
白芨 fun88乐天堂,或作白及(学名:Bletilla striata)又名甘根,连及草,是白芨属下的一种多年生草本植物,其种加词“striata”意为“有条纹的”。

形态
属多年生草本球根植物(块根),花美适合观赏之用,其球茎晒干后的名称为白及(又名白芨、明白芨、紫兰根、甘根、白给),属于中草药,其它亦有当作糊料之用途。一般品种的花色呈紫红色,所以别称紫兰;另有一个变种的花为白色,称为白花白芨(B, s,var 乐天堂FUN88, alba)。其它亦有黄色、粉红色、红色以及蓝色的园艺栽培种。主要花期在春季,但依各地气候之不同,晚冬至夏初都可能开花。如果种植,夏季因为叶尖容易晒焦,宜采半日照射的方式,尽量避免西晒。本种为白芨属的模式种。。
白芨全株高约三十公分至七十公分左右,地下浅处会长出扁平陀螺状的球茎往横向蔓延,并会向下方长出粗大块状的球根,球茎上方会长出茎突出地面,并且会带有二至六叶左右的线形绉褶叶子 fun88乐天堂官网,叶的形状为长椭圆状互生,叶宽大约一至四公分,开花时会有细茎由叶心向上冒出并长出多朵花苞,慢慢的依次绽放。

分布与种植
野生品种喜生长于山腹以及崖顶附近,主要分布在中国,台湾,日本以及缅甸北部,不过已经慢慢濒临灭绝,人工栽培的品种已经相当普及,许多人工栽培的种子亦散布各地,所以现在已经很难分辨出哪些是属于原本的野生品种 fun88乐天堂官网是什么,繁殖主要采分株方式,分株的时期在秋季较为合适。
应用
中药
白芨在中药里有消炎止血,消肿生肌之效,主要可以治疗刀伤跌打,疮疡肿毒,肺部出血,胃脏溃疡等症,味道带有苦味,黏稠状,本身无毒,药性微寒,轻微的烧冻伤亦能适量涂于患部 乐天堂fun88靠谱吗,可做为药用部分为其块根(球根)以及地下球茎部分,洗净浸泡或烫煮过之后沏薄片晒干,称之为白芨,最后研磨为粉末依照不同病症调配应用。
美容护肤
白芨具有消炎止血,消肿生肌的效果,主要可以治疗刀伤,跌打 fun88乐天堂,疮疡肿毒,肺部出血,胃脏溃疡等症,白芨味道带有苦味,粘稠状,药用部位是它的块根及地下球茎,研磨成粉末应用,由于白芨中药古籍记载有肌肤净白,淡斑效果,自古即为朝廷御医用于作为后宫佳丽美容护肤的必用原料,被誉为“靓白仙子”,白芨全株高约30cm至70cm左右,一般品种的花色呈紫红色,所以别称紫兰,有一个变种的花为白色,称为白花白芨,主要花期在春季。
白芨地下球茎的粘性很强,主要成分为:挥发油,粘液质,白芨甘露聚糖(Bletillamannan),可作为糊精 乐天堂FUN88,涂料,蔬果保鲜剂,酿酒或开发为具有杀菌消炎,淡斑美白,抗皱防衰的天然化妆品,现代研究,白芨具有止血功效,可促进血液凝集,缩短凝血时间,可保护黏膜,具有抗菌性,抗氧化及抗肿瘤等作用。
现代药理
本品含粘液质56 fun88乐天堂官网,75%~60,15%,其中有多种聚糖,还含挥发油、淀粉。有缩短凝血时间及抑制纤溶作用,具良好的局部止血作用,此与所含粘液质有关,能形成人工血栓而止血。体外试验对结核杆菌有明显的抑制作用。。
其他
白芨的假鳞茎富有黏性,可作为景泰蓝制作过程中 fun88乐天堂官网是什么,掐丝后将铜丝黏贴于铜胎的黏胶原料。
品种来源
本品为兰科多年生草本植物白芨 (Bletilla striata (Thunb,)Reichb 乐天堂fun88靠谱吗,f,) 的块茎。主产于四川、贵州、湖南、湖北、浙江等地。夏、秋二季采挖,除去残茎及须根,洗净,置沸水中煮至无白心,除去外皮,晒干。切片生用。。

