新闻动态
News
行业新闻

香精与香料(132)—莳萝 (fun88乐天堂)

2022年05月30日中外香料香精第一资讯浏览量:0

莳萝(“莳”音时)(学名:Anethum graveolens,英语:dill)又或称刁草,是伞形科莳萝属中唯一的一种植物,为一年生草本植物,原生于西亚,后西传至地中海沿岸及欧洲各地,现今地中海和东欧为主要的生产地,外形类似茴香 fun88乐天堂,高度约为一至四英呎高,黄色小花呈伞状分布,叶为针状分针,闽南语称为“茴香仔”。

香精与香料(132)—莳萝

特征及名字的由来

属伞形科的一年生草本植物,地中海,南俄罗斯,伊朗,印度北部一带是其原产地,植株外型与茴香相似,但茴香气味较甜,而莳萝则有较明显的辛香味,叶片,茎,果实的香气具有温和的辛香味,这是由于莳萝含有丰富的苯丙素及三萜类化合物,另外,根据5000年前书于纸莎草纸之上的古埃及文献记载,可知莳萝曾被当作药用植物,语源来自斯堪第纳维亚语的dilla,意指“镇定”,“缓和”,“安慰”,因莳萝本身具有缓和疼痛的镇静作用 乐天堂FUN88,此外,莳萝还可用来治疗头痛,健胃整肠,消除口臭,为糖尿病及高血压等疾病患者的减盐料理增添风味,让夜啼的幼儿趋于平静等多种效果。

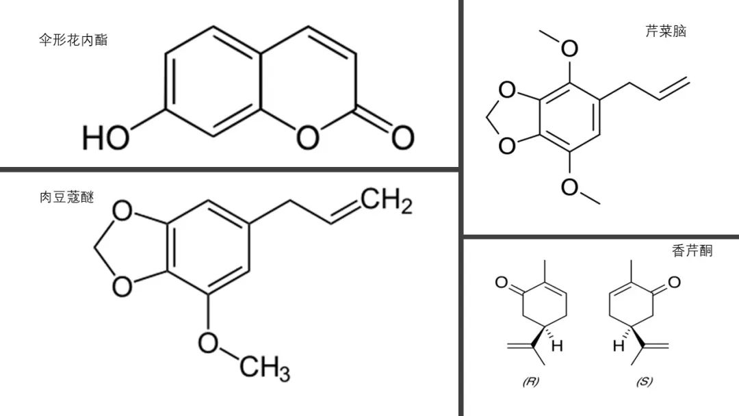
有效成分

芹菜脑. 香芹酮. 肉豆蔻醚. 伞形花内酯 fun88乐天堂官网.

其中,芹菜脑(Apiole) 是一种苯丙烯,也称为 apiol,parsley apiol 或 parsley camphor,它的化学名称是1-烯丙基-2,5-二甲氧基-3,4-亚甲二氧基苯,它存在于芹菜叶和欧芹所有部分的精油中,莱比锡的药剂师海因里希·克里斯托夫·林克(HeinrichChristoph Link)于 1715 年发现了这种物质,它是欧芹油蒸汽还原后形成的绿色晶体,1855 年,Joret 和 Homolle 发现apiol 是治疗闭经或月经不足的有效方法 fun88乐天堂官网是什么

香芹酮(英语:Carvone)是一种单萜类有机化合物,分子式为C10H14O,香芹酮是许多精油中的天然产物,但在葛缕子(Carum carvi),留兰香(Mentha spicata),莳萝(Anethum graveolens)的种子油中含量最丰富,香芹酮是一种重要的香料,它广泛应用于食品工业和化学工业中,特别是牙膏,硬糖 乐天堂fun88靠谱吗,口香糖和各种饮料中,香芹酮的合成具有重要的经济价值。

肉豆蔻醚(Myristicin)是一种天然存在于常见草本植物和香料中的化合物,最广为人知的是肉豆蔻(nutmeg),它是一种杀虫剂,并已被证明可以提高其他杀虫剂的组合效果 fun88乐天堂

