
固时俗之流从兮,又孰能无变化?
览椒兰其若兹兮,又况揭车与江离?
惟兹佩之可贵兮,委厥美而历兹。
芳菲菲而难亏兮,芬至今犹未沬。
——《离骚》
灵香草是古代熏衣防蛀的香料,但此植物叶为深绿色 fun88乐天堂,花冠为黄色,与“黄叶白花”特征不符,而同属的珍珠菜,叶两面黄色卷毛,花冠白色,外形特征与“揭车”相符,再者,珍珠菜枝叶含精油,《离骚》中以“揭车”比之杜衡,白芷与江离,可知应为战国时代楚地常用的香料药材,综合上述,“揭车”应该就是珍珠菜。

珍珠菜的枝叶,根,种子均有疗效,古今民间方药集中多有记载,可用于治疗月经不调,妇女白带,再生障碍性贫血,痢疾,以及跌打损伤 乐天堂FUN88,咽喉肿痛,急性淋巴管炎,也可医治毒蛇咬伤,唯本植物不见载于主要的草本著作,备受古籍冷落。
此外,近人郭郛的《尔雅注证》,描述“藒车”是唇形科的香青兰类,该属植物中国产约30余种,多生长在高山及半干旱地区 fun88乐天堂官网,东北,华北,西北,西南地区都有分布。

香青兰类的花通常为紫蓝色,许多种类全株芳香,叶密被黄色腺毛 fun88乐天堂官网是什么,但仅白花枝子花,多节青兰的花呈白色,很符合《广志》“黄叶白花”的叙述。
学名:Lysimachia clethroides Duby
科别:报春花科
一年生草本,茎直立,高可达1米,全株被黄褐色卷。叶互生,卵状椭圆形至阔披针形,长6~15厘米,宽2~5厘米,两面亦生黄色卷毛,有黑色斑点;叶缘稍背卷。花总序状,顶生;合瓣花,花冠白色,长约0 乐天堂fun88靠谱吗,5厘米;花梗长0,5厘米;雄蕊稍短于花冠,花丝稍有毛;花柱稍短于雄蕊。蒴果球形,径0,2~0,5厘米。广泛分布于长江以南各省,华北亦产,生长在路旁及山区草坡上。。

《尔雅》里说:“藒(qì)车,乞舆”,是一种香草,生长在海南的山谷里,也产自彭城 fun88乐天堂,高数尺,长黄叶开白花,《楚词》里说:“畦留夷和藒车香,过去的人常常种植,和今天的兰草,零陵香类似,”《齐民要术》里说:但凡各种北木如果被虫蛀食,用藒车香煎熬成汤,晾凉以后浇在树上就可以防止虫害。

《尔雅》上说,藒车,是香草,生长在海南的山谷之中,也出产于彭城,其草可高达数尺 乐天堂FUN88,生有黄色的叶子,白色的花朵,《楚辞》中也提到藒车香在过去人们常常种植,与如今的兰草相似。

