<b lang="xX614Lb"></b>
新闻动态
News
行业新闻

香海拾贝(4)—2000-2020的香气流行趋势

2022年04月27日中外香料香精第一资讯浏览量:0

什么是流行的 fun88乐天堂,什么不是:过去20年中香气分子化学的发展趋势.

Nicolas Armanino, Julie Charpentier, Felix Flachsmann, Andreas Goeke, Marc Liniger, and Philip Kraft

Givaudan Schweiz AG, Fragrances S&T, Ingredients Research, Kemptpark 50, 8310 Kemptthal, Switzerland.

香海拾贝(4)—2000-2020的香气流行趋势

Nicolas Armanino 于 1985 年出生于巴西。他毕业于苏黎世联邦理工学院,在那里他还获得了与 Erick M,Carreira 一起研究金属催化烯烃官能化的博士学位。然后,他在慕尼黑的 LMU 进行了博士后研究,与 Dirk Trauner 教授合作研究真菌聚酮化合物的全合成。 2016 年,他加入了位于杜伊本多夫的奇华顿香精研究中心,致力于发现新的香料成分。 fun88乐天堂官网是什么

香海拾贝(4)—2000-2020的香气流行趋势

Julie Charpentier 于 1987 年出生于卢森堡,在洛桑 EPF 和斯坦福大学与 Jerome Waser 和 Barry M 乐天堂fun88靠谱吗,Trost 一起完成了本科教育。在诺华医药化学行业实习后,她在苏黎世联邦理工学院获得博士学位,在 Antonio Togni 小组工作。2016 年,她加入奇华顿从事有机氟香料材料开发的博士后研究,之后担任目前的研究科学家职位,香料成分发现小组的骨干成员。。

香海拾贝(4)—2000-2020的香气流行趋势

Felix Flachsmann,1968 年出生于瑞士,在获得苏黎世大学有机化学学位后,他在日内瓦大学和马尔堡大学跟随 Wolfgang Oppolzer 和 Paul Knochel 攻读有机金属化学博士学位,作为斯克里普斯海洋研究所 William Fenical 小组的博士后研究员,他开发了抗炎假珊瑚素的合成类似物,自 2000 年以来,他一直是奇华顿发现团队的一员 fun88乐天堂,专注于香水前体和新气味剂的开发,他是弗里堡大学和苏黎世大学生物有机化学的指定讲师。

香海拾贝(4)—2000-2020的香气流行趋势

Andreas Goeke 于 1964 年出生于德国,在伍珀塔尔大学,马尔堡大学和海德堡大学学习化学,并于 1994 年在 Günter Helmchen 获得了“茉莉素天然产物的合成”的博士学位,继京都大学对映选择性过渡金属的博士后1997年加入奇华顿,师从Yoshihiko lto和牛津大学催化领域,2005年被分配到上海成立研究部,自 2010 年以来,他一直在香水科技中心领导探索小组,该小组的主要目标是使用专有的标志性气味剂丰富调香师的调色板 乐天堂FUN88,从而提高可持续性,性能和享乐特征。

香海拾贝(4)—2000-2020的香气流行趋势

Marc Liniger 1985 年出生于瑞士。他在巴塞尔大学学习化学,并在 Andreas Pfaltz 获得硕士学位。 2009年开始在苏黎世联邦理工学院攻读博士学位,师从Karl-Heinz Altmann全合成抗肿瘤天然产物(根瘤菌素WF-1360F)。2013年获得瑞士国家科学基金会博士后奖学金,加入加州理工学院的 Brian M fun88乐天堂官网, Stoltz 小组致力于连续钌催化和扭曲酰胺的全合成。自 2015 年以来,他一直是奇华顿新香料成分发现小组的研究科学家。。

香海拾贝(4)—2000-2020的香气流行趋势

菲利普·克拉夫特(Philip Kraft),1969 年出生于德国,在基尔大学获得文凭和博士学位,在 Wemer Tochtermann 大环麝香研究小组工作,1996 年,他加入奇华顿当时在杜本多夫的香精研究中心,并在2001 年晋升为首席化学家,2008 年晋升为组长,自 2015 年起,他担任发现小组的研究员,特别关注新气味剂的合理设计和合成,分子建模和结构-气味关系 fun88乐天堂官网是什么,为了让更广泛的科学界了解香料化学这个迷人的主题,他共同组织了皇家化学学会和 Gesellschaft Deutscher Chemiker 的香料和香料会议,并在苏黎世伯尔尼大学和 ETH 讲授香料化学。

8.木质香气香气分子

8.1干净、凉爽、有治疗作用的广藿香

尽管广藿香油似乎是嬉皮士时代的过时遗物,但它仍然像20世纪60年代一样必不可少,每年1600-1800吨,[174]广藿香油是除柑橘油外最常用的精油,其独特的气味,以完美平衡的樟脑,木质香和泥土香为特征香气,是所有香水家族不可或缺的,由于橡树的使用限制,今天的广藿香定义了“Coco Mademoiselle”(香奈儿,2001)中独特的西普香熏 乐天堂fun88靠谱吗,其中使用了约3%的广藿香油,香奈儿甚至用12%的广藿香精油制作了这款“Intense”(2018)香水,到目前为止,其嗅觉的复杂性和诱人的价格阻止了合成广藿香香气分子的引入,经过一场激烈的历史性辩论,[175,176]这两种广藿香醇对映体的立体选择性合成[177]确立了(–)-广藿香醇(206)作为广藿香油的香气原理,只有少量(+)-或广藿香烯醇(207)[178]的贡献,且几乎没有或四广藿香醇(208)的影响,[179]含量为25–45%的(–)-广藿香醇(206)是主要成分,可通过分馏蒸馏分离和结晶得到,这样的品质是Monique Rémy实验室的“Healingwood”。

香海拾贝(4)—2000-2020的香气流行趋势

图19 fun88乐天堂,广藿香油206–208的天然香气分子、高浓度的广藿香羟基酮209,其弱核心骨架1-羟基-1-甲基螺环[4,5]癸烷-2-酮(210)和环反转类似物211,以及具有广藿香香气的两种羟基四氢呋喃212和213。。

在羟基酮209中发现了一种高效的广藿香气香气分子(阈值 0,027 ng/L空气),它以0,15–0,9%的比例形成,是Nazarov环化反应的副产物,[180,181]值得注意的是,Me2C-7的轴向甲基取代基与C-1的羟基和甲基之间的原子间距离很短,导致了极端的空间拥挤(图19)。J 乐天堂FUN88,E, Amoore已经发现一个有球形位阻效应的副产物具有樟脑香气,[182]并且甲基甲醇官能团似乎是广藿香气的结构要求。去除高效的广藿香香气分子209中的立体结构单元,露出其核心骨架210,只会产生微弱的果香和花香(阈值 63,5 ng/L空气)。在211的设计中,210的螺旋环系统被倒置,展示了樟脑、木质气和泥土的特征香气。[183]对于在空气介质中17,2 ng/L的识别阈值,211的气味阈值也相当高。然而,双功能供体或受体单元可以传递特征性的广藿香香气,如与茶螺烷相关的四氢呋喃醇212[184]和213(图19)所示。[185,186]这种结构通常与黑醋栗的果味有关(见上文)。。