伞形花内酯也译为伞形酮(英语:Umbelliferone 乐天堂FUN88,也称为7-羟基香豆素,7-hydroxycoumarin)是一种天然的香豆素类化合物,最早发现于伞形科植物,因而得名,有抗氧化活性,可用作防晒油。

香精与香料(132)—莳萝

鱼之香草

莳萝的香气比香芹更强烈一些,有点清凉味,温和而不刺激,辛香甘甜,适合搭配鱼类,贝类和蔬菜类的料理,也适合加入蘸酱中,厨师常常拿以腌制海鲜类,尤其适用于鱼类料理,可令鱼肉更滑嫩清鲜,故莳萝被称为“鱼之香草”,在极为流行的三文鱼菜式中 fun88乐天堂官网,就可窥见莳萝的身影。

香精与香料(132)—莳萝

  莳萝有很多别名,如洋茴香 fun88乐天堂官网是什么,小茴香及上茴香等,原产于地中海地区和俄罗斯南方,早于5000年前已有古埃及文献记载,在欧洲,莳萝是很常见的香草植物——墨绿色的根茎叶,素朴的小黄花和小小的果实。

香精与香料(132)—莳萝

 

  莳萝虽小,却具有较好的药用价值,早在几千年前,埃及人就懂得使用莳萝来止头痛,而早期的欧洲人更是将莳萝视为幸运植物,做成护身符带在身上,在欧美传统民俗疗法中,人们也会用莳萝来对付失眠 乐天堂fun88靠谱吗,头痛,消化不良及口臭等问题。

莳萝的一身都是宝,莳萝花可供观赏,而莳萝的叶和籽均可被当做香料。它们虽是同根生,但味道和用途却不尽相同。

  莳萝叶可直接用作汤、色拉、肉类等菜肴中的配菜。德国厨师就非常倾向于用莳萝叶来炖煮食物。在经典的越南菜式——越南汤河粉里,莳萝叶更是汤底的绝对参演角色。它清新的味道堪比薄荷,可去除口中异味,同时又觉得齿颊留香,余味无穷。至于莳萝何以会在千里以外的越南汤河粉中找到,相信与越南曾是法国殖民地有关,这亦令越南汤河粉与其他河粉截然不同。

香精与香料(132)—莳萝

 

莳萝籽的味道比莳萝叶浓郁,略带淡淡的苦味,适合撒在烤菜之上再送入烤箱,也适合撒在沙拉调味汁中。莳萝籽磨粉后,还可用作香辛料,添加在调味汁、红肠、面包、咖喱粉或腌渍品中调香。如北欧人会将莳萝籽加到面包或蛋糕之中,他们也会拿莳萝籽来帮醋调味。而在印度当地,莳萝籽会用在咖喱粉中。

烹调,用以去除腥味,此外也用于在汤类、泡菜、面包以及腌制食物等。其果实和种子,在尚未成熟时采收使用,可以提炼成精油食用,也可以经过晾晒干燥处理成为香辛料;其叶子(又称作莳萝草)亦作为香草料,可以新鲜食用,也可以干燥加工,气味幽香,常用于鱼类烹饪。

莳萝的传播史

莳萝在我国的应用历史至少应该在1600年以上。

在晋朝裴渊所著的地方志文献《广州记》中,有这样一段记载:“生波斯国。马芹子色黑而重,莳萝子色褐而轻,以此为别。善滋食味,多食无损。即不可与阿魏同食,夺其味也。”这说明,早在晋朝,人们已经对孜然(即马芹子)和莳萝这两种来自波斯的调味香料有了清晰的认识,并准确掌握了两者的性味特征。

香精与香料(132)—莳萝

美国东方学者托尔德·劳费尔在《中国伊朗编》一书中,通过词源学的考据,推测“莳萝”一词出自中古波斯语。这可能说明莳萝是从中古波斯通过陆路传入我国的。唐代中药学家陈藏器在《本草拾遗》一书中所记载的内容:“莳萝生佛誓国,实如马芹子,辛香。”书中提到的佛誓国指的应该就是室利佛逝国,那是7-13世纪位于印度尼西亚苏门答腊岛的一个古国。这可能说明在唐代莳萝从印度尼西亚等东南亚地区再次传入我国。

