新闻动态
News
行业新闻

调香笔记(4)——硫化物在蔬菜和蘑菇香气中的作用

2022年11月01日中外香料香精第一资讯浏览量:0

在食物金字塔的底部是蔬菜,它应该是所有食品中最经常食用的,尤其是生的和未加工的形式,蔬菜和蘑菇是丰富的生物活性化合物的来源,可以在植物中实现各种功能 fun88乐天堂,从防止食草动物和作为天然杀虫剂,到促进人类营养健康的功能,许多这些化合物的结构中都含有硫,从食品生产者的角度来看,了解其中一些具有风味属性是极其重要的,挥发性硫化合物通常是强大的气味,在许多蔬菜中,主要属于十字花科和葱科,硫化合物决定了它们特定的味道,有趣的是,在蔬菜中形成挥发性硫化合物的一些途径也在选定的食用蘑菇中发现,最重要的具有气味活性的有机硫化合物可分为异硫氰酸酯,腈,环硫腈类,硫醇,硫化物和聚硫化物,以及其他的,如含硫羰基化合物和酯,r-L-半胱氨酸亚砜,最后是在香菇或松露中发现的杂环硫化合物,本文综述了它们的前体和生物合成,以及它们的感官特性和在选定的工艺过程中的变化。

调香笔记(4)——硫化物在蔬菜和蘑菇香气中的作用

十字花科蔬菜

前言

蔬菜的摄入在维持人体内稳态中起着至关重要的作用,因为植物组织中存在着生物活性化合物,硫是保证植物和人类可持续发展的基本元素,来自植物的氨基酸,如蛋氨酸和半胱氨酸,是人类饮食中硫的主要来源,蔬菜含有维生素 乐天堂FUN88,多酚,纤维和微量营养素,是日常饮食所必需的,有助于预防慢性疾病[2,3],含硫化合物通常存在于芸苔属蔬菜中,如西兰花,卷心菜和花椰菜,或葱属蔬菜中,如大蒜,韭菜和洋葱,有机硫化合物的结构是以硫原子与氰酸酯基团或碳原子以链或环的形式结合为基础的,存在于葱属植物中的生物活性化合物是烷基半胱氨酸亚砜;硫-烷基半胱氨酸;硫代亚磺酸酯;二烯丙基二硫;单硫化物,二硫化物和三硫化物;而对于十字花科蔬菜,最大的一组是硫代葡萄糖苷(GLSs),它们的分解产生异硫氰酸酯(ITCs)[4],GLSs在植物中同样重要的作用是它们的自我保护策略,食物保护的第一种机制是通过释放ITCs来驱除害虫,而昆虫天敌的吸引力则与丁腈[5]的作用有关,根据GLSs降解的条件,如附加辅助因子和蛋白质的存在,金属离子的存在或pH值,有可能获得其他重新排列的产物,即环硫腈类,腈,恶唑烷-2-硫酮和硫氰酸酯[6],挥发性硫化合物对上文讨论的芸苔属和葱属蔬菜的特有香气有重要贡献,通常是它们的主要气味之一,这使它们成为一组非常独特的植物代谢物,从风味化学和分析角度来看都很有趣,因为它们的多样性,低气味阈值,不稳定性和反应性。

调香笔记(4)——硫化物在蔬菜和蘑菇香气中的作用

虽然蘑菇类风味通常与8碳不饱和醇和酮有关(主要是1-辛烯-3-醇,3-辛酮,1-辛烯-3-酮),但硫化合物也是一些蘑菇的重要成分,特别是香菇和松露,本文将对此进行讨论,与香菇不同的是,由于价格昂贵,松露被用作食物调味品而不是蔬菜 fun88乐天堂官网,杂环有机硫化合物提供燃烧的,硫磺,洋葱样,橡胶样和松露样的气味[7,8],虽然人们食用蘑菇主要是为了它们的感官特征,特别是香气,但它们也是有价值的生物活性化合物的宝贵来源,香菇是一种低能量密度的食物,提供与营养相关的B族维生素和矿物质;它们可能是维生素D2的适当来源,食用它们有一些药用价值,如提高免疫力,松露是膳食纤维,必需氨基酸,金属和麦角硫因的宝贵来源,有许多促进健康的特性,特别是抗氧化,抗炎,抗菌性能,免疫调节,抗肿瘤性能和抗抑郁性能。

