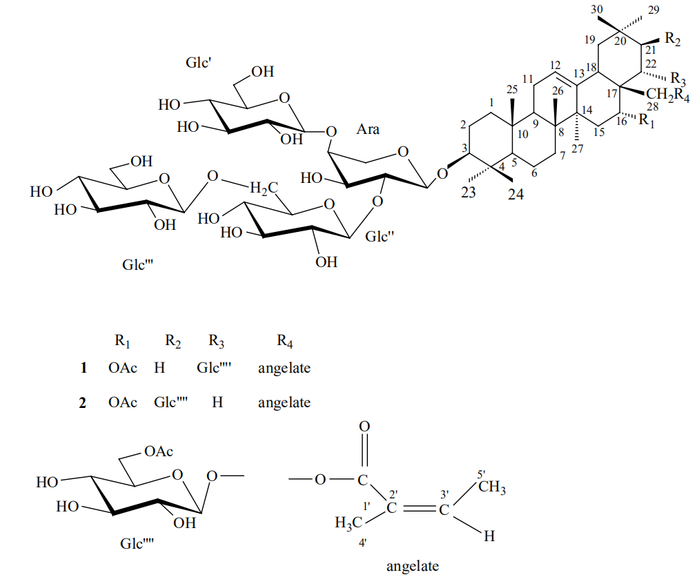
3、从零陵香中提取的两个三萜类化合物

从零陵香植株的地上部分分离得到一种新的齐墩果型三萜皂苷,命名为lysimachiagenoside A(1)和已知的21-O-angeloylbarringtogenol C (2), 21-O-angeloylbarringtogenol C是一种新的天然产物。通过1D-NMR和2D-NMR技术鉴定了这些结构,包括1HZ1H COSY、HMQC、HMBC、TOCSY和ROESY实验以及化学方法。

香精与香料(85)—零陵香

4、从零陵香中提取的两个新三萜类化合物

从零陵香地上部分离得到两种新的齐墩果型三萜皂苷,即lysimachiagenote C(1)和lysimachiagenote D(2)。采用1D和2D NMR技术对其结构进行了表征,包括1H-1H COSY、HMQC、HMBC、TOCSY和ROESY实验以及化学方法。

香精与香料(85)—零陵香

5、从零陵香中提取的两个新三萜类化合物

从零陵香植株的地上部分离得到两种新的齐墩果型三萜皂苷,分别为lysimachiagenote E(1)和lysimachiagenote F(2)。采用1D和2D NMR技术对其结构进行了表征,包括1h - 1h COSY、HMQC、HMBC、TOCSY、ROESY等实验和化学方法。

香精与香料(85)—零陵香

6、零陵香中五种新的三萜苷类化合物及其对花生四烯酸代谢酶的影响

从零陵香的地上部分离得到5个新的齐墩果型三萜皂苷,分别为Foenumosides A(1)、B(2)、C(3)、D(4)和E(5)。利用核磁共振1D和2D技术对其进行了结构鉴定,包括H-H COSY、HMQC、HMBC、HMQC- TOCSY、ROESY实验和化学方法。我们研究了1-5对大鼠和人多形核白细胞的细胞毒性,以及5对花生四烯酸代谢酶的影响。除化合物5外,其余化合物均表现出较高的毒性,其中化合物5显著降低了大鼠腹腔白细胞白三烯B4 (LTB4)的生成,IC50值为74 μM,且对人弹性蛋白酶无抑制作用。在100 μM条件化合物5可抑制环氧化酶-1(COX-1)和 12-脂氧合酶(12-LOX)的活性下,能使12-HHTrE和12-HETE的产量分别降低14%和50%。