在北宋药物学家苏颂的《图经本草》中,对莳萝有这样的记载:“今岭南及近道皆有之。三月、四月生苗,花实大类蛇床而簇生,辛香,六、七月采实。今人多用和五味,不闻入药用。”这说明,莳萝从东南亚传入我国南方后,曾一度在岭南地区得到较为广泛的普及;不过,当时的人们还只是把莳萝当成调味料,并没有认识到它的药用价值。

南宋一位名叫林洪的美食家,在其著作《山家清供》中对莳萝在菜肴烹饪中的应用方法给出了具体记载。《山家清供》收录了104道菜谱,其中的“玉灌肺”和“满山香”两道菜都使用莳萝作为调味香料。“玉灌肺”的做法据称来自皇宫御厨,可谓当时流行的“羊灌肺”的素食版。“满山香”的做法则来自林洪的好友郑渭滨,其具体做法是:在煮菜羹的最后一步,把莳萝粉、姜末、椒末、茴香粉和油、酱一起放进去,然后盖上锅盖焖煮,就能得到香飘满山的效果了。

到了元代,莳萝在美食烹饪中的应用更是达到空前的高度。在当时的一部佚名书籍《居家必用事类全集》中,收录了400多道食物的做法,其中有26道使用莳萝,涵盖制酱、腌咸菜、腌肉、做肉脯、造荤素鲊、凉拌菜等各种做法,甚至在最后一种名为“天厨大料物”的复合香料配方里,也出现了莳萝的身影。

有关莳萝的药用史

早在公元前1500年左右,古埃及人就已经懂得将莳萝作为防腐剂使用;同时,他们还将莳萝列为止痛药的处方之一。古希腊人也认识到莳萝具有安神的作用,因此,他们喜欢在睡眠之前把莳萝的叶片覆盖在眼睛上,其目的就是使自己能够安然入睡。

香精与香料(132)—莳萝

在我国五代时期的药学文献《日华子诸家本草》中,对莳萝就已有“健脾,开胃气,温肠,杀鱼肉毒。补水脏及壮筋骨,治肾气”的记载。祖籍波斯的唐末五代本草学家李珣也在《海药本草》中记载了莳萝的功效为“主膈气,消食,温胃,善滋食味,多食无损”。

及至明代,著名医药学家李时珍通过大量引用前人记述,在《本草纲目》中对莳萝的药用价值做了较为详尽和全面的记录,指出莳萝的果实味辛、性温,具有开胃健脾、散寒止痛、杀虫消食、调气止呕的功效,可定腰齿之疼,解鱼肉之毒,使这种外来的中药材得到了应有的重视。在李时珍之后的诸多明清药物学文献中,有关莳萝的记述开始较为频繁地出现。

在我国民间,人们常用莳萝给处于哺乳期的女性催奶,或治疗小儿肠胃不适。考究一点的,还会将莳萝的种子炒熟后磨碎,用温热的黄酒调成膏状,趁热敷在疼痛的地方,一天换三次药,当日就可有效缓解症状。另外,用温酒送服炒熟的莳萝果实,可以治疗腰部扭伤疼痛。新疆的维吾尔族群众也常用莳萝子治疗多种疾病。

现代医学证明,经过提炼的莳萝精油具有舒缓和收敛的特质以及抗痉挛的特性,能用来治疗多种疾病,并且能有效地消除紧张,平缓情绪,缓解头疼眩晕,减轻因过度紧张而不停流汗的现象。需要注意的是,由于莳萝含有刺激性化学成分,应避免在孕妇和婴幼儿身上直接使用莳萝精油。