酮醇209在(–)-广藿香醇(206)上的叠加表明偕二甲基可以被羰基取代。这一点已被青香香气分子环醛碳的全合成所证实,其具有分子内Prins反应(方案23)。目标结构220实际上也是一种有着木香、泥土香的广藿香香气分子,其强度(阈值 2 fun88乐天堂官网,1 ng/L空气)与(–)-广藿香醇(206)相似。[187]在没有注意到220的嗅觉特性的情况下,它已经被描述为外消旋(±)-广藿香醇(rac-206,方案23)全合成的中间体。[ 188]。

香海拾贝(4)—2000-2020的香气流行趋势

方案23,环醛C(214)合成广藿香羟基酮220并转化为外消旋广藿香醇(rac-206)。 fun88乐天堂官网是什么

(–)-广藿香精油(206)的泥土香气导致了另一种叠加分析,揭示了土臭素类型的修改。206和脱羰基211的叠加表明顺式十醇223的合成具有一些广藿香香气。[189]然而,由于缺少泥土气息,这通常是硅烷化合物的一个属性,因此环系统被打开,中心的四元碳原子被硅烷取代。由此产生硅的开环结构224具有一种广藿香气味,阈值为1ng/L空气。[190]二环丙基甲基衍生物225已经改善了嗅觉特性,但三环丙基结构226的效力最高,空气浓度为0,14 ng/L[190],这可以通过其在206上的良好叠加来解释。Carba的类似物227气味也属于广藿香,但其阈值为0 乐天堂fun88靠谱吗,33ng/L,比226弱得多。。

香海拾贝(4)—2000-2020的香气流行趋势

图20,过去20年中发现的其他新型广藿香香气分子概述。 fun88乐天堂

四甲基取代三环[3,3,1 乐天堂FUN88,02,7]壬-6-酮228(图20)可通过分子内光环化或路易斯酸催化的[2+2]-环加成6-(2',3'-二甲基-2'-烯-1'-基)-2,6-二甲基环己-2-烯-1-酮获得,并具有非常自然的木香和广藿香气味。[191]然而,由于阈值为32ng/L太弱,而无法引入。Patchwood(229)[192]是为数不多的商用广藿香人工合成品之一。它是由月桂烯和丙烯醛的Diels–Alder加合物与甲酸和磷酸环化[193],然后酸催化重排[194]形成的,例如,它被用于“Polo Ultra Blue”(Ralph Lauren,2018)。另一种商用广藿香香气分子是Coolwood(230图20),[195]由甲基环戊二烯二聚体合成,在“The One Mysterious Night”(D&G,2018)中的含量为0,1%。。

香海拾贝(4)—2000-2020的香气流行趋势

方案24,通过大肠杆菌生物发酵生产Clearwood。 fun88乐天堂官网

由于(–)-广藿香醇(206)的完全合成永远无法与天然油的价格和嗅觉复杂性竞争,因此提出了一种生物技术替代品:Clearwood[196],香水行业的第一种替代品,如方案24所述,它由广藿香醇合酶通过大肠杆菌细胞发酵产生,该合酶将(2Z,6E)-法尼基焦磷酸[(2Z,6E)-232]转化为(–)-广藿香醇(206),该工艺不提供纯倍半萜206,而是精油中的萜烯混合物,因此,Clearwood被认为拥有“新鲜广藿香的所有高贵气味”,但它很容易与天然广藿香油区别开来,因为它的樟脑香气 fun88乐天堂官网是什么,木质气,泥土香气,辛辣感和皮革的特征香气不太明显,这是由于通过不同发酵过程干燥和储存叶子时形成的微量成分导致,在广藿香醇的这些伴随成分中,2-甲基异龙脑(231,图20)已被确定为关键的高强度香料,通过向Clearwood中添加含有231的互补混合物,可以重现广藿香油的真实香气和嗅觉印象,[197]Coolwood(230)与231在结构上有一些相似之处,正如所料,它与231有着樟脑般的泥土特征香气。

8 乐天堂fun88靠谱吗. 2类固醇、动物、木质香气:檀香醇和特木倍醇.

天然檀香油是一种珍贵而稀有的香水成分,它具有令人愉悦的木质香气,奶香,乳糖香气,带有尿酸和动物香气,让人想起5α-雄甾-16-烯-3α-醇的气味,[198]几十年来,合成其关键气味分子之一,(-)-β-檀香醇(檀香油中238,20–25%)一直是一个挑战,[199]2009年,Fehr等人从富含对映体的烯烃233(91%ee,方案25)中完成了(-)-β-檀香醇(238)的温和对映选择性合成,最初通过4步不对称Diels–Alder反应与热解得到,[200,201]化学计量的路易斯酸介导的233与TMS保护的丙炔234的烯基反应在保护被移除时产生丙炔醇235,然后,它作为化学和表面选择性催化环异构化或裂解反应[202]的关键底物 fun88乐天堂,导致不饱和醛236,236的区域选择性加氢,然后进行高度(Z)选择性的改性Wittig反应(Z/E 97:3),完成了(-)-β-檀香醇(238)(97%ee)的对映体富集合成,[200]。

香海拾贝(4)—2000-2020的香气流行趋势

方案25 乐天堂FUN88, Fehr对映选择性全合成(-)-β-檀香醇(238)。[200]。

对于工业上可行的路线,关键的挑战是高效引入(Z)构型的高选择性烯丙醇侧链。这是由Birkbeck[203,204,205]和Fehr[206,207]通过三氟铝介导的檀香萜烯(239)与二乙酸二烯酯240的Scriabine型偶联实现的,以优异的外选择性来一步反应得到69%的产率烯醇乙酸241(方案26)。[203]然后,该中间体241在顺丁烯二酸的催化量(88%产率,Z/E 98:2)存在下,使用阳离子钌络合物直接用作(Z)-选择性1,4-氢化[206,207]的底物。[206]在甲醇钠的存在下,通过乙酸烯丙酯基的脱保护,分三步从檀香烯(239)中反应得到86%产率的外消旋β-檀香醇(238)。[203]在化学合成檀香醇的同时,人们对以糖为原料合成檀香萜烯、檀香醇甚至发酵檀香油的生物化学路线也很感兴趣。Bohlmann及其同事率先从檀香树(Santalum album)中分离和克隆了第一批萜烯合成酶[208、209、210]和P450[211、212]。檀香萜烯合成酶(SaSSy)在大肠杆菌中的表达使法尼基焦磷酸盐(232)能够在体内转化为β-檀香萜烯(242),以及α-檀香萜烯、α-外香柠檬烯和外-β-檀香萜烯(方案26)。[209]然后在体外用来自酿酒酵母微粒体的P450单加氧酶将该萜烯混合物242氧化为(-)-β-檀香醇(238),作为次要成分,以及其他氧化萜烯。[211]

香海拾贝(4)—2000-2020的香气流行趋势

方案26.最先进的化学合成[203,206]和生化合成[211]檀香醇,用于发酵檀香油。PP=二磷酸。

在Bohlmann研究的同时,工业研究[213、214、215]共同开发了该领域,并在过去几年中进一步加强了这一领域。[216,217,218]挑战在于在单个生物体中共同表达单独步骤的酶,即法尼基焦磷酸(FPP)合酶、檀香萜烯合酶、细胞色素P450檀香萜烯氧化酶和P450还原酶。事实证明,这在工程酿酒酵母细胞[212]和大肠杆菌[214]中是可能的。2020年,以Dreamwood的名义,在檀香萜烯和香柠檬醇的混合物中进行发酵得到衍生物238。[219]