硫化物作为代谢物,由于其分子量,稳定性,极性和挥发性的差异,具有不同的化学结构,它们存在于食物中,在工艺过程和储存过程中,可能由于酶和化学反应而形成或改变,由于加热,烟熏,烹调,油炸或烘烤,许多复杂的反应,即氧化,降解,水解,脱水,缩合和脱羧,都可能发生,食物中的挥发性硫化合物(VSCs)可根据其官能团分为几类(表1)[11],硫醇(硫醇)组成了一个具有抗氧化性能的广泛基团,被标记为巯基官能团[12]的一部分,甲硫醇代表母体化合物,由于容易氧化成硫化物(二甲基硫化物,二甲基二硫化物和二甲基三硫化物)[13],进一步氧化硫化物可产生亚砜或砜,硫化合物的种类与硫原子承受不同氧化态的能力有关,在硫化物中为- 2,在亚砜中为0 fun88乐天堂官网是什么,在砜中为+2,除了上述硫代葡萄糖苷分解产生的硫化合物外,一个重要的基团是含硫杂环化合物,具有烟熏,含硫和烘烤香气的噻吩是在热加工过程中产生的,特别是当高浓度的半胱氨酸[15]充分利用了硫的生物利用率时,噻唑啉和噻唑是在美拉德反应的热反应过程中形成的,噻唑与食物[16]中烘烤的香气有关,2-乙酰基-2-噻唑啉是一种重要的香味化合物,检测阈值较低,仅为1 ppm,有一种令人愉快的类似爆米花的,烘烤过的坚果香气[17]。

表1 精选食品中由酶和化学反应(主要是热反应)形成的硫关键气味

调香笔记(4)——硫化物在蔬菜和蘑菇香气中的作用

硫化合物存在于诸如食物这样的复杂基质中,由于它们的浓度往往低于十亿分之一,因此在分析方面是一项挑战,由于感官检测阈值较低,VSCs主要负责食物香气的产生,二烯丙基二硫化物(DADS)是大蒜的香气关键化合物,异硫氰酸烯丙基引起典型的芥末风味,然而,并不是所有的硫化合物都是蔬菜香气的关键呈香物质;其中一些负责整体味道的感官具有细微差别,此外,风味感官冲击依赖于特定食物[27]特定的气味阈值和含量水平,然而,硫化合物对食物香气的产生有重要影响,这也是因为它们是食物中仅次于酯类的第二大挥发性成分(图1),硫化合物可以分为许多不同的类别,包括异硫氰酸酯,腈类,环硫腈类,硫化物,聚硫化物和硫醇,以及大量的杂类化合物 fun88乐天堂

调香笔记(4)——硫化物在蔬菜和蘑菇香气中的作用

图1 根据基于文献[28]的挥发性化合物数据库中食品挥发性化合物。

本研究的主要目的是总结和强调硫化合物在蔬菜和蘑菇香气创造中的基本功能,虽然主要关注的是蔬菜作为硫芳香化合物的来源(主要是葱属和芸苔属),但蘑菇也包括在综述中,因为它们的一些挥发物特征与葱属蔬菜共享,部分形成芳香化合物的途径,综述了硫类芳香化合物及其前驱体的形成,以及它们作为关键风味物质的作用,我们将讨论食品加工,即烹饪,烘烤,冷冻和油炸对硫化合物的影响,除了它们的香气 fun88乐天堂官网,硫化合物在创造蔬菜的风味方面也至关重要,尤其是芸苔属蔬菜;然而,目前的综述仅集中在含硫芳香化合物方面。