莳萝常见的食材搭配

烟熏鱼、海鲜、羊肉、牛肉、鸡肉、蘑菇、豆类、甜菜根、胡萝卜、黄瓜、土豆、鸡蛋、辣椒等。

在食物料理中,莳萝草常用于俄罗斯,中欧,东欧,和亚洲风味的一些菜肴中,在不掩盖食材本身的基础上来增添香气。

在中欧就有一款大名鼎鼎的莳萝泡菜,在熟食店或超市都能买到。

香精与香料(132)—莳萝

莳萝草在西餐中最常见的烹饪搭档应该就是鱼和海鲜类了,不仅能去除腥味还能增添特别的香气。在东南亚,莳萝的也是很常用的一味香草。在泰国有一道莳萝鸡汤,莳萝的用量几乎是当成了正常的蔬菜而不是香草。

莳萝含有丰富的维生素A和维生素C,能够有效的帮助失眠。另外,对于打嗝、腹泻、月经、和呼吸系统疾病也有良好的改善作用。可以提高免疫力和对抗炎症,能够预防关节炎。

莳萝的现代研究进展

1、莳萝在糖尿病治疗中的作用

有证据表明,莳萝(Anethum graveolens (AG))已在亚洲传统医学中使用了几个世纪,其成分对控制和管理糖尿病和心血管疾病有有益的作用。莳萝有很多有用的作用,包括降血脂和降糖作用,有报道称它可以降低糖尿病并发症的发生率。它主要通过影响抗氧化能力和改变葡萄糖和脂质通路中的某些基因起作用。本文就莳萝在糖尿病治疗中的药理作用作一综述。为了准备这篇综述,作者使用了Scopus、PubMed和Web of Science对药理和植物化学文献进行了调查。此外,还使用了一些历史和民族药理学文献。这篇综述计划为读者提供莳萝的药理作用的评估,特别是在糖尿病方面。该论文强调了莳萝的治疗效果,这将有助于支持其在糖尿病和心血管疾病管理中的安全使用。

香精与香料(132)—莳萝

中草药具有多种关键成分,如黄酮类化合物、萜类化合物、皂苷、多酚、单宁、生物碱和多糖,它们具有各自的治疗特性。使用中草药并不是什么新鲜事。中草药特别是莳萝具有许多有用的特性,包括抗高脂血症、抗高胆固醇血症、抗糖尿病、抗癌、抗氧化、抗应激、抗分泌、心脏保护、解痉和利尿作用。此外,流行病学实验报告了莳萝消耗与糖尿病和心脑血管疾病(CVD) 进展风险之间的反比关系。最近的文献强烈支持这样的建议,即食用莳萝对人类和动物都有显着的抗糖尿病作用。根据报道的莳萝的抗糖尿病作用,可建议用于糖尿病患者的管理。然而,多样化的制剂、莳萝的剂量、莳萝的消耗时间以及与其他药物的相互作用必须标准化。需要更多的研究来识别莳萝的特定成分,这些成分对其大部分有价值的特性负责。虽然莳萝的所有成分都具有抗氧化、降血糖和降血脂的作用,但这些成分在莳萝中含量较低,可能具有协同作用。此外,研究结果表明 LDL-R、PPAR-α 和其他 FA 氧化相关基因的激活以及 HMG-CoA 还原酶的抑制有助于莳萝的降血脂作用。

2、莳萝(Anethum sowa) 的植物药理学、植物学和上市制剂研究综述

莳萝是伞形科的一种种植面积巨大的芳香植物,广泛用于药用制剂和不同的调味品菜系。这种植物是南欧当地的一种植物,被称为莳萝,原产于挪威的莳萝,意思是具有抚慰和治愈的能力。植物化学调查显示,黄酮类、糖苷类、生物碱、维生素、矿物质、蛋白质和精油均存在。本文着重介绍了其植物化学研究、药理活性及民族药理学特性等方面的重要信息。经研究表明,该植物具有抗糖尿病、抗菌、抗氧化和细胞毒、降血糖和造血潜能、杀虫活性等药理活性。整个植物具有重要的药用价值,值得进一步探索和研究,为未来的药用前景奠定基础。