性味归经功能
《吴普本草》:"神农、黄帝:辛。李氏:大寒。雷公:辛,无毒。"
《纲目》:"入肺。"
补肺,止血,消肿,生肌,敛疮。治肺伤咳血,衄血,金疮出血,痈疽肿毒,溃疡疼痛,汤火灼伤,手足皲裂。
《滇南本草》:"治痨伤肺气,补肺虚,止咳嗽,消肺痨咳血,收敛肺气。"
《本草经疏》:白及,苦能泄热,辛能散结。
《本草经百种录》:白及,气味冲淡和平,而体质滑润,又极粘腻,入于筋骨之中,能和柔滋养,与正气相调,则微邪自退也。
《本草求真》:白及,方书既载功能入肺止血,又载能治跌扑折骨,汤火灼伤,恶疮痈肿,败疽死肌,得非似收不收,似涩不涩,似止不止乎?不知书言功能止血者,是因性涩之谓也;书言能治痈疽损伤者,是因味辛能散之谓也。此药涩中有散,补中有破,故书又载去腐、逐瘀、生新。
《本草便读》:白及,必虚而有热者,乃为相宜耳。虽禀收敛之性,而仍具苦泄辛散之意,与白蔹相近,故每相须而用。
冬季手足皲裂:用白及粉加水调匀,填入裂口。患处不能沾水。(或口嚼涂抹于患处)
重伤呕血,吐血。咳血:每日服白及末,米汤送下。
平时如果拔牙出血,可以用白芨粉敷在患处以止血。

生药鉴定
性状鉴别
根茎略呈不规则扁圆形或菱形,有2-3分歧似掌状,长1.5-5cm,厚0.5-1.5cm。表面灰白色或黄白色,有细皱纹,上面有凸起的茎痕,下面亦有连接另一块茎的痕迹;以茎痕为中心,数个棕褐色同心环纹,环上残留棕色点状的须根痕。质坚硬,不易折断。
断面类白色,半透明,角质样,可见散在点状维管束。粗粉遇水即膨胀,有显著粘滑感,水浸液呈胶质样。无臭,味苦,嚼之有粘性。以个大、饱满、色白、半透明、质坚实者为佳。
显微鉴别
粉末特征:黄白色。
① 含糊化淀粉粒的薄壁细胞多呈不规则碎块,遇碘液显蓝色。
② 粘液细胞甚大,类圆形或椭圆形,直径约至380μm,内含草酸钙针晶束,针晶长18-88μm。
③ 表皮细胞表面观形状不规则,垂周壁深波状弯曲,壁厚3-6μm,木化或微木化,孔沟明显,平周壁具稀疏短缝状纹孔;断面观类方形,被较厚的角质层。
④ 下皮细胞类多角形,壁稍弯曲,有的呈连珠状增厚,木化。
⑤ 纤维长梭形,壁木化,具斜纹孔或相交成人字形;纤维束周围细小类方形细胞含类圆形硅质块。此外,有梯纹、具缘纹孔及螺纹导管。

化学成分
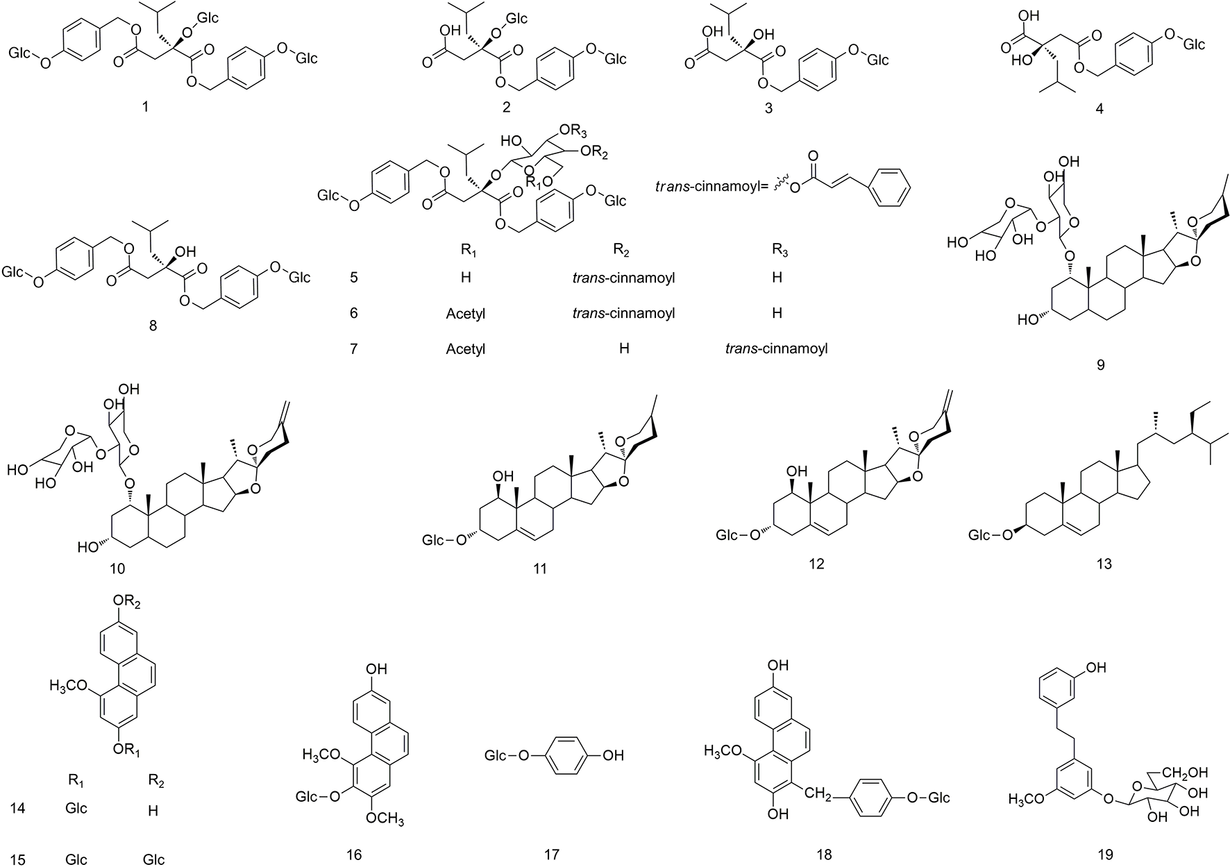
块茎含联苄类化合物:3,3'-二羟基-2',6'-双(对-羟苄基)-5-甲氧基联苄(3,3'-dihydroxy-2',6'-bid(p-hydroxybezyl)-5-methoxybibenzyl),2,6-双(对-羟苄基)-3',5-二甲氧基-3-羟基联苄(2,6-bis(p-hydroxybenzyl)-3',5-dimethoxy-3-hydroxybibenzyl),3,3'-二羟基-5-甲氧基-2,5',6-三(对-羟苄基)联苄(3,3'-dihydroxy-5-methoxy-2,5',6-tris(p-hydroxybenzyl)bibenzyl),3,3',5-甲氧基联苄(3,3',5-trimethoxybibenzyl),3,5-二甲基联苄(3,5-dimethoxybibenzyl);