珍珠菜(藒车香. 揭车)的化学成分分析 fun88乐天堂官网.
1 fun88乐天堂官网是什么. 顶空固相微萃取-气相色谱-质谱联用法测定珍珠菜中挥发物.
采用顶空固相微萃取(HS-SPME) -气相色谱-质谱(GC-MS)联用技术,首次对珍珠菜叶中的挥发性成分进行了研究。结果表明,从珍珠菜茎中鉴定出14个化合物,从叶中鉴定出13个化合物,从花中鉴定出16个化合物。三个部位共有8个化合物,分别占茎、叶和花中鉴定成分的92 乐天堂fun88靠谱吗,99、94,59和90,32%。三种成分中以柠檬烯为主,含量分别达52,59、54,57和44,98%。结果表明,三种成分的挥发性成分差异不大;这三部分可能具有相同的药理作用,可为进一步开发利用提供一定的理论依据。。
从珍珠菜茎中鉴定出14种化合物,占挥发性成分的99.35%。其主要挥发性成分为柠檬烯(52.59%)、柠檬醛A(13.38%)、柠檬醛B(10.68%)、β-月桂烯(6.16%)。从珍珠菜叶中鉴定出13种化合物,占挥发分的99.99%。主要化合物为柠檬烯(54.57%)、柠檬醛A(14.00%)、柠檬醛B(11.18%)、β-月桂烯(6.32%)。从珍珠菜花中鉴定出16个化合物,主要化合物与茎和叶相同。含量分别为44.98、15.11、11.82和4.95%。柠檬烯、柠檬醛A、柠檬醛B、β-月桂烯、1R-α-蒎烯、莰烯、芳樟醇和石竹烯等主要化合物在叶、茎和花中相互作用,分别占鉴定成分的92.99、94.59和90.32%。三个样品中柠檬烯含量最高。
珍珠菜中鉴定出14种化合物,占茎总油量的99.35%,13种化合物占叶总油量的99.99%,16种化合物占花总油量的99.77%。其中,1R-α-蒎烯、莰烯、β-月桂烯、柠檬烯、芳樟醇、柠檬醛B、柠檬醛A和石竹烯为三个部位共同具有的化合物,共同具有的化合物比例高达90%。柠檬烯含量约为50%,说明茎、花、叶中挥发物的含量差异不大;也许这三部分具有相同的药效。β-月桂烯为无色或淡黄色液体,常有淡香味。它可以用作香料成分。柠檬烯是一种无色液体,具有柠檬香味,可广泛用于食品香料中。因此,认为这两种成分都是花的主要香味,可以作为香料的来源。柠檬烯是一种天然的功能性单萜,在食品中被广泛用作香精香料添加剂。王雪梅的研究表明,柠檬烯对酵母菌和黑曲霉的抗菌能力优于山梨酸钾和苯甲酸钠(Wang et al., 2010)。Wang(2005)的研究发现柠檬烯具有很多药理作用,如止咳祛痰、抗炎、镇痛,尤其是抗癌活性较强。广泛应用于医药工业。因此,柠檬烯是否是止咳平喘的有效成分还有待进一步研究。
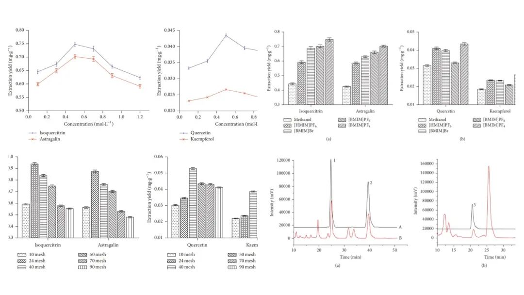
2、离子液体提取法提取的珍珠菜黄酮:高效液相色谱法及抗氧化活性测定
采用超声波辅助提取-反相高效液相色谱法,以离子液体为提取溶剂,建立同时测定珍珠菜叶中异槲皮苷、黄芪苷、花中槲皮素、山奈酚含量的方法。同时,对不同提取物的抗氧化活性进行了评价。色谱柱为Purospher STAR RP-C18 (4.6 mm × 250 mm, 5?m),柱温为25∘C,流动相流速为0.6 mL⋅min−1。检测波长为360 nm。流动相a和b分别为乙腈-0.4%磷酸(18:82,v/v)、甲醇(a)和0.4%磷酸(b)。异槲皮苷、黄芪苷、槲皮素和山柰酚的线性范围分别为0.068 ~ 1.64、0.060 ~ 1.44、0.0080 ~ 0.19和0.0077 ~ 0.18?g。4个成分的平均回收率分别为99.17%、98.39%、100.68%和98.81%。采用DPPH、ABTS、FRAP检测提取物的抗氧化活性。在优化条件下,所有试验溶液均表现出一定的抗氧化活性,且离子液体提取物的抗氧化活性优于甲醇提取物。以离子液体为提取溶剂,可有效提取珍珠菜中的活性成分,提高其抗氧化活性,结果准确可靠。