香海拾贝(4)—2000-2020的香气流行趋势

方案27. 描述了20世纪70年代Timberrol(245)的合成及其立体异构体的概述。[220]

另一种具有类固醇嗅觉含义的重要木质香气的是Timberol (245),1978年首次获得专利(方案27)。[220]将柠檬醛与戊烷-2-酮缩合成假紫罗兰酮衍生物243,然后酸催化环化成244,并完全还原成饱和醇245。[220]例如,Timberol最近在“CH Insignia Men”(Carolina Herrera,2018)中的使用率为4.5%,在“First Instinct Extremefor Men”(Abercrombie&Fitch,2018)中的使用率为4.3%。

表1. 不同品质特木倍醇(Timberrol)和赛木香醇(Norlimbanol)的异构体分布和气味阈值(th)。

香海拾贝(4)—2000-2020的香气流行趋势

香海拾贝(4)—2000-2020的香气流行趋势

如今,特木倍醇Timberol(245)含有23%的反式异构体246和66%的顺式异构体247(表1,方案27)。反式异构体246是木香-类固醇香、粉脂气的主要来源,而顺式异构体247是弱花香。[221]特别是,(1'R,3S,6'R)-异构体246a是主要的气味分子[222],而(1'R,3S,6'R)-异构体246b的贡献较小。

香海拾贝(4)—2000-2020的香气流行趋势

方案28. 赛木香醇Norlimbanol246a最有效(1'R,3S,6'S)异构体的对映选择性合成。

第一个对映选择性合成最有效(1'R,3S,6'S)构型的异构体246a于2004年发表(方案28)。[222]将(S)-香茅醛(248)环化,然后还原、对甲苯磺酰化并用KSPh取代,得到硫醚250,其进一步氧化为砜251。(S)-2-丙氧基环氧乙烷(252)与锂化砜251的环氧化物开环反应,在用萘酰锂(1'R,3S,6'S)-异构体246a以99%de和大于99%ee处理后提供。[222]

多年来,市场上出现了许多不同品质的 Timberol(表1),其中外消旋体246(47%–48%)的数量不断增加,如Norlimbanol[ 223 ,224 , 225 ]、Nimberol和Karmawood,最近甚至出现了富含(3S)的手性化合物,如右旋Dextramber和 Norlimbanol Dextro[222],它们含有高达90–93%的强反式-(3S)异构体246a/b。

8.3带有琥珀香气的木香香气分子:龙涎酮和有抱负的替代者

龙涎酮(254,图21)[226]是最重要明显的木质琥珀香气的填料之一,因此广泛存在于所有类别和部分的香水中。全世界每年的消耗量超过数千吨,由于其有限的生物降解性,导致地表水中的可检测量变少。[227]由于龙涎酮的潜在环境影响,它最近在2019年受到了美国环境保护局的审查。虽然龙涎酮的生态风险似乎仍然可以忽略,[228]寻找替代品是很重要的。

香海拾贝(4)—2000-2020的香气流行趋势

图21. 龙涎酮组分254、255和Iso Gamma(257)以及Georgywood (256)的概述。

1990年,人们发现龙涎酮中的主要异构体254只有微弱而模糊的气味(th 500 ng/L空气),而外消旋体255(th 0.005 ng/L空气)中5%的杂质(被称为“龙涎酮Plus”)是主要的气味分子。[229,230]2004年,Hong和Corey合成了255的两种对映体,并发现(+)-(1R,2R,8aS)-255具有强烈的木质气味,因此被称为龙涎酮(arborone),而其对映体(−)香气较弱。[231]合成从恶唑啉催化的丁二烯(52)和2-甲基-2-烯醛(258)的对映选择性Diels–Alder反应开始,以提供88%ee的手性醛260(方案29)。随后氧化为羧酸和碘内酯化/消除提供了γ-内酯261,然后在内酯打开和侧链引入后将其转化为酮醛262。分子内酸催化的羟醛缩合反应得到263,其对甲苯磺酰腙与邻苯二酚硼烷还原成一种中间二嗪,经N2挤压得到264。氧化还原操作和甲基格氏加成在15个步骤中完成了龙涎酮[(+)-255]的合成。[231]

香海拾贝(4)—2000-2020的香气流行趋势

方案29. Hong和Corey对映选择性合成了强大的arborone[(+)-(1R,2R,8aS)-255]。[231]

虽然龙涎酮Plus[(±)-255]是在相当长的一段时间前发现的,但还不可能在工业规模上选择性地合成它。取而代之的是,开发出了气味阈值为0.03ng/L空气的强效Georgywood(256),并与Belambre(313)和Akigalawood(见上文)一起出现在“Genetic Bliss”(2018年)中。Georgywood(256)的气味也主要是由于一种对映体被指定为(−)-(1R,2S)-通过光学拆分进行合成(th 0.02ng/L空气,图21)。[232]Hong和Corey报道的对映选择性合成证实了绝对立体化学。[231]与强大的(+)-(1R,2R,8aS)-255 arborone异构体相比,值得注意的是,在 Georgywood的气味分子中,与乙酰基相邻的立体基因中心是倒置的[(−)-(1R,2S)-256,图21]。

表2. 市场上不同品质龙涎酮的异构体比率。

香海拾贝(4)—2000-2020的香气流行趋势

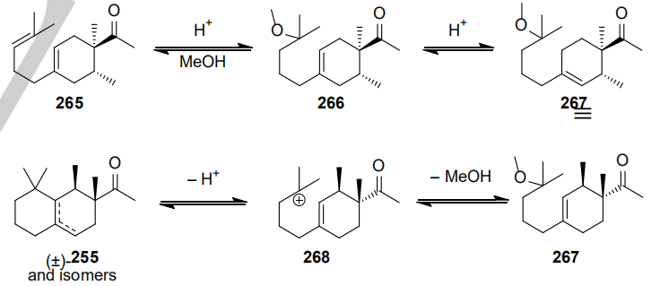
2001年,Orbitone被注册为商标。它含有2.5%的龙涎酮Plus[(±)-255](表2)。例如,“Orb_ital”((Nomenclature,2015年)中就使用了它。市场上出现了不同品质的浓缩龙涎酮(表2),而不是纯龙涎酮(255)。千禧专用化学品率先申请专利,通过Diels–Alder 反应得到中间体 265(方案30),之后在环化过程中使用磷酸和甲醇,将龙涎酮(255)含量浓缩至9.2%,几乎是原始龙涎酮质量的两倍。从机理上讲,向酮265中添加甲醇将为266至267的烯烃异构化提供时间,后者随后环化为龙涎酮(255)及其双键异构体(方案30)。[233, 234]

香海拾贝(4)—2000-2020的香气流行趋势

方案30. 龙涎酮的一项制备过程和龙涎酮 Plus[(±)-255]有更高含量的拟议理由。[233,234]