二氢菲类化合物:4,7-二羟基-1-对-羟苄基-2-甲氧基-9,10-二氢菲(4,7-dihydroxy-1-p-hydroxybenzyl-2-methoxy-9,10-dihydropenanthrene),4,7-二羟基-2-甲氧基-9,10-二氢菲(4,7-dihydroxy-2-methoxy-9,10-dihydrophenanthrene),3-(对-羟苄基)-4-甲氧基-9,10-二氢菲-2,7-二醇(3-(p-hydroxybenzyl)-4-methoxy-9,10-dihydrophenanthrene-2,7-diol),1,6-双(对-羟苄基)-4-甲氧基-9,10-二氢菲-2,7-二醇(1,6-bis(p-hydroxybenzyl)-4-methoxy-9,10-dihydrophenanthrene-2,7-diol),2,4,7-三甲氧基-9,10-二氢菲(2,4,7-trimethoxy-9,10-dihydrophenanthrene);
联菲类化合物:白芨联菲(blestriarene)A、B、C,白芨联菲醇(blestrianol)A、B、C;双菲醚类化合物:白芨双菲醚(blestrin)A、B、C、D;
二氢菲并吡喃类化合物:白芨二氢菲并吡喃酚(bletlol)A、B、C;具螺内酯的菲类衍生物:白芨菲螺醇(blespirol);
菲类糖甙化合物:2,7-二羟基-4-甲氧基菲-2-O-葡萄糖甙(2,7-dihydroxy-4-methoxyphenanthrene-2-O-glucoside),2,7-二羟基-4-甲氧基菲-2,7-O-二葡萄糖甙(2,7-dihydroxy-4-methoxyphenanthrene-2,7-O-diglucoside),3,7-二羟基-2,4-二甲氧基菲-3-O-葡萄糖甙(3,7-dihycroxy-2,4-dimethoyxphenanthrene-3-O-glucoside),2,7-二羟基-1-(4'-羟苄基)-9,10-二氢菲-4-O-葡萄糖甙(2,7-dihydroxy-1-(4'-hydroxybenzyl)-9,10-dihydrophenanthrene-4-glucoside);
其他菲类化合物:1-对-羟苄基-4-甲氧基菲-2,7-二醇(1-p-hydroxybenzyl-4-methoxyphenanthrene-2,7-diol),1,8-双(对-羟苄基)-4-甲氧基菲-2,7-二醇(1,8-bis(p-hydroxybenzyl)-4-methoxyphenanthrene-2,7-diol),2,4,7-三甲氧基菲(2,4,7-trimethoxyphenanthrene),2,3,4,7-四甲氧基菲(2,3,4,7-ttetramethoxyphenanthrene);
苄类化合物:山药素(batatasin)Ⅲ3'-O-甲基山药素(3'-O-methylbatatasin)Ⅲ;
蒽类化合物:大黄素甲醚(physcioin)。
有机酸类成分:对-羟基苯甲酸(p-hydroxybenzoicacid),原儿茶酸(protocatechuic acid),桂皮酸(cinnamicacid);
醛类成分:对-羟基苯甲醛(p-hydroxybenzaldehyde)。