建立了基于离子液体的超声波辅助提取法,提取了异槲皮苷、黄芪苷、槲皮素和山奈酚。与常规甲醇萃取相比,所提方法具有更高的萃取效率。结果表明,该方法简便、快速、绿色、有效。通过真空蒸馏、膜过滤、盐析和液-液萃取等方法回收液体。该方法具有独特的性质,在中草药样品制备中具有广阔的应用前景。
珍珠菜(藒车香,揭车香)的药理活性
1、珍珠菜黄酮对大鼠肝微粒体细胞色素P450、CYP2E1和CYP3A4活性的影响
建立体外培养体系,研究珍珠菜中槲皮素、山奈酚、异槲皮苷和黄芪苷对大鼠肝微粒体CYP2E1和CYP3A4活性的影响。在培养体系中加入不同浓度的4-硝基酚、睾酮和黄酮类化合物的探针底物。孵育后,采用有效的高效液相色谱(HPLC)方法分离测定相关代谢物。结果表明,山奈素对CYP2E1的抑制作用弱,IC50为60.26-2.54µM,而槲皮素和山奈素对CYP3A4的抑制作用中等,IC50分别为18.77-1.69µM和32.65-1.32µM。异槲皮苷和黄芪苷对CYP2E1和CYP3A4活性均无影响。由此推测槲皮素和山奈酚对CYP2E1和CYP3A4活性的抑制作用可能是珍珠菜具有肝保护作用的关键成分。

采用体外大鼠肝微粒体培养法,研究了珍珠菜中槲皮素、山奈酚、异槲皮苷和黄芪苷对CYP2E1和CYP3A4活性的影响。综上所述,山奈酚对CYP2E1有弱抑制作用,而槲皮素和山奈酚对CYP3A4活性有中度抑制作用。由此可以推测珍珠菜的有效保肝成分为槲皮素和山奈酚,它们对CYP2E1和CYP3A4的活性具有抑制作用。降低CYP2E1和CYP3A4活性可减轻CCl4的生物转化,防止肝损伤物质的产生,发挥肝脏保护作用。当然,体内和体外的活性可能有所不同,对上述推测的进一步验证需要通过体内实验来完成。
2、珍珠菜提取物可减轻脂多糖刺激的Raw 264.7巨噬细胞和急性肺损伤小鼠模型的炎症反应
在中国和其他亚洲国家,珍珠菜(Lysimachia clethroides Duby (LC))是一种用于治疗水肿、肝炎和炎症性疾病的传统中草药。本研究从体外细胞系和体内急性肺损伤(ALI)炎症动物模型两方面探讨了LC提取物的抗炎作用及其机制。采用脂多糖(LPS)刺激的Raw 264.7小鼠巨噬细胞研究LC提取物对炎症介质如一氧化氮(NO)和促炎细胞因子表达的调控作用。采用Western blotting或ELISA技术估计蛋白水平。采用RT-PCR法分析干扰素(IFN)-β的产生。采用脂多糖诱导的ALI小鼠体内模型,研究LC提取物的作用。采用高效液相色谱(HPLC)指纹图谱技术对提取物中的活性成分进行评价,并与对照品进行比较。LC提取物预处理对Raw 264.7细胞中脂多糖刺激的NO释放、白细胞介素(IL)-1β和IL-6的产生呈剂量依赖性。LC提取物抑制脂多糖刺激的IRF3和STAT1磷酸化。此外,体内实验表明,在脂多糖诱导的ALI小鼠模型中,LC提取物抑制免疫细胞向肺的浸润和支气管肺泡灌洗液(BALF)中促炎细胞因子的产生。我们的结果表明,LC提取物通过调节关键的炎症机制来减弱脂多糖刺激的巨噬细胞的炎症反应,为其传统应用于各种炎症疾病的治疗提供了科学支持。