Belk后来申请了龙涎酮质量专利,其中含有15–30%的异γ异构体257(图21)。[235]异 Gamma Super是标志性香水“molecule01”(Escentric Molecules,2006)的唯一成分。此外,还引入了添加了龙涎酮的优质产品Timbersilk,其中含有0.07%的琥珀Xtreme(425),以及8.5%的龙涎酮(255)和13.5%的异 γ异构体(257,表2)。最近,Sylvamber以迄今为止最高的14.9%的龙涎酮含量上市。

香海拾贝(4)—2000-2020的香气流行趋势

方案31. Casmirone(272)的工业合成。[236]

最近,Casmirone(272)作为一种香水[236]和除臭成分被引入市场(方案31)。[237]它很容易由廉价的环十二碳三烯(269)通过环氧化和开环反应制备,以提供几乎完全具有木质香气、芳香、麝香气味的(E,E)-酮271。[236]然后用硝酸水溶液将双键异构化,以64%(4E,8E)-、23%(4E,8Z)-和12%(4Z,8E)-构型异构体的混合物形式提供Casmirone(272)。除了木本的芳香气味,这种混合物还有青香香气,更芳香,更有泥土气息,更像香根草。[236]Casmirone(272)易于生物降解(71%,28天),这在木本植物中很少见,因此在未来可能成为重要的木本原料。

8.4香根草:从Khusimone 到Zizaenones

通过将新鲜的葡萄柚大头草和一种特有的柔和且甜美的木质香气与干燥琥珀香气相结合,香根草油在香水中构成香味的过程可以用无数种方式来解释。它甚至还带有泥土-蔬菜的气息,如“萝卜香根草”(Comme des Garçons,2019)中所示,含有20%的香根草油。在“为爱而做”(Kilian,2018)中,使用了同样高剂量的香根草油,这证明了香根草油不仅限于男性香水。香根草油是通过对香根草(Chrysopogon zizanioiides(L.)Roberty)的根部进行水蒸汽蒸馏生产的,其全球消费量约为300-400吨/年。[238,239]

香海拾贝(4)—2000-2020的香气流行趋势

图22.香根草油的重要香气成分包括葡萄柚、大黄香气分子273–275、檀香或雪松木材料276和木质琥珀香气化合物277–280,这些成分提供了典型的香根草特征。

大多数对精油整体特性的贡献是众所周知的。例如,葡萄柚-大黄部分来源于α-香根酮(273)、β-香根酮(274)和诺卡酮(275)。泥土香气是由(–)-geosmine形成的,奶油感的特征香气源于(E)-isovalencenol(276)。最近,一种生产香根草油倍半萜混合物的生物技术工艺也被提出。[240]然而,人们仍然不了解典型的木质香根草特征香气。文献中唯一相似具有这种特征的成分是khusimone(277),在油中的含量高达2%(图22)。[241]

基于香根草特有香气分子的数量相当有限,其中意外发现了螺环香气分子282,[242]在距离α-取代羰基渗透载体5.0±0.5Å处的四元碳的重要性导致了“香根草规则”的提议。库西莫内(277)和大多数文献中的香根草香气分子都满足了这一设计规则。[243]然而,剖析了277的亚甲基和偕二甲基单元之间的键,得到了花螺环酮281,从而推翻了这一规则(th 42.0 ng/L空气)。[244]Belhassen等人[245]最近报道,ziza-6(13)-en-3-酮(278)和2-表-ziza-6(13)-en-3-酮(279)构成香根草油的主要气味载体,ziza-6(13)-en-3α-醇(280)辅助。没有报道阈值数据,但二烯酮283具有木质香根草气味。这些zizaenones符合香根草规则的要求(图23);然而,一个开环结构284,其中二烯酮基序被保留,疏水体被一个苯环模仿,结果只闻到微弱的木质气味(th 120 ng/L空气)。[246]为了揭示香根草香气分子的气味原理,以确定zizaenone 的嗅觉特性,278–280的全合成仍然是一个挑战。

香海拾贝(4)—2000-2020的香气流行趋势

图23. 香根草规则推导及其在 khusimone(277)和zizadienone(283)开环结构281和284设计中的应用。

除了香根草油,乙酸香根酯是非常重要的,尽管它的成本很高。它是由香根草油的酒精部分乙酰化而成。Antoniotti等人最近报道了一种脂肪酶催化的酰化反应,以替代严酷的化学条件(H3PO4存在下的Ac2O)。[247]虽然khusimyl acetate是香根草酯的主要成分,但其主要气味分子被称为norziza-2a-yl acetate(285,图24)。[248,249]最近,Duñach研究小组[250]报告了香根草气味的螺旋氧化物286和287,它们来自廉价的檀香木香气组分(R)-樟脑烯醛,但具有高的气味阈值,分别约为50ng/L空气和15ng/L空气。

香海拾贝(4)—2000-2020的香气流行趋势

图24.其他重要的香根草香气分子包括商业垄断的Vetyvalone(288)和Wolfwood(289)以及Epivone(290)。

第一种真正合成的香根草香气分子是最近引进的Vetyvalone(288),[251]具有复杂的木质香根草特征,气味阈值为11ng/L空气(图24)。然而,也有以发明者Wolfgang Giersch[252]命名的Wolfwood(289),在“Mugler Cologne”(Mugler ,2001)和“Aura”(Mugler,2017)中被广泛使用,以及Epivone(290),就是5-表-β-香根酮(290),是通过酵母发酵技术通过(–)-premnapirodiene[253]将其烯丙基碳氧化为羰基功能从葡萄糖中产生的,具有独特的香根草香气。

8.5在老虎眼中:香水中的香薰

尽管乳香(Boswellia spp.的树胶树脂)已经被使用了数千年并进行了大量的分析研究,但还没有发现一个单一的分子能传递其典型的气味。然而,在一个不相关的研究背景下,2008年发现了一种有效且持久的乳香和“老教堂”状化合物:2-甲基十一酸的气味(291,图25)。这一发现更令人惊讶,因为其他C12–C14羧酸只表现出微弱的蜡味。化合物291于2009年被命名为Mystikal(291)[254],并在“La Fin Du Monde” (État Libre d’Orange,2013)中出现。据报道,Mystikal(291)是多种来源的天然产物,尤其是在雄性孟加拉虎(Panthera tigris tigrisL.)的区域标记液中以外消旋形式存在。[255]在发现Mystikal(291)八年后,Cerrutti Delasalle等人[256]确定了乳香主要气味活性成分的结构,并将其命名为顺式-(292)和反式乳香酸(293)。有趣的是,这两种化合物可以被视为Mystikal的构象受限类似物。乳香中的乳香酸(292/293)浓度低于GC和LCI仪器的检测限,因此必须通过嗅觉来监测乳香酸(292/293)的分离和纯化。这可能就是为什么他们这么多年来一直被忽视的原因。

香海拾贝(4)—2000-2020的香气流行趋势

图25. Mystikal(291)和乳香酸292、293。

9.   琥珀香型

9.1降龙涎香醚,优级降龙涎香醚和Z11

降龙涎香醚是最有价值的香水成分之一,因为它的精致,明亮和持久的琥珀香气。它在"Sauvage"(Christian Dior,2015)中占有突出地位,甚至在"Molecule 02"(Escentric Molecules,2008)中作为单组分溶液出售。它最初是在对鼠尾草(Salvia sclarea L.)成分进行化学转化后发现的[257],后来被确定为龙涎香酊剂的关键香气分子。[258 ]降龙涎香醚(296)传统上由不同的公司从一种从鼠尾草中分离出来的二萜二醇,(–)-香紫苏醇(294)半合成而得,以>100吨/年的组合规模生产。