2. 挥发性硫化物的前体

2.1 氨基酸

构成每个生命体的蛋白质由20种标准的或典型的氨基酸组成——脂肪族氨基酸,它们是最常见的 fun88乐天堂官网是什么,芳香的和杂环的,其中9种必须通过饮食提供,因为它们不能在人体有机体[29]中产生,氨基酸控制营养调节系统,参与调节血压,可作为燃料和生物合成材料的替代来源,并作为抗氧化剂和保护剂显示出至关重要的作用,特别是当其结构中含有硫时[30,31,32]。

结构中含有巯基的氨基酸——即含硫氨基酸(SAAs)——由半胱氨酸和蛋氨酸[33]表示,植物中半胱氨酸的主要功能是维持从环境中获得的无机硫水平,这种氨基酸是关键生物分子生物合成所需的唯一硫化物供体 乐天堂fun88靠谱吗,特别是抗氧化剂(谷胱甘肽),辅助因子,维生素或防御化合物(硫代葡萄糖苷酸,硫苷,植物抗毒素),蛋氨酸属于必需氨基酸,它决定了生长调节物质(生长素,油菜素内酯和细胞分裂素)[34]的发育,并可能负责其生物合成,它也是生物合成肉碱,半胱氨酸,卵磷脂,牛磺酸和磷脂的重要前体,含硫氨基酸,如蛋氨酸和半胱氨酸,是伴随植物源食物而来的人类饮食中硫的主要来源,据估计,从植物产品中获得的约70%的硫积累在氨基酸[1]中,然而,洋葱科和十字花科蔬菜在氨基酸中积累的硫含量较低,有利于特殊的代谢物(图2)。

调香笔记(4)——硫化物在蔬菜和蘑菇香气中的作用

图2    基于文献[35]的选定蔬菜中硫的分布。

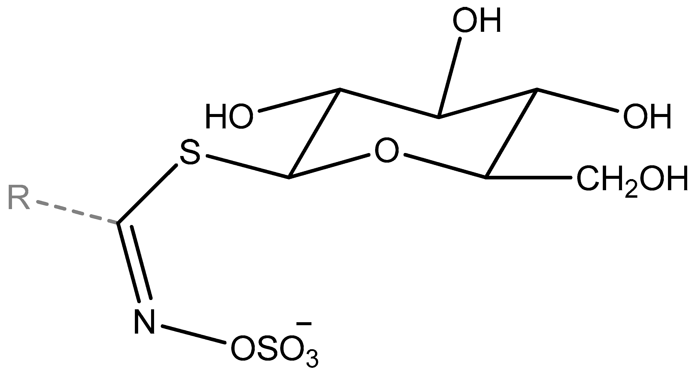
2.2. 硫配糖体

硫代葡萄糖苷是氨基酸衍生的次级代谢物,包含一个硫酸盐和一个硫葡萄糖部分(图3),它们来自特定的氨基酸结构,决定了它们的分类为脂肪族(通常来自蛋氨酸),芳香族(苯丙氨酸和酪氨酸衍生),或吲哚酰基(来自色氨酸),GLSs的生物合成包括三个阶段:(i)长链氨基酸的合成;(ii)所有硫代葡萄糖苷常见的葡聚糖添加物和;(iii)侧链修饰[36],在侧链延伸过程中,甲硫氨酸可以先被拉长成单体,然后是二聚体,最后是三聚体-甲硫氨酸,葡萄糖酮部分的形成始于氨基酸转化为肟,肟形成的起始点是酪氨酸,苯丙氨酸,蛋氨酸(有潜在的链延伸)和色氨酸 乐天堂FUN88,这将生成基本类型的侧链,如表2所示,肟通过酸-硝基化合物被氧化,它作为硫醇供体的受体(最好是半胱氨酸),葡萄糖的活化形式(UDPG,尿苷二磷酸葡萄糖)在s -糖基化过程中被合并形成脱硫硫苷,并在3′-磷酸腺苷-5′-磷酸硫酸盐存在的情况下转移到硫苷中[36,37],关于GLS生物合成的详细描述,可以参考[38]中的全面综述。

调香笔记(4)——硫化物在蔬菜和蘑菇香气中的作用

图3    硫配醣体的结构. R表示侧链 fun88乐天堂官网.

