新闻动态
News
行业新闻

调香笔记(5)——硫化物在蔬菜和蘑菇香气中的作用

2022年11月02日中外香料香精第一资讯浏览量:0

3.蔬菜中含硫挥发物(VSCs)的生物合成

蔬菜中VSCs的形成在葱属蔬菜中得到了广泛的研究,第二组具有重要和丰富的VSCs的蔬菜是十字花科,这两类蔬菜占主导地位,但S-甲基蛋氨酸衍生化合物是在芦笋和其他蔬菜中形成的,葱属植物约有700种 fun88乐天堂,其中大蒜(Allium sativum)和洋葱(Allium cepa)是最重要的蔬菜,主要因其独特的味道而受到赞赏。

洋葱风味的形成包括:(i)酶介导的非挥发性前体的降解;(ii)初级风味化合物的二次反应;(iii)前体的热降解 乐天堂FUN88,半胱氨酸作为一种含硫氨基酸,与谷氨酰胺一起在葱类蔬菜风味化合物的形成中起着至关重要的作用,(+)-S - 烷烃(烯烃)基半胱氨酸亚基(CSOs)及其γ-谷氨酰基肽(γGPs)是主要的非挥发性,无臭的前体[46],关于风味化合物及其前体生物合成的详细综述论文已经发表[46-48]。

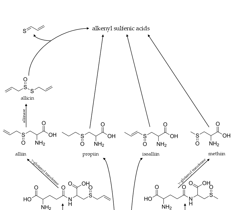
大蒜、洋葱和其他葱属植物含有干重为1-5%的非蛋白含硫氨基酸(SAA)次生代谢物。细胞的破坏导致液泡中蒜氨酸酶(C-S裂解酶)的释放,并与位于细胞质[49]中的S-烷(烯)基-L-半胱氨酸S -氧化物(挥发性化合物前体)发生反应。四种亚砜存在于葱属植物中:S-2-丙烯- L-半胱氨酸亚砜(大蒜素, ACSO), S-(E)-1-丙烯-L-半胱氨酸亚砜(异蒜素,1-PeCSO), S-甲基-L半胱氨酸亚砜(methiin,MCSO,也存在于芸苔属蔬菜中),S-丙基-L-半胱氨酸亚砜(propiin,PCSO)。不同数量的这些前体[47]导致了葱内风味的差异。根据Block的总结,用标记的35SO42-饲喂洋葱植株的实验,含硫的有机酸盐在叶绿体中被还原并同化为半胱氨酸。然后谷氨酸掺入生成γ-谷氨酰胺半胱氨酸,γ-谷氨酰胺半胱氨酸与甲基丙烯酸(缬氨酸)反应生成γ-谷氨酰胺-S-2-羧基丙基半胱氨酸,γ-谷氨酰胺-S-1-丙烯半胱氨酸可依次脱羧生成γ-谷氨酰胺-S-1-丙烯半胱氨酸,随后氧化生成γ-谷氨酰胺-S-1-丙烯半胱氨酸-S-氧化物,并被γ-谷氨酰转肽酶[EC 2 fun88乐天堂官网,3,2,1]裂解为S-(E)-1-丙烯半胱氨酸S-氧化物[47]。。

参与形成葱挥发物——蒜氨酸酶[EC 4,4 fun88乐天堂官网是什么,1,4]——的主要酶是α、β消除裂解酶,催化上述S -氧化物分解为丙酮酸铵和蒜素及其相似物。亚磺酸是一种高度不稳定的化合物,是洋葱化学中酶催化形成的关键中间体。图4总结了磺胺酸酶生成的初始阶段。。

调香笔记(5)——硫化物在蔬菜和蘑菇香气中的作用

调香笔记(5)——硫化物在蔬菜和蘑菇香气中的作用

图4    酶促反应形成葱味化合物的初始阶段,基于[47-49,51] 乐天堂fun88靠谱吗

假设大蒜和洋葱的风味成分主要包括S -烯丙基半胱氨酸亚砜(蒜素),S-烯丙基-半胱氨酸,二烯丙基-,甲基烯丙基-和二丙基单硫化物,二硫化物,三硫化物和四硫化物的硫化物 fun88乐天堂,都是由含硫前体——主要是S-烯基半胱