香海拾贝(4)—2000-2020的香气流行趋势

 

方案32.由香紫苏醇合成降龙涎香醚

在过去的几十年里,一些生物技术发现导致这种昂贵材料有了的替代制造路线。Avoca是(+)-香紫苏内酯(295)的主要生产商,通过白色隐球菌的生物催化过程将(-)-香紫苏醇(294)的化学氧化替换为(+)-香紫苏内酯(295)。香紫苏醇直接转换为香紫苏二醇,一种跟高级的中间体296,受Hyphozyma roseonigra的影响,但这种微生物对(-)-香紫苏醇的抗菌活性耐受性较低(294)。[260]

香海拾贝(4)—2000-2020的香气流行趋势

方案33.有关香紫苏醇到香紫苏内酯或香紫苏二醇的微生物转换

以生产独立于植物源材料的296为目标,将香紫苏醇的生物遗传学途径转移到大肠杆菌中。作者已经证明,香叶基香叶基二磷酸(GGPP)的生物合成涉及两种二萜环化酶(方案34)。相应的基因在大肠杆菌菌株中功能性表达,该菌株经过基因改造,用于GGPP的过量生产,从而允许在1.5g / L时产生(-)-香紫苏醇(294)。基于这些结果,在酵母中开发了一种工业发酵工艺,这导致了一种名为优质降龙涎香醚的降龙涎香醚新品(Ambrox Super不要与"Superambrox"混淆,[262] 5(6)-脱氢-降龙涎香醚)。

香海拾贝(4)—2000-2020的香气流行趋势

 

方案34.在大肠杆菌中设计的(-)-香紫苏醇(294)生物遗传途径。GGPP=香叶基基二磷酸;SsLPS:鼠尾草二磷酸合酶;SsScS:鼠尾草素合酶。

方案34中途径的轻微变化导致了(+)-泪杉醇(299)的发酵过程,[263]这是强力的琥珀香型化合物琥珀酮(300)的起始材料。传统上,泪杉醇是从新西兰黄松树的枯木Halocarpus biformis(Hook.) C. J.Quinn中提取出来的,这个新工艺应该可以克服供应限制。

香海拾贝(4)—2000-2020的香气流行趋势

方案35.在大肠杆菌中生产(+)-泪杉醇并将其转化为琥珀酮(300)。SmCPPS=丹参椰酰二磷酸合酶;其他缩略语见方案34。

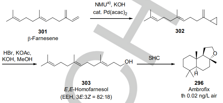
龙涎呋喃(296)的另一种创新方法涉及利用角鲨烯-霍普烯环化酶(SHC)的"倍半萜烯加1个碳原子"的方法。[ 264 , 265 ]所需的底物(E,E)-homofarnesol(EEH,303)是通过(E)-β-金合欢烯(301)到302的选择性环丙烷基化,然后(E)-选择性环丙基 - 甲醇重排所得乙烯基环丙烷合成的。[267] (E)-β-金合欢烯(301)又由糖通过工程酵母发酵制成。[92,93]

香海拾贝(4)—2000-2020的香气流行趋势

方案 36. β- 法尼烯(301) 向龙涎呋喃 (296) 的转化。 NMU = N亚硝基-N-甲基脲。

嗜酸脂环酸杆菌野生型 SHC 酶被培养为用于生产龙涎呋喃的工业生物催化剂。产生选定 SHC 变体的大肠杆菌细胞将 303 转化为龙涎呋喃 (296) 非对映体和对映选择体。每重量单位的龙涎呋喃 (296),与传统的以快乐鼠尾草为原料的生产β-金合欢烯酵母的方法相比,甘蔗作为饲料所需的农业用地少了大约100倍。

9.2新型合成琥珀

正如 2000 年已经预测的那样,[1]  帝王龙涎(309)在调香师中引起了极大的共鸣,并且可能在很大程度上支持了明显的琥珀男香香水的趋势。帝王龙涎由一种主要异构体 309a 和相应的次要非对映异构体 309,这些异构体由天然雪松烯(304)的环氧化反应和水解开环反应生成,以提供合成二醇和反式二醇307的混合物,其中只有合成二醇与丙酮(308)缩醛化反应转化为帝王龙涎(309, 方案 37)。 [268]

香海拾贝(4)—2000-2020的香气流行趋势

方案 37. 氨溴环素 (309a/b) 的合成

例如帝王龙涎(309) 为巴西的“Burning Hot”(Avon,2013 年)提供了强大的琥珀基调,它是支持琥珀木质特征持久性的关键,并且在“Blamage”中被过量使用(Nasomatto,2014)。它的强度、持久的特性和低香气阈值激发了类似物的合成。 Dilk等人最近提出了名为 Ambrostar 的氨溴环素衍生物 310,它是用 2-戊酮缩醛化的产物。[269] Lem 随后描述了相应的不饱和变体 311 以及几种较弱的类似物(图 26)。[270]然而,到目前为止,没有一个能比帝王龙涎(309) 本身更好的香气分子。帝王龙涎(309)的差向异构体312是迄今为止未知的、出乎意料的强效差向异构体,最近被发现具有强烈的琥珀气味。这种在5号碳原子处具有倒置立体中心的材料是由5-表-α-雪松烯按与方案[271]中所述相似的顺序形成的。

香海拾贝(4)—2000-2020的香气流行趋势

图 26. 带有雪松烷主体结构的琥珀香气分子。

源自樟脑的 Belambre (313, Scheme38) 是使用天然萜烯作为二醇和相应缩酮的庞大骨架的另一个例子。它的合成已经在之前的综述中描述过,[1] 例如,它在“Methaldone”(Aether,2017)中得到了体现,它与 Ambermax(319)一起创造了一个强大的基础来支持来自正如其创造者所描述的“外太空”的金属气味。

香海拾贝(4)—2000-2020的香气流行趋势

方案 38. 来自松节油原料的琥珀成分。

另一个有趣且可再生的琥珀材料结构体是异长叶烯(314,方案 38),最初是从松树中分离出来的。 Symroxane (315) 是基于这种天然结构的最新示例,[272]并且在“Givenchy Play for Her”(纪梵希,2010)中得到显著体现。

令人惊讶的是,这些琥珀材料都不是可生物降解的,尽管它们都是基于天然化合物的结构。由于生物降解的必要性成为香料化学中的一个重要选择标准,[6] 由异长叶烷酮 (317) 制备的不可生物降解的缩酮 316 没有上市,尽管它具有诱人的特性和较低阈值。[273]相比之下,Piconia (317b) 通过与溴化乙基三苯基鏻进行 Wittig 烯烃化反应,然后与甲醛进行Prins 反应转化为伯醇 319,该伯醇以Ambermax 的形式引入,这是一种罕见的琥珀醇示例。[274]尽管Ambermax不易生物降解,但根据体外 S9 鳟鱼肝脏试验 (OECD 319b),它不太可能发生生物累积。[9,275,276] 它具有强烈而实质性的干琥珀味,带有雪松木香气和 0.05 ng/L 空气的香气阈值。例如,它被用于“Toy Boy”(Moschino,2019 年),这是一种辛辣的木质-琥珀-阳刚玫瑰香气,它与 Sylkolide(388)和海地香根草油混合,形成木质-干燥琥珀香气。