香精与香料(85)—零陵香

7、以减少脂肪生成和调节脂质代谢为特征的零陵香的抗肥胖作用

零陵香被认为是具有抗炎作用的东方药物。零陵香提取物(LFE)的抗肥胖作用是我们在筛选抗脂肪生成天然产物提取物库时首次发现的。为了描述其抗肥胖作用并评估其作为一种抗肥胖药物的潜力,我们在体内和体外进行了各种与肥胖相关的实验。在成脂实验中,LFE抑制3T3-L1前脂肪细胞的分化呈剂量依赖性,IC50为2.5µg/ml。此外,LFE可抑制脂肪生成基因的表达,而在体外10µg/ml和体内100 mg/kg/d时可增加脂肪分解基因的表达。LFE的抗肥胖和抗脂肪作用可能是通过抑制PPARγ和C/EBPα的表达,以及抑制PPARγ的活性来介导的。此外,LFE以AMPK依赖的方式刺激脂肪酸氧化。在高脂饮食(HFD)诱导的肥胖小鼠(n = 8/组)中,口服LFE 30、100和300 mg/kg/d显著降低了所有剂量试验小鼠的总体重增加。在空白对照组和LFE处理的HFD小鼠之间没有观察到食物摄入量的差异。LFE处理的HFD小鼠腹腔皮下、附睾和肾周白色脂肪组织的重量显著降低,且呈剂量依赖性。LFE的治疗也大大改善了血清中与肥胖相关的生物标志物水平,如葡萄糖、甘油三酯和脂肪细胞因子瘦素、脂联素和抵抗素。上述结果表明,LFE在体内外对脂肪生成和脂质代谢具有一定的抗肥胖作用,为LFE作为抗肥胖药物的发展提供了可能性。

香精与香料(85)—零陵香

虽然零陵香被用作治疗多种疾病的东方草药,但对肥胖和代谢性疾病的疗效尚不清楚。在本报告中,我们研究了LFE的抗肥胖作用,发现LFE能有效地阻断3T3L1脂肪细胞的成脂和脂肪生成,促进培养的不同组织类型细胞的脂质分解代谢,抑制HFD诱导的肥胖小鼠模型体和脂肪组织的增重。

LFE是在高通量筛选具有抗脂肪作用的天然产物提取物时首次被发现的。各种脂肪生成相关基因表达的降低进一步证实了这一作用(图1D)。有趣的是,LFE抑制了分化脂肪细胞中PPARγ和C/ epp α的表达(图1C),抑制了成熟脂肪细胞的生成(图2A),以及LFE处理的HFD小鼠获得的附睾WATs(图5F)。此外,LFE有效地阻断了罗格列酮(rosiglitazone)诱导的PPARγ的激活(图2B)。与这些结果一致的是,在LFE处理的脂肪细胞中PPARγ靶基因aP2和脂联素的表达也显著降低(图1D)。PPARγ和C/EBPα是肥胖形成和脂肪形成过程中最重要的转录因子。PPARγ的异位表达足以诱导C/EBPα,实现前脂肪细胞向成熟脂肪细胞的分化。虽然C/EBPα最初的诱导依赖于PPARγ,但C/EBPα反过来又被认为能增强PPARγ和许多脂肪细胞分化和脂肪生成所需的特定基因的表达。这种PPARγ和C/EBPα之间的正反馈回路被认为是维持脂肪细胞终末分化状态所必需的。考虑到这些因素的重要性,LFE在体内外可能主要通过抑制PPARγ和C/EBPα来发挥其抗脂肪和抗脂肪作用。

我们的数据显示,在体外和体内,LFE处理可激活AMPK和AMPK依赖的脂肪酸氧化(图4和5G)。作为葡萄糖和脂质代谢的主要调节因子,AMPK在营养应激下协调了一组细胞反应。AMPK的激活可以通过诱导脂质化转录因子PPARγ的表达和抑制脂质化转录因子ADD1/SREBP1c的表达将合成代谢途径转换为分解代谢途径。在这里,我们发现LFE处理引起PPARγ及其下游靶点CPT1和ACO的诱导,以及ADD1/SREBP1c及其靶点FAS、ACC1和SCD1的减少(图3)。考虑到LFE对AMPK激活的刺激作用,LFE可能通过激活AMPK调控关键代谢调节因子PPARγ和ADD1/SREBP1c的表达。

LFE抑制PPARγ、C/EBPα和ADD1/SREBP1c的机制很有趣。据报道,AMPK激动剂氨基咪唑氨甲酰核糖核苷酸(AICAR)通过下调PPARγ、C/EBPα和ADD1/SREBP1c抑制脂肪细胞分化,提示LFE在成熟脂肪细胞中通过激活AMPK间接抑制这些转录因子的表达。也称,AICAR诱发KLF2表达阻遏PPARγ基因的激活,使小鼠胚胎干细胞和成纤维细胞的合成受到抑制,随着这一事实AMPK作为上游的正调节剂调控p38 MAPK和38 MAPK通过磷酸化PPARγ来抑制其转录活动。这些报道表明IFE诱导的AMPK激活和AMPK介导的PPARγ转录活性抑制之间可能存在联系。