新鲜块茎另含白芨甘露聚糖(bletillamannan),是由4份甘露糖(mannose)和1份葡萄糖(glucose)组成的葡配甘露聚糖。

医药典籍
名称来源:据明李时珍《本草纲目·草一·白芨》:“其根白色,连及而生,故名白芨。”
类别:收敛止血药
采收加工:夏秋两季采挖,除去残茎及须根,洗净,置沸水煮至无白心,除去外皮,晒干,切片生用。
功能主治:收敛止血,消肿生肌。用于咳血吐血,外伤出血,疮疡肿毒,皮肤皲裂;肺结核咳血,溃疡病出血。
用法用量:6~15g,研粉吞服 3~6g。外用适量。不宜与乌头类药材同用。
性味归经:味苦、甘、涩,性寒,归肺、肝、胃经。有收敛止血,消肿生肌之功,用于内外出血诸证及痈肿、烫伤、手足皲裂、肛裂等。
药典依据:《神农本草经》:“主痈肿、恶疮、败疽,伤阴死肌,胃中邪气”。
《本草纲目》:“气味(根)苦、平、无毒。

主治
1、鼻血不止。用口水调白芨粉涂鼻梁上低处(名“山根”);另取白芨粉一钱,水冲服。
2、心气疼痛。用白芨、石榴皮各二钱,研细,加炼蜜和成丸子,如黄豆大。每服三丸,艾醋汤送下。
3、妇女阴脱。用白芨、川乌药,等分为末,薄布包一钱,纳入阴道中,觉腹内热即止。每天用一次。
4、疔疮、肿疮。用白芨粉半钱,澄水中,等水清后,去水,以药摊厚纸上贴于患处。
5、跌打骨折。用白芨粉二钱,酒调服。
6、刀伤。用白芨、煅石膏,等分为末,洒伤口上。
7、冬季手足皲裂。用白芨粉加水调匀,填入裂口。患处不能沾水。
8、汤火伤。用白芨粉调油涂搽。
9、重伤呕血。每日服白芨末,米汤送下。
10、肺、胃出血。
11、鼻衄:将白芨末,过100目筛备用。血衄患者在全身药物治疗的同时,用白芨末散布于凡士林纱布或纱球表面,填塞鼻腔出血侧,每次用白芨粉4-5克,填塞物保留72小时,治愈率达90%以上,少数病人需要填塞2次痊愈。
12、百日咳:白芨川贝散(白芨,款冬花,川贝各等分),1岁以下百日咳患儿,每次服1克,每日3次,总有效率为98.2%。
13、口腔粘膜病:将白芨粉和白糖按2:3的比例混匀。将该粉涂病损部位,用棉球压迫15分钟,暂禁食及漱口,每日涂3次,有效率为98%。
14、皮肤结核:有人用狼毒,白芨细末加凡士林调成30%的软膏,按常规消毒皮损部位,将药膏均匀涂于纱布上约0.2厘米厚,贴敷患处,1天换药2次,治疗25例,结果治愈16例好转6例,无效3例。
15、痤疮:采用中药白芨,白芷进行面部皮肤按摩和石膏倒模治疗痤疮。将白芨,白芷各等分研成极细粉末,用开水按1:6比例冲调成稀糊状,用此药做按摩霜做面部皮肤及穴代替按摩,按摩完毕,在薄涂一层药,纱布遮盖眉,眼,口部,将石膏粉300-400克用温开水搅拌成糊状,均匀地覆盖于面部,20分钟后揭去,每天2次,5次为1疗程,总有效率为98%。
16、乳头皱裂:白芨,白矾各30克,金银花20克,水煎3次,浓缩至100毫升。用棉球蘸药涂于患处,每天10次,治疗乳头皱裂患者,总有效率为88.24%。
17、白带:用白芨30克,鸡冠花10克,茯苓皮20克,党参15克,白花蛇舌草10克,水煎服。治疗妇女白带,服2剂后,白带明显减少,7剂痊愈。
18、肛裂:将白芨粉和医用滑石粉各半,装入瓶内高温高压消毒后使用,患者排便后洗净肛门,用药棉或纱布将白芨滑石粉涂于肛门裂处,继而用手轻轻按摩长强穴数次,至肛门周围有发热感为宜。