结构相关,虽然来自不同的起始材料,但使用 Ambramone(328,方案 39),例如,在“Birch & BlackPepper”(Jo Malone,2015)中。[277]月桂烯(320)与亚甲基戊醛(321)的 Diels-Alder 反应将醛 322 在酸性条件下环化成双环中间体 323,该中间体经过一系列 [1,2]- 位移后,得到具有浓郁龙涎香香气的三环 Ambramone (328)。

香海拾贝(4)—2000-2020的香气流行趋势

方案 39. 月桂烯 (320) 和亚甲基戊醛 (321) 合成琥珀酮 (328)。

Acetarolle(332) 是一种强效的龙涎香香气分子。它的合成非常经典地以异戊二烯与双亲烯体329进行Diels-Alder 环加成反应开始。然后还原和缩醛化产生 Acetarolle (322, Scheme 40)。结构相关的酮 333 和 334 显示出芳香特征,[278]而中间醇具有明显的木质香气,有趣的是,335 转向了广藿香-香根草香气方向。 [279] Acetarolle 是“Sublime”(Carolina Herrera,2013)的关键成分。到目前为止,合成的、可生物降解的琥珀香气成分非常稀缺(与天然的 Ambrox 和 Amberketal 相比),并且寻求这种可降解材料仍然是行业的重中之重。 [6]

香海拾贝(4)—2000-2020的香气流行趋势

方案 40. 从亚乙基二甲基环己酮 (329) 合成螺环酮、醇和乙酸酯。

10.麝香

10.1 时尚的和大环麝香

麝香构成了香水的感性灵魂。熟练的调香师可以使用它们为肥皂带来柔软感,为新洗的衣物带来舒适感,为精致的香水带来性感的神秘感。它们在香水中的比例最高可达两位数,这导致人们对价格更划算的麝香的需求。虽然存在各种结构类别的麝香,但大环麝香主要是可生物降解的,因此继续成为香料化学家研究的重点。

十四碳的 Cosmone (336) 是市场上最小的高影响大环麝香(图 27)。 [280]本质上是麝香烯酮(373) 的缩环版本,它显示出相似的结构特征,同时由于其较小的尺寸而受益于较高的蒸气压。然而,与麝香烯酮相比,Cosmone (336) 的 (E)-异构体而不是 (Z)-异构体更强。 336 有助于“Moschino Pink Bouquet”(Moschino,2012 年)或“Be Jewelled”(Vera Wang,2013 年)的温暖麝香基础的构建。

香海拾贝(4)—2000-2020的香气流行趋势

图 27. 具有高香气冲击力的现代大环麝香以及精选的经典麝香 Habanolide (343)、巴西酸乙二醇酯 (344) 和 Ambretolide (345)。

十五碳的 Exaltenone (Musk Z4,337)在4号位具有双键(图 27),有助于增加“Cologne Indélébile”的动物型香气(Frederic Malle,2015)。寻找更有效的麝香从而出现了 Nirvanolide (338)[281],它具有令人愉悦的果味和它的氢化同系物 Polvolide (339)。Nirvanolide出现在Jacques Polge的“Bleu”(Chanel,2010 年)和“Un Jardin Sur LaLagune”(Hermès,2019 年)中的Polvolide中。Nirvanolide(338) 通过磷盐 346 和醛 347 之间的 Wittig 反应制备,设定所需的 (10Z)-烯烃几何形状(方案 41)。然后根据Collaud测试的反应蒸馏方案,对所得的乙酸盐掩蔽的羟基酸进行脱保护和环化。[282] 大环化的熵障碍通过从平衡的低聚反应混合物中蒸馏单体、大环产物来规避,从而避免了对昂贵的高稀释操作的需要。

香海拾贝(4)—2000-2020的香气流行趋势

方案 41. Nirvanolide (338) 工业合成的关键步骤。

十六碳大环化合物表现出更温暖、更具动物性的麝香香调(图 27)。新麝香Velvione (340)、Aurelione (341) 和 Globanone (342) 分别在 5、7 和 8 位不饱和。在“Mon Guerlain EDT”(娇兰,2017 年)中,Velvione (340) 与巴西酸乙二醇酯 (344)、Ambrettolide (345)、Helvetolide (383)、Habanolide (343) 以及5-Muscenone (373) 结合使用。

双键为受体相互作用提供了额外的电子密度,也起到了限制构象空间的作用。两个双键显着降低了构象自由度,如大环内酯355 的设计所示(方案 42)。 [283]它是通过根据 348 的 C1 延伸至醛 349,然后 Knovenagel 缩合至 β,γ-不饱和酸 351 以短序列制备的[284]。与炔醇352 酯化,从香茅醇一步获得,得到二炔353,它是进行闭环炔烃复分解,然后氢化成 (Z)-烯烃 355。所得的大环炔烃可以还原为任一双键异构体,该策略已用于合成 Aurelion (341) 的两种立体异构体。[285]

香海拾贝(4)—2000-2020的香气流行趋势

方案 42. 通过策略性应用闭环炔烃复分解合成二烯麝香 355。

由于大环化施加了严重的熵限制,因此开发了几种合成策略来规避它们。 Habanolide (343) 的低成本和巨大成功的关键是良好的的双环断裂,在我们之前的综述中有所介绍。 [1]大环酮的 2-碳环扩展如方案 43 中所示。将乙烯基亲核试剂 357 添加到酮 356 中,并使所得乙烯醇 358 在 650°C 下进行快速真空热解,得到扩展的大环 361。在这些条件下,甲醇 C-C 键的均裂被认为会导致双自由基 359 在烯丙基位置重组,从而生成360。 [286]这种策略的反复使用使合成几种大环麝香成为可能。 Rüedi[287]进一步探索了这种热解扩环策略,从乙烯基得到 C2 和 C1[288] 扩环(方案 43 B-C)。 Cosmone (336) 是使用类似的 C2 扩展策略[280]从环十二烯酮 (366) 开始制备的(方案 43 D)。366 转化为烯丙醇 367,然后在 85°C 碱存在下重排为 Cosmone (336)。双离域双自由基 368 的形成和氧阴离子取代基的弱键作用 [289]可以解释该反应相对低的活化势垒。

香海拾贝(4)—2000-2020的香气流行趋势

方案 43. 大环扩环策略: A) C2 扩环策略。 B) Rüedi 的 C2 扩展。 C) Rüedi 的 C1 扩展。 D) Cosmone (336) 的工业合成。

研究人员已为合成天然麝香酮(374)付出了巨大的努力。它的工业前体 5-麝香烯酮 (373) 被发现比其母体天然对应物更有效。在一份值得注意的报告中,[290] 科学家通过将环十二酮 (369) 分三步转化为双环 371(方案 44)来修改原始策略 [291]。然后在升高的温度和压力下将其暴露于一氧化二氮中以提供 5-麝香烯酮 (373),可能是通过中间杂环 372 的断裂。由于 5-麝香烯酮 (373) 本身易于受到一氧化二氮的攻击,因此该反应仅进行部分转化和粗物质在重新引入氧化裂解反应之前进行选择性氢化成麝香酮(374)。