最近,来自植物的天然产物显示出巨大的民族药理学重要性,被列为治疗各种过敏性和炎症疾病的首选。珍珠菜,通常被称为鹅颈黄松果,来自于报春花(Myrsinaceae)科,是一种药用草药,在中国和其他亚洲国家使用了几个世纪,用于治疗水肿、肝炎和炎症。药理方面,LC被报道具有抗癌作用。然而,LC在抗炎作用中的作用尚未阐明。基于LC在炎症中的应用的传统声称,我们旨在提供LC是否会抑制巨噬细胞活化的科学证据,并进一步探索其潜在的分子机制。我们还评估了LC对脂多糖诱导的ALI小鼠模型的体内抗炎作用。
本研究表明,LC提取物通过下调iNOS表达和IL-1β、IL-6等促炎细胞因子抑制NO的产生。NO是一种关键的炎症介质,急性和慢性炎症均存在NO的过量产生,NO和iNOS的水平与炎症程度显著相关。
巨噬细胞可以被脂多糖激活,脂多糖通过酶iNOS产生过多的NO。最近的研究表明,诱导iNOS需要受到脂多糖刺激RAW 264.7细胞后产生的次级细胞因子的刺激,这些次级细胞因子包括IFN-α/β,以及负责诱导iNOS的IFN信号。在本研究中,LC抑制脂多糖诱导的IFN-β的产生。结果表明,LC抑制脂多糖诱导的IFN-β的产生可以部分降低NO的产生。
TLR4可以触发MyD88依赖和/或TRIF依赖的信号通路。在MyD88依赖的通路中,有两种信号级联反应发生:一种是通过NF-κB通路,另一种是通过MAPKs通路。NF-κB作为一种可诱导的转录因子发挥着重要作用,对调节促炎细胞因子的表达至关重要。MAPKs在细胞生长和分化中发挥重要的调节作用,控制细胞对促炎细胞因子和应激的反应以及NF-κB活性。JNK和p38 MAPK通路可被促炎细胞因子(IL-1β和TNF-α)、微生物产物(如LPS)或细胞应激激活。然而,细胞外信号- ERK通路被有丝分裂刺激激活。在本研究中,LC提取物显著增加了JNK的磷酸化,并略微增加了IκB-α的降解。因此,LC处理后JNK磷酸化水平的增加和IκB-α的降解可导致TNF-α分泌的增加。
在TLR3和4信号通路中,炎症因子的诱导需要依赖于TRIF信号通路。在转录因子IRF3的激活和NF-κB的晚期激活中,TRIF依赖的信号通路起着关键作用。激活的IRF3进入细胞核,诱导IFN-β的表达。IFN-β通过I型IFN受体和受体相关激酶如Jak1和Tyk2以自分泌/旁分泌的方式作用于转录因子STAT1的酪氨酸磷酸化。单独将STAT1磷酸化为酪氨酸701 (Y701)足以产生具有DNA转录活性的STAT二聚体,并调节iNOS、IL-1β和IL-6,但不能调节TNF-α。在本研究中,LC提取物通过抑制IRF3磷酸化显著抑制lps诱导的IFN-β的产生。IFN-β分泌的减少导致STAT1磷酸化的抑制。因此,通过下调IFN-β的产生抑制STAT1的激活,iNOS、IL-1β和IL-6的表达水平可能受到抑制。
Poly(I:C)是dsRNA的合成模拟物,是在RNA和DNA病毒复制过程中产生的一种病原体相关分子模式(PAMP),并根据其定位被不同的受体识别。poly(I:C)加入培养基后,主要由内体定位的TLR-3感知,导致TRIF依赖的信号激活和I型IFN和炎症细胞因子的产生。在本研究中,LC处理抑制了poly(I:C)对RAW 264.7细胞的激活以及随后增加的促炎细胞因子如IFN-β和TNF-α的产生,表明提取物也抑制了poly(I:C)诱导的TRIF信号通路。
通过气管途径给药的实验性脂多糖已被广泛用于体内炎症的生物学和病理生理学研究。ALI(Acute Lung Injury, 急性肺损伤)及其最严重的表现为急性呼吸窘迫综合征(acute respiratory distress syndrome, ARDS),是一种以急性低氧血症性呼吸衰竭、双侧肺浸润伴水肿为特征的临床综合征。ALI的特点是毛细血管通透性增加,促炎细胞因子,肺泡水肿,以及循环炎症细胞包括中性粒细胞的涌入。在我们的研究中,我们发现LC提取物显著降低了脂多糖诱导的肺细胞浸润,免疫组化技术证实了这一点。在各种免疫细胞中,中性粒细胞在ALI中的重要性得到了研究的支持,这些研究表明,中性粒细胞的减少可以消除或逆转肺损伤。我们发现,LC提取物显著降低了BALF中的总细胞水平和中性粒细胞募集。这些发现可能部分解释了总细胞和中性粒细胞的减少可能会阻止动物发生ALI。
多种炎症介质参与了ALI。其中TNF-α和IL-6被认为是天然免疫反应中最重要的炎症介质。IL-6是一种公认的炎症介质,在ALI患者和感染性休克动物模型中上调。最近的一篇报道认为IL-6是诱导与ALI相关的心血管功能障碍的关键效应分子之一,在气道合成的IL-6易位进入体循环,导致了这种心血管功能障碍。一旦暴露于脂多糖中,由于肺的通透性增强,使IL-6容易进入体循环,因此肺成为全身IL-6的主要来源。在ALI中,IL-6减少了脂多糖给药小鼠气管内TNF-α的释放。同样,LC治疗降低IL-6可导致TNF-α产生增加。
LC含有芦丁、异槲皮素等多种黄酮类化合物。早期研究表明芦丁和异槲皮素具有抗炎活性。HPLC指纹图谱分析显示,不同的紫外吸收条件和保留时间下,LC提取物具有显著的峰。因此,本实验中使用的LC提取物的抗炎活性可能与其有效成分异槲皮苷和芦丁有关。
总之,我们的研究表明,LC提取物抑制NO和促炎细胞因子如IL-1β和IL-6在脂多糖刺激的RAW 264.7细胞中生成。LC提取物还通过抑制中性粒细胞浸润和降低IL-6的产生,减轻了脂多糖诱导的小鼠ALI模型。根据我们目前的结果LC介导的体外和体内抗炎作用可能是由调节关键的炎症机制而产生。这是第一份提供科学证据证明LC在传统医学中用于治疗各种炎症性疾病的研究。