香精与香料(132)—莳萝

莳萝作为重要的传统药物的使用促进了不同商业药物的制造,将莳萝列为制药行业的重要草药植物。它含有几种重要的药理活性化学成分,可用于不同的制药目的。莳萝中存在的植物成分具有巨大的潜在效力,已分离出各种可能与其药理活性有关的植物化学物质,因此需要进行广泛的植物化学、药理学、适当的标准化和临床试验研究,以探索新药的开发将来用于治疗许多疾病。

3、黑糯米和莳萝的组合提取物改善代谢综合征条件下的中风后认知障碍

尽管代谢综合征 (MetS) 中风后认知缺陷增加,但治疗策略仍然有限。由于氧化应激和神经炎症在上述病症的病理生理学中起着至关重要的作用,因此基于它们的抗氧化、抗炎和神经保护作用以及协同效应概念,考虑了稻和莳萝组合提取物的认知增强作用。通过使用高碳水化合物高脂肪饮食(HCHF 饮食),体重 180-220 g 的雄性 Wistar 大鼠出现代谢综合征样状况。然后,通过闭塞右侧大脑中动脉诱导脑缺血再灌注损伤,并以0.5、5和50 mg/kg BW每天一次的剂量用黑糯米和莳萝的联合提取物(OA提取物)治疗21天。在整个实验期间,每 7 天评估一次大鼠的空间记忆能力。在研究结束时,测定了大鼠海马中神经元和胶质纤维酸性蛋白(GFAP-)阳性细胞密度、氧化应激状态、AChE 和促炎细胞因子(TNF-α、IL-6)的表达。结果表明,本研究中使用的所有剂量的 OA 提取物显着改善了记忆力,同时降低了 MDA、TNF-α、IL-6、AChE 和 GFAP 阳性细胞的密度,但增加了海马中的神经元密度。总之,OA 是代谢综合征条件下中风后记忆障碍的潜在认知增强剂。可能的潜在机制可能部分通过降低氧化应激状态、GFAP-阳性细胞密度和神经炎性细胞因子如 TNF-α 和 IL-6 以及抑制海马中的 AChE 活性而发生。这项研究表明,OA 是改善认知增强剂的潜在功能成分。但是,还需要进一步的临床研究。

香精与香料(132)—莳萝

目前的研究清楚地表明,黑糯米和莳萝或OA联合提取液是改善代谢综合征患者缺血性卒中后认知障碍的功能成分。可能的潜在机制涉及多靶点,包括氧化应激和神经炎症水平的降低以及AChE活性的抑制。有趣的是,OA还具有神经营养作用,可以抑制海马gfap阳性细胞的表达。基于上述OA对多种蛋白的调控作用,OA诱导的表观遗传调控效应值得进一步探讨。

香精与香料(132)—莳萝

4、以莳萝叶提取物为还原剂合成的生物相容性银纳米颗粒增强了米特福辛的防利什曼功效

尽管有化疗,但利什曼病没有有效的治疗方法。鉴于推荐的治疗方案是药物毒性和临床耐药性产生的原因,探索一种有效的给药方法可能是减少药物剂量和毒性的选择之一。本研究旨在研究以莳萝叶提取物为还原剂合成的纳米银颗粒(AgNPs)对米特福辛抗利什曼病活性的增强作用。采用单步法合成AgNPs,并通过紫外可见、x射线衍射(XRD)、傅里叶变换红外光谱(FTIR)对其进行表征,了解其表面的晶体结构和官能团。TEM分析表明,合成的AgNPs平均尺寸为35 nm。通过MTT实验,我们发现AgNPs (20 - 100 μM)在本质上具有生物相容性,其对巨噬细胞的活性为80%。此外,单独的AgNPs (50 μM)对利什曼原虫的前乳期并没有表现出反利什曼作用,但与米特福辛(12.5 μM和25 μM)联合使用时,可将米特福辛的利什曼作用放大约2倍(即AgNPs可使米特福辛的IC50降低约一半)。通过扫描电镜观察,发现米特福辛与AgNPs (50 μM AgNPs + 12.5 μM 米特福辛)联用对前乳细胞形态畸变和基因组DNA片段的增强作用。类似地,该组合可能通过减少感染的人巨噬细胞内的寄生虫生长,略微增强(p = 0.057)米特福辛(2.5 μM)利什曼灭虫效果。