香海拾贝(4)—2000-2020的香气流行趋势

方案 44. 一氧化二氮通过 5-麝香烯酮 (373) 介导麝香酮 (374) 的合成。

长谷川科学家制备了5-麝香烯酮(373) 的所有立体异构体,并确定(+)-(3R,5Z)- 5-麝香烯酮 ((+)-(3R,5Z)-373) 是最有效的异构体。[292] Fehr 后来将这种异构体量化为比天然的对映体纯 (3R)-麝香酮((–)-(R)-374,方案 45 B)强 10 倍以上。[293]他的合成从对称二酮375 开始,很容易获得通过 371 的氧化裂解,通过跨环醛醇缩合将其转化为烯酮376(方案 45 A)。然后通过 CBS 催化将不需要的对映异构体还原为醇 378,对所得烯酮进行动力学拆分,留下富集的烯酮 (S)-376。后者经过 Eschenmoser-Ohloff 碎裂,然后进行Lindlar还原以提供(+)-(3R,5Z)-5-麝香烯酮 [(+)-(3R,5Z)-373]。后来公开了通过对映选择性羟醛缩合将二酮375 直接转化为对映富集的 (S)-376(方案 45 C)。[294,295]

香海拾贝(4)—2000-2020的香气流行趋势

方案 45. A) (+)-(3R,5Z)-5-麝香烯酮 [(+)-(3R,5Z)-373] 的立体选择性合成。 B) 天然 (–)-(R)-muscone[(–)-(R)-374] 的结构。 C) (S)-376第二代立体选择性合成的关键步骤。

最后,O'Hagan 在一项系统研究中表明,大环麝香的构象折叠不仅受双键和烷基取代基的影响,而且还受氟取代基的战略位置影响。 [296]大环内的CF2 基团优先采用 gauche 可以设计角位置,从而设计出最低能量的构象。 [297]

10.2 第四类:线性和脂环式麝香

虽然所有天然麝香香气分子都是大环的,但早在 1758 年,Andreas Sigismund Marggraf 就发现了第一种人造麝香,比 Heinrich Walbaum 分离出 (–)-(R)-麝香酮 [(–)-(R)-374] 早了将近 150 年。[298]以麝香酮(381,图 28)作为其最重要代表的第二类麝香由硝基芳烃组成,虽然容易获得,但在碱性介质中表现出不稳定性以及光化学反应性和毒性。寻找不含硝基的芳香麝香导致了多环麝香(PCM),例如佳乐麝香 (382)。第三类麝香的出色稳定性引起了生物积累问题,这再次引发了对新结构的探索,在此期间发现了线性无环麝香。第一个代表是 Helvetolide (383)[1],在“Les Sables Roses”(路易威登,2019 年)和“La Nuit Trésor MuscDiamant”(兰蔻,2019 年)中的含量分别为 36% 和 40%。在其较低能量的构象中,Helvetolide (383) 模拟了一个大环,由于其马蹄形(图 28),通过 MeC-1'' 的键合 s-轨道与反键 s 的供体-受体相互作用而稳定*-C-1'-O 的轨道和 MeC-1'' 与 Me2C-2' 的空间相互作用。[299]偕二甲基部分的空间效应可以通过羰基模拟,如 Romandolide (384 ),[300]在“Valentina Pink”(华伦天奴,2015 年)中占 40%。

香海拾贝(4)—2000-2020的香气流行趋势

图 28. 硝基麝香 381、多环麝香 (PCM) 佳乐麝香 (382) 和第一个商业线性脂环麝香 Helvetolide (383) 以及第四类麝香384-387 的进一步代表。

出于稳定马蹄形构象的想法,在导致 Serenolide (385) 的环己基部分的另一侧引入了环丙基环,这在“Artisan”(John Varvatos,2009) 中有突出的特点。 Serenolide 的强度大约是 Helvetolide (383) 的 6 倍,其中 17% 与“(Untitled)”(Maison Martin Margiela,2010)中的绿色白松香调形成了白色麝香的对比。这些线性麝香的折叠实际上非常紧凑,以至于 386 和 387 是迄今为止已知分子量最高的香气分子(Mr325,图 28)。 [301].

香海拾贝(4)—2000-2020的香气流行趋势

图 29. Sylkolide (388)、Edenolide (389)、Alpinolide (390) 和 Sorbettolide (391) 以及用于研究结构-香气相关性的相关结构 392-395。

通过在 Serenolide (385) 中策略性地放置双键,发现了可生物降解的闭环结构 Sylkolide (388)。 [299]由于其低分子量,它在前调中引入了麝香香气。 Sylkolide (388) 在“Oh,Lola!”(Marc Jacobs,2011 年)中首次亮相,并且在“玩具男孩”(Moschino,2019 年)中也有突出表现。除了稳定马蹄形构象外,385 和 388 中的环丙基环表明酯部分的额外电子密度也是有益的,环己基丙二酸乙酯 389 也是一种有效的麝香香气分子。 [302]它作为Edenolide (389) 被引入香水行业,并具有突出的苹果味。它可以在“Spicebomb Extreme”(Victor & Rolf,2015)和“Fiesta Carioca”(Escada,2017)中找到 5%的含量。甚至丙烯酸酯390 也作为 Alpinolide (390) 被引入香水行业。 [303]它是调香师调色板上最青香的麝香,但由于丙烯酸功能的反应性而停产。

最近推出的Sorbettolide (391)[304]具有突出的黑莓香气。在 28 天内降解 41% 的情况下,391 最终可生物降解,但通常生物降解是不容易的。环氧基团在此用作负电部分,并且由于顺式异构体具有令人不快的异味,因此高跨选择性很重要。由于这些脂环族麝香中的酯基会在 α 位诱导和传递左旋弯曲,因此Romandolide (384) 的酯部分可以被倒置而不会损失麝香香气,如倒置二酯 392 所示(图 29)。尽管 Helvetolide (383) 中 C-1'' 甲基的立体化学对于赋予马蹄形弯曲至关重要,但碳原子 C-1'' 也可以被二甲基取代,如 393 的强烈麝香香气所示。 [305]然而,Helvetolide (383) 的氧杂氧并不是无辜的旁观者。它的电负性必须与受体相互作用有关,因为 carba-Helvetolide 394 没有任何香气印象,就像 Serenolide (386) 的carba-类似物一样。 [306]然而,一个 E 构型的双键可以取代这些第四类麝香中间部分的醚或酯功能,并且 395 也显示出麝香特征。 [306]

香海拾贝(4)—2000-2020的香气流行趋势

方案 46. 围绕单取代芳烃 396 的线性芳香族麝香香气分子396-401 。

2014年,Yamamoto 和 Aida[307] 在前体396 周围发现了一个新的线性麝香类型(方案 46)。其中,芳族取代基形成马蹄形构象异构体的一侧(参见方案 46)。该家族最有效的代表是环丁烷羧酸盐 397,其香气阈值为 0.55 ng/L 空气。这些香气剂可通过 Simmons-Smith 环丙烷化398 和随后的酯化获得,如合成 401 的方案 46 所示。