药的宜忌:
外感咳血,肺痈初起及肺胃有实热者忌服。
①《本草经集注》:"紫石英为之使。恶理石。畏李核,杏人。"
②《蜀本草》:"反乌头。"
③《本草经疏》:"痈疽已溃,不宜同苦寒药服。
白芨的国内外研究进展
1、白芨:药用、植物化学和药理活性
白芨 (Bletilla striata (Thunb.) Reichb.f. (Orchidaceae))又名风信子兰(Hyacinth Orchid)、白及(简体中文:白及),由于具有收敛止血的功效,不仅被广泛用于治疗吐血、咯血、外伤出血,而且还具有由于具有消肿和促进组织再生的功效,被局部用于克服溃疡,疮疡肿痛,肿胀和皮肤皲裂。其他医疗应用包括治疗肺结核、恶性溃疡、痔疮、炭疽、眼病和矽肺。本综述旨在提供关于白芨的植物学特征、药用、化学成分、药理活性和毒性的最新信息。此外,本文还重点探讨了利用这种植物治疗不同疾病的可能性,并为未来的研究提供了机会。白芨的相关信息通过电子搜索从全球公认的科学数据库(Google Scholar、Webof Science、ScienceDirect、ACSPublications、PubMed、WileyOnline Library、SciFinder、CNKI)中收集。资料还来源于《植物名录》、《中国药典》、《中草药典籍》、博士、硕士论文等。对通过上述来源获得的文献进行综合分析证实,在蒙古、韩国、日本和中国都记录了白芨的民族医学用途。植物化学研究表明,白芨的主要化学成分是多糖、联苄、菲、三萜类及其皂苷、类固醇及其皂苷,它们也被证明是具有多种药理活性的主要生物活性物质,包括伤口愈合、抗溃疡、止血、细胞毒性、抗菌、抗炎、抗氧化、免疫调节、抗纤维化、抗衰老、抗过敏、止痒。对白芨药理性质的初步研究表明,白芨是一种优秀的收敛止血药,以白芨多糖(BSP)为主要生物活性成分,不仅具有促进伤口愈合的作用,而且作为一种具有良好性能的药物。白芨多糖还是一种有前途的天然生物材料。更重要的是,据报道白芨多糖也是极好的栓塞材料。但其消肿、促进组织再生的功效尚需进一步研究。此外,这种植物还需要更多的研究来阐明吸收、分布、代谢和排泄的途径,并在进行药物制剂开发之前评估其在体内的长期慢性毒性。

2、白芨的化学成分、药理性质及临床应用
白芨(Bletilla striata)是一种兰科植物,在中国被用作中药(TCM)已有数千年的历史。本文综述了近30年来有关白芨的化学成分、药理活性和临床应用等方面的研究进展。目前已从白芨中提取了158种分子结构明确的化合物,分为葡萄糖苷、联苯、菲、醌、双菲、二氢菲、花青素、类固醇、三萜和酚酸类。这些化学物质支持止血和伤口愈合的药理特性,也表现出抗氧化、抗癌、抗病毒和抗菌的活性。此外,对白芨进行的各种临床试验已经证明了其作为栓塞剂和粘膜保护剂的显著活性,以及在新型生物材料、质量控制和毒理学方面的应用。在中药制剂中,它也作为许多制剂的组成成分被广泛应用,但由于对其临床性质的研究不足,无法从科学的角度确定其疗效和安全性。希望本文对这一独特植物的进一步研究和开发提供参考。

3、结合表型特征、化学成分和抗黑素活性综合评价白芨及其替代物