肥胖个体血中高水平的瘦素分别通过作用于胰腺和肝脏引起2型糖尿病和肝脂肪变性的糖耐量。另一方面,脂联素(adiponectin)被认为在抑制2型糖尿病和肥胖方面发挥作用。LFE治疗HFD诱导的肥胖模型,不仅能阻断肥胖,还能恢复正常血脂因子瘦素、抵抗素、脂联素及甘油三酯、葡萄糖水平(图6),提示LFE对其他代谢性疾病有有益作用。与此一致,我们还发现LFE显著减轻了HFD小鼠的脂肪肝症状(数据未显示)。有趣的是,LFE已经被证明具有抗氧化和抗炎活性。众所周知,慢性疾病如代谢性疾病和心血管疾病与氧化应激和炎症有关,LFE的抗氧化和抗炎活性及其抗肥胖作用可能进一步有助于改变代谢性疾病,如肥胖、糖尿病和肝脏脂肪变性。

综上所述,本研究首次显示了零陵香的抗肥胖作用。LFE能有效阻断体外脂肪生成和脂肪生成,并能有效阻断HFD诱导的肥胖模型中全体和脂肪组织的增重。LFE作用的机制至少部分涉及AMPK的激活和PPARγ和C/EBPα的抑制。虽然LFE的确切作用机制和活性成分还有待进一步阐明,但LFE为肥胖和其他代谢疾病提供了新的治疗潜力。

参考文献

[1] Li, H., Hao, Z., Wang, X., Huang, L., & Li, J. (2009). Antioxidant activities of extracts and fractions from Lysimachia foenum-graecum Hance. Bioresource technology, 100 2, 970-4.DOI:10.1016/j.biortech.2008. 07.021

[2] Chartarrayawadee, Widsanusan, Charoensin, Phattaraporn, Saenma, Juthaporn, Rin, Thearum, Khamai, Phichaya, Nasomjai, Pitak and On Too, Chee. "Green synthesis and stabilization of silver nanoparticles using Lysimachia foenum-graecum Hance extract and their antibacterial activity" Green Processing and Synthesis, vol. 9, no. 1, 2020, pp. 107-118. https://doi.org/10.1515/gps-2020-0012

[3] Xiang-Ri Li, Zhi-Meng Li, Shu-Shan Du, Gang-Li Wang & Rui-Chao Lin (2009). Two triterpenes from Lysimachia foenum-graecum, Journal of Asian Natural Products Research, 11:2, 128-131, DOI: 10.1080/10286020802573859

[4] Xiang-Ri Li, Zhi-Meng Li & Rui-Chao Lin (2009). Two new triterpenes from Lysimachia foenum-graecum, Journal of Asian Natural Products Research, 11:6, 529-533, DOI: 10.1080/10286020902930884

[5] Xiang-Ri Li, Bin Xin, Gang-Li Wang, Zhong Dai & Rui-Chao Lin (2010). Two new triterpenes from Lysimachia foenum-graecum, Journal of Asian Natural Products Research, 12:3, 204-208, DOI: 10.1080/10286020903523258

[6] Yun-HengShen, Zhi-Ying Weng , Qin-Shi Zhao, Yue-Qin Zeng, José-Luis Ríos, Wei-Lie Xiao,Gang Xu, Han-Dong Sun. Five New Triterpene Glycosides from Lysimachia foenum-graecumand Evaluation of their Effect on the Arachidonic Acid Metabolizing Enzyme. PlantaMed 2005; 71(8): 770-775. DOI: 10.1055/s-2005-871289

[7] Seo, J., Choe, S., Jeong, H. et al. Anti-obesity effects of Lysimachia foenum-graecum characterized by decreased adipogenesis and regulated lipid metabolism. Exp Mol Med 43, 205–215 (2011). https://doi.org/10.3858/emm.2011.43.4.025

关联香精

服务热线

177-5061-9273

添加微信咨询

添加微信咨询