硫配糖体盐(GLSs)是存在于16个双子叶科植物中的天然化合物。如上所述,大量的GLSs存在于十字花科植物中,尽管它们也大量存在于卡帕科和加勒比科植物中。到2012年,大约有132种天然硫配糖体盐被记录在案。植物中硫配糖体的含量取决于植物的器官、种类和蔬菜的发育阶段,例如,西兰花苗的萝卜硫苷浓度是成熟西兰花的10-100倍。

硫配糖体盐是一种非挥发性化合物,它的味道与十字花科蔬菜有关。虽然硫配糖体是无气味的,但它的味道影响了芸苔属蔬菜的特色风味。人们普遍认为苦味与植物[40]中这些含硫化合物的存在有关。然而,目前专注于纯化合物的感官评估和评估其对整体风味贡献影响的研究有限。由于小组成员的个人能力(非品尝者、苦盲者)、数量有限,或缺乏可用于味觉测试的合适和纯粹的标准,硫配糖体的感官评估存在问题。这些原因导致大多数被研究的硫配糖体[41]缺乏味觉描述。已有的研究表明,对硫配糖体苦味的感知存在差异。对四种硫配糖体的味觉评估表明,大多数味觉小组成员(71%的辛酸苷和79%的葡聚糖)品尝出了苦味。然而,就葡萄糖芸苔素和前甲状腺肿素而言,分别只有21%和9%的小组成员表示有苦味。硫配糖体的苦味可以通过应用脱苦工艺来降低,如选择性育种、无苦味品种或定制生长条件[42]。

表2    硫代葡萄糖苷侧链的化学结构[43,44]。

调香笔记(4)——硫化物在蔬菜和蘑菇香气中的作用

根据科学文献,苦味的重要性在于含有甜味的植物成分,如糖和氨基酸。就第一种观点而言,十字花科蔬菜的苦味可以通过含有游离糖(如果糖、半乳糖、葡萄糖或蔗糖)的甜味来减轻。蔬菜的游离糖与硫配糖盐的比例不同;较高的比率值会产生理想的消费者偏好。氨基酸,如丙氨酸、脯氨酸、丝氨酸和苏氨酸,会产生甜味,而亮氨酸和缬氨酸会产生苦味[42]。一些研究表明,甜味氨基酸的含量与减少苦味的影响之间存在关联。然而,蔬菜中氨基酸水平与硫配醣体含量之间的相关性还有待进一步研究。

这部分硫代葡萄糖苷由不变的β-D-巯基硫糖苷-N-羟基硫酸盐和侧链组成,每个硫代葡萄糖苷的侧链是不同的,因为它是八种氨基酸中的一种的衍生物(图3)。根据侧链形成的氨基酸,硫代葡萄糖苷被分为脂肪族(Ala, Leu, Ile, Met, Val),芳香族(Phe, Tyr)和吲哚族(Trp) 葡萄糖苷;然而,侧链通常受到许多修饰,如酰基化、去饱和、伸长、糖基化、羟基化和O-甲基化[43]。所选硫代葡萄糖苷的侧链品种如表2所示。硫配糖体盐的侧链决定了硫配醣体盐经酶降解或热降解后释放的挥发性化合物的性质和结构。

黑芥子酶催化硫配糖体的分解。为了启动水解反应,必须破坏植物组织(咀嚼、切、压、切),因为硫配糖体盐存在于细胞质中,而酶则储存在液泡中。水解降解的第一阶段是β-D-葡萄糖分子的裂解,得到一种不稳定的中间产物,称为苷元。苷元会发生自发的洛森重排反应,导致硫酸盐离子的分离,并取决于以下所述的许多因素(如pH值、Fe2+离子的存在或特殊蛋白质),获得各种芳香硫挥发性化合物,如环硫腈类、异硫氰酸酯、丁腈、恶唑烷-2-硫酮和硫氰酸酯[6,38,45]。

https://www.mdpi.com/1420-3049/27/18/6116/htm

"乐天堂FUN88" 关联香精

服务热线

177-5061-9273

添加微信咨询

添加微信咨询