白芨是名贵中药材,在药理和美容领域有着广泛的应用。由于资源匮乏,也以黄花白芨(Bletilla ochracea)、小白芨(Bletillaformosanare)作为替代品。为区分异同源,比较了它们的典型形态学特征和显微特征,通过超高效液相色谱-四极杆飞行时间质谱(UPLC-Q-TOF-MS)建立了UPLC指纹图谱,再结合化学计量学方法对白芨的品质进行表征和质量评价。还使用斑马鱼模型首次在体内比较了三种物种的抗黑色素活性,结果表明B. striata及其两种替代品均具有明显的抗黑色素活性,并且在脱色剂量下无毒。 .分子对接研究表明,山药素(batatasin) III、白及联菲醇(blestrianol)A、4-甲氧基-9,10-二氢菲-2,7-二醇(coelonin)、手参苷Ⅸ(gymnosidesⅨ) 和薯蓣素II(batatasin II)可能是与抑制黑色素生成相关的多靶点化合物,这对于它们未来的潜在医学应用非常重要。

4、白芨块茎多糖:理化特性、口腔黏附片剂型及治疗口腔溃疡的初步研究
本研究旨在唤起人们对白芨多糖(BSP)的双重作用的认识——一种具有多种药理活性的生物相容性、可生物降解的天然生物材料。首先对BSP进行提取和表征。结果表明,BSP由甘露糖和葡萄糖组成。 BSP的骨架主要由(1→4)-连接的β-D-吡喃甘露糖组成。之后,以BSP 和甘油浓度为自变量,采用 32 因子设计优化冻干晶片治疗外伤性口腔溃疡。测量拉伸强度、粘膜粘附强度和肿胀指数作为响应变量。经确定,由含有 4% (w/v) BSP 和7% (w/v) 甘油的溶液制备的黏附片是最佳配方。观察晶片的形态,可以发现晶片表现出了足够的机械强度和合适的表面pH值。DSC/TGA热谱图显示存在三个峰的重量损失事件和分解模式。此外,体内检查表明,BSP 晶片在第7 天显著促进溃疡愈合,而在第 12 天没有观察到统计学上的显著差异。综上所述,本研究表明 BSP 是一种理想的黏膜粘附剂生物材料,发挥着重要作用促进口腔溃疡愈合。

5、白芨多糖的提取、表征、创面敷料及药物释放的研究进展
本综述提供了一种从中药白芨中提取的活性多糖的最新信息。初步研究列出了几种提取白芨多糖(BSP)的分离方法,表征结果表明BSP的骨架主要由1,4-连接的甘露糖基残基和1,4-连接的葡糖基残基组成。值得注意的是,这篇综述总结了 BSP 作为生物材料的开发,包括基于 BSP 的伤口敷料和药物输送的制备、生物活性和作用机制。 BSP 表现出优异的愈合功能,主要是由于其在整个炎症和增殖期对巨噬细胞的调节。基于BSP的药物载体包括胶束、纳米颗粒、微球和微针,它们具有靶向递送药物的抗癌功能和自身的药物能力。本综述旨在为该化合物在生物医学领域的进一步开发铺平道路。

6、白芨多糖通过抑制NLRP3炎症小体促进糖尿病创面愈合
本研究旨在评估白芨多糖 (BSP) 对糖尿病(DM) 伤口愈合的治疗作用,并探讨其潜在机制。通过高脂饮食联合低剂量链脲佐菌素注射诱导DM小鼠模型。为了建立糖尿病足溃疡 (DFU) 模型,DM 小鼠在背部表面受伤。随后,用载体或 BSP 治疗小鼠 12 天并监测伤口愈合情况。BSP 对白细胞介素-1β (IL-1β)、肿瘤坏死因子TNF-α、巨噬细胞浸润、血管生成、核苷酸结合和寡聚化 (NACHT) 域的激活、富含亮氨酸重复(LRR) 和随后评估了含有脓素pyrin 结构域(PYD) 的蛋白 3 (NLRP3) 炎性体和伤口组织中的胰岛素敏感性。