香精与香料(132)—莳萝

5、壳聚糖纳米基质中的莳萝精油包封:对体外释放行为、感官特性和作为潜在递送载体的功效的研究,以防止水稻 (Oryza sativa L.) 生物变质

本研究首次报道了壳聚糖纳米基质(Nm-AGEO)包封莳萝精油,以增强其抗黄曲霉毒素、抗氧化和抗储藏水稻生物变质的原位效应。GC-MS分析显示,AGEO的主要成分为莳萝芹菜脑(33.79%)、香芹酮(27.19%)和柠檬烯(13.76%)。通过扫描电子显微镜(SEM)、x射线衍射(XRD)和傅里叶变换红外光谱(FT-IR)对纳米AGEO进行表征,证实了AGEO被壳聚糖成功包封。双相缓释模式反映了生物活性物质的可控挥发,有助于延长贮存食品的保质期。纳米- AGEO对真菌麦角甾醇生物合成造成了显著的损害,并增强了重要离子的泄漏,表明质膜完整性的不稳定。纳米AGEO抑制黄曲霉毒素诱导剂甲基乙二醛的生物合成,证实了其抗黄曲霉毒素的新作用机制,为利用绿色转基因技术开发抗黄曲霉毒素水稻品种提供了新的思路。纳米AGEO可诱导抗氧化防御酶(SOD、CAT)和非酶防御生物分子GSH、GSSG的损伤,揭示其生化作用机制。通过对含有Omt-A和Ver-1基因的香芹酮和柠檬烯的在体模型分析,揭示了黄曲霉毒素抑制的分子机制。纳米AGEO处理水稻样品对黄曲霉毒素B1污染和脂质过氧化有明显的保护作用,但不改变其感官特性。此外,壳聚糖制备的AGEO纳米乳剂体系在哺乳动物系统中具有良好的安全性和非植物毒性,值得食品行业关注,因为其配方是潜在的绿色防腐剂。

香精与香料(132)—莳萝

参考文献

[1] Mohammad Taghi Goodarzi, IrajKhodadadi, Heidar Tavilani, Ebrahim Abbasi Oshaghi, "The Role of Anethumgraveolens L. (Dill) in the Management of Diabetes", Journal of TropicalMedicine, vol. 2016, Article ID 1098916, 11 pages, 2016. https://doi.org/10.1155/2016/1098916

[2] Singh, S., Khalid, M., Arif, M. et al.A review on phyto pharmacological, botanical and marketed formulation studiesof Anethum sowa. ADV TRADIT MED (ADTM) 20, 485–493 (2020). https://doi.org/10.1007/s13596-020-00487-x

[3] Ohnon W, Wattanathorn J, Thukham-Mee W,et al. The Combined Extract of Black Sticky Rice and Dill Improves PoststrokeCognitive Impairment in Metabolic Syndrome Condition. Oxidative Medicine andCellular Longevity. 2019 ;2019:9089035. DOI: 10.1155/2019/9089035. PMID:30937145; PMCID: PMC6413387.

[4] Suresh K. Kalangi, A. Dayakar, D.Gangappa, R. Sathyavathi, R.S. Maurya, D. Narayana Rao, Biocompatible silvernanoparticles reduced from Anethum graveolens leaf extract augments theantileishmanial efficacy of miltefosine, Experimental Parasitology, Volume 170,2016, Pages 184-192, https://doi.org/10.1016/j.exppara.2016.09.002.

[5] Das, S., Singh, V.K., Dwivedy, A.K. etal. Anethum graveolens Essential Oil Encapsulation in Chitosan Nanomatrix:Investigations on In Vitro Release Behavior, Organoleptic Attributes, andEfficacy as Potential Delivery Vehicles Against Biodeterioration of Rice (Oryzasativa L.). Food Bioprocess Technol 14, 831–853 (2021).https://doi.org/10.1007/s11947-021-02589-z

服务热线

177-5061-9273

添加微信咨询

添加微信咨询