10.3 新型麝香结构:二烯酮、Nebulone 和 Sinfonide

通过对胡萝卜醇 (402) 进行臭氧分解并进行还原处理和随后的酸性处理,Józef Kula 发现了一种有趣的麝香香味剂,名为“mageritone”(404,方案 47)。 [308] 然而,麝香香气并非源自该主要产品,而是源自双键异构体 405[309],其阈值为 1.0 ng/L 空气。[310]麝香香气在双闭环结构 406 中增强。C-5上的叔丁基似乎必不可少,因为 (3E,5Z)-5-异丙基-7-甲基庚-3,5-二烯-2-酮没有香气。 [311] 二叔丁基类似物 407(方案 47)比 406 更强烈,但也具有更多的花香紫罗兰酮特征。然而,通过硅烷取代增加空间体积超过了 408(方案 47)的高阈值所明显的尺寸,[312]尽管不能排除这种硅烷取代的额外电子效应。 [313]

香海拾贝(4)—2000-2020的香气流行趋势

方案 47. 发现作为臭氧分解副产物的母体二烯酮麝香 405 和随后的胡萝卜醇 (402) 的羟醛反应以及一系列不同的二烯酮麝香基序 406-412。

具有柔性侧链的二甲基环戊烯 409的阈值为 0.26 ng/L 空气,这是迄今为止报道的最强烈的二烯酮麝香。 [314]乙酰基环己烯410 中的二烯系统被新戊基取代后,几乎是平面的,并且具有0.90 ng/L 空气的略高阈值(方案 47)。许多二烯酮麝香表现出青香的副香调,这些也出现在最近发现的代表物411和412中也发现,其中二烯酮基序是多环的一部分。 [315]

然而,麝香香气分子也可以融入木质香调。 409的 γ,δ-双键的选择性氢化完全消除了麝香的特性,而 413(图 30)闻起来与完全氢化的 414 相似,但具有 415 的木香特性。409的α,β-双键的选择性氢化保留了麝香,但将其转变为经典的Cashmeran (417) 的麝香-木质香气,通常被称为羊绒木。 [316] Cashmeran(417) 最近变得非常流行,而且在“Dans Tes Bras”(Frédéric Malle,2008)和“Duro”(Nasomatto,2007)中提高了 25% 的用量水平。

香海拾贝(4)—2000-2020的香气流行趋势

图 30. 部分或完全氢化的二烯酮麝香和Cashmeran(417) 以及一些分子模拟的羊绒香气分子 418 和 419 之间的结构-香气转换。

由于新的 Cashmeran 型香气剂 416 的香气阈值为 25.0 ng/L 空气,相当微弱,因此它启发了氢化茚系统418和419 的设计,其中灵活的丁酮侧链与偕二甲基连接基团。分子模型表明羰基渗透物与 417 的一个偕二甲基和 418 的叔丁基的相对距离相似,如图 30 所示。对映异构体 418 和 419 都是通过涉及烯醇活化催化的新型Michael反应合成的。[317]只有 (R)-对映异构体 418 具有在相应的二烯酮中增强的Cashmeran的香气,但两者都比Casmeran(417) 弱。 [317]两种 Cashmeran (417) 对映异构体闻起来相似,强度相当,阈值分别为 1.1 ng/L 空气和 1.4 ng/L 空气。[317]

麝香 77 (420) 以其实验室期刊号 LRG-1277 (LRG =labatoire de recherche de Grasse) 命名,是一种已停产的麝香,具有不寻常的嘧啶渗透载体 [318](图 31)。将 Cashmeran (417) 的羰基渗透物变为嘧啶部分会产生 Sinfonide (421),这是一种最近推出的木质麝香。 [319] 它的氢化类似物 422 也用于香水中,名为 Ambertonic (422)。在 422 中,木质和琥珀香气在前调中,而麝香的香气在后调中出现。 Sinfonide (421) 出现在“Rose Magnetic”(Essential Parfums,2018 年)中,并与 Ambertonic(422)和另一种名为 Nebulone(423)[320]的Cashmeran衍生物一起出现在“Polo Ultra Blue”(Ralph Lauren, 2018)。

香海拾贝(4)—2000-2020的香气流行趋势

图 31. 母体嘧啶麝香麝香 77 (LRG 1277, 420)、相应的 Cashmeran (417) 类似物 Sinfonide (421) 和 Ambertonic (422),以及结构相关的 1,3-二恶烷麝香 Nebulone (423) 和其较干燥的木质琥珀香气衍生物 424 (Trisamber)、425 (Amber Xtreme) 和 426 (Operanide)。

Nebulone(423) 是Cashmeran缩醛和醚系列中的第一个,在“Miracle Forever”(兰蔻,2006 年)中的使用率为 5.7%。至于 Sinfonide (421) 和 Ambertonic (422),他们从麝香到木质-琥珀香气过渡,而在 Trisamber (424) 中,琥珀香气已经占主导地位。 [321]这已与“只有勇敢的极端”(Diesel,2016)中的 Cashmeran (417) 一起使用。更受欢迎、更强烈和更琥珀香气的是偕二甲基类似物 Amber Xtreme (425)。[321]它被用于“Invictus”(Paco Rabanne,2013),伴随着不饱和缩酮类似物 Operanide (426),赋予木质、苔藓的香气。 [322] 丙酮化物 426 可以由 Cashmeran (417) 通过以下方法制备氢化物还原并消除相应的醇,然后在路易斯酸存在下环氧化并与丙酮反应。Operanide 在“Y Eau de Parfum”(Yves Saint Laurent,2018 年)中的使用率为 3%。

11. 预测:香精的未来

香精成分将继续占据不同领域许多专家的研究方向。随着人类对环境安全方面的关注度日益增强,化学家仍面临着发现具有诱人嗅觉特征的新化合物的挑战。他们将比以往任何时候都更加努力寻找可持续且具有成本效益的化学和生物化学生产路线。其他学科也开始了嗅觉之旅。事实上,大量嗅觉受体 (ORs) 在鼻子外(例如在肠道内)[323] 的作用才刚刚开始被理解,估计 90% 的 ORs 仍然是未知的。 [324]这支持了香气分子对健康和幸福产生积极影响的观点,正如传统的芳香疗法利用香精那样。相关科学研究将以开发可能具有超越嗅觉特性的新成分[325]为指导和支持。最后,我们对嗅觉的理解已经从简单的锁匙模型发展到更复杂的受体集合组合激活。因此,人工智能的出现和计算方法的指数级增长可能正朝着推翻香料化学经验性质的方向进行良好的发展。

对于消费者而言,香水正在从一种业余爱好演变为我们日常生活的重要元素。虽然人们在 1980 年代有一种标志性的香味来创造持久的记忆,但他们在1990 年代发现香水是时尚单品,而在 2000 年代,他们希望通过季节性创作和分享来流行。2010 年代小众和独立品牌的兴起让个人主义香水爱好者拥有了一个庞大的香水库,可以根据自己的心情从中进行选择,并将自己与他人区分开来。随着更多时间花在屏幕前,人们渴望另类的感官维度,[326]嗅觉艺术正在成为一种当代艺术形式。[327, 328 , 329 ] 这在日本自古以来就通过香道(kōdō)仪式而闻名。无论是否有意,嗅觉都将保持它一直以来的样子:一种交流的媒介。

香海拾贝(4)—2000-2020的香气流行趋势

关联香精

服务热线

177-5061-9273

添加微信咨询

添加微信咨询