参考文献
[1] Jin-Feng Wei, Zhen-hua Yin and Fu-De Shang. Volatiles in theLysimachia clethroides Duby by head space solid phase microextraction coupledwith gas chromatography-mass spectrometry (HS-SPME-GC-MS). African Journal ofPharmacy and Pharmacology, 2012,6(33): 2484-2487. DOI: 10.5897/AJPP12.713.
[2] Jin-feng Wei, Zhi-juan Zhang, Li-li Cui, and Wen-yi Kang. Flavonoidsin Different Parts of Lysimachia clethroides Duby Extracted by Ionic Liquid:Analysis by HPLC and Antioxidant Activity Assay. Journal of Chemistry, 2017,Article ID 2080738, 10 pages. Doi. 10.1155/2017/2080738.
[3] Zhi-Juan Zhang, Zhao-Yang Xia, Jin-Mei Wang, Xue-Ting Song,Jin-Feng Wei and Wen-Yi Kang. Effects of Flavonoids in Lysimachia clethroidesDuby on the Activities of Cytochrome P450 CYP2E1 and CYP3A4 in Rat LiverMicrosomes. Molecules 2016, 21, 738; doi:10.3390/molecules21060738.
[4] Do-Wan Shim, Ji-Won Han, Xiao Sun, Cheol-Hun Jang, SushrutaKoppula, Tack-Joong Kim, Tae-Bong Kang, Kwang-Ho Lee, Lysimachia clethroidesDuby extract attenuates inflammatory response in Raw 264.7 macrophagesstimulated with lipopolysaccharide and in acute lung injury mouse model,Journal of Ethnopharmacology, 2013, 150(3):1007-1015, doi.10.1016/j.jep.2013.09.056.