从小鼠中分离和培养的骨髓衍生巨噬细胞 (BMDM) 和心脏微血管内皮细胞(CMEC),并用于研究 BSP 对细胞活力、活性氧 (ROS) 生成、NLRP3炎性体激活和胰岛素的影响暴露于高葡萄糖 (HG) 后的体外敏感性。BSP 给药加速糖尿病伤口愈合,抑制巨噬细胞浸润,促进血管生成,抑制 NLRP3 炎性体激活,减少IL-1β分泌,并改善 DM 小鼠伤口组织中的胰岛素敏感性。在体外,与 BSP 共同处理可防止HG 诱导的 ROS 生成、NLRP3 炎性体激活和BMDMs 中的 IL-1β分泌,并提高细胞活力并降低 CMECs 中的ROS 水平。此外,在 HG 暴露的 BMDMs-CMECs 培养物中,BSP处理抑制了 BMDMs 中的NLRP3 炎性体激活和 IL-1β分泌,并提高了 CMECs 中的细胞活力和胰岛素敏感性。此外,在 HG 处理的 BMDMs-CMECs 中,用IL-1β治疗几乎完全抑制了 BSP 对 NLRP3 炎性体、IL-1β分泌和胰岛素敏感性的有益作用。 BSP 通过抑制 HG 激活的NLRP3 炎性体促进 DFU 愈合。

7、白芨寡糖通过调节高脂饲粮小鼠肠道菌群和肠道代谢产物改善代谢综合征
白芨作为传统中药,以其独特的药理特性被广泛应用于临床治疗。本研究旨在通过调节肠道微生物群和肠道代谢物来研究白芨寡糖 (BO) 在改善代谢综合征中的有益作用。用 BO 治疗 HFD 喂养的小鼠可防止体重增加,逆转葡萄糖耐受不良和胰岛素抵抗,并抑制脂肪细胞肥大。 BO 治疗的小鼠还抑制了慢性炎症并保护肠道屏障免受损害。这些影响与肠道菌群失调的逆转有关,这有助于肠道代谢物的稳态,包括胆汁酸、短链脂肪酸和色氨酸分解代谢物。 BO 或HFD 处理的小鼠肠道菌群的消耗和重建证实了肠道微生物群在调节 HFD 诱导的代谢紊乱中的重要性。我们首次证明 BO 通过调节肠道微生物群和肠道代谢物来改善代谢综合征。由 BO 发起的调节代表了治疗肥胖和相关代谢疾病的有前景的策略。

参考文献:
[1] Xirui He, Xiaoxiao Wang,Jiacheng Fang, Zefeng Zhao, Linhong Huang, Hao Guo, Xiaohui Zheng, Bletillastriata: Medicinal uses, phytochemistry and pharmacological activities, Journalof Ethnopharmacology, 2017, 195, 20-38, doi.10.1016/j.jep.2016.11.026.
[2] Xu, Delin & Pan, Yinchi& Chen, Jishuang. (2019). Chemical Constituents, Pharmacologic Properties,and Clinical Applications of Bletilla striata. Frontiers in Pharmacology. 10.1168. 10.3389/fphar.2019.01168.
[3] Shoubiao Zhou, Xin Peng,Comprehensive evaluation of Bletilla striata and its substitutes by combiningphenotypic characteristic, chemical composition, and anti-melanogenic activity,Phytochemistry, 2022, 195, 113059,doi.10.1016/j.phytochem.2021.113059.
[4] Zhencheng Liao, Rui Zeng,Lingli Hu, Katherine G. Maffucci, Yan Qu, Polysaccharides from tubers ofBletilla striata: Physicochemical characterization, formulation ofbuccoadhesive wafers and preliminary study on treating oral ulcer,International Journal of Biological Macromolecules, 2019, 122, 1035-1045,doi.10.1016/j.ijbiomac.2018.09.050.
[5] Ziyan Chen, Lizeng Cheng,Yichen He, Xinlin Wei, Extraction, characterization, utilization as wounddressing and drug delivery of Bletilla striata polysaccharide: A review,International Journal of Biological Macromolecules, 2018, 120, Part B,2076-2085, doi.10.1016 /j.ijbiomac. 2018.09.028.
[6] Zhao Yan, Wang Qibin, Yan Shan,Zhou Jun, Huang Liangyong, Zhu Haitao, Ye Fang, Zhang Yonghong, Chen Lin, ChenLi, Zheng Tao. Bletilla striata Polysaccharide Promotes Diabetic Wound HealingThrough Inhibition of the NLRP3 Inflammasome. Frontiersin Pharmacology, 2021, 12,DOI.10.3389/fphar.2021.659215.
[7] Baifei Hu, Cheng Ye, ElaineLai-Han Leung, Lin Zhu, Haiming Hu, Zhigang Zhang, Junping Zheng, Hongtao Liu,Bletilla striata oligosaccharides improve metabolic syndrome through modulationof gut microbiota and intestinal metabolites in high fat diet-fed mice, PharmacologicalResearch, 2020, 159, 104942, doi.10.1016/j.phrs.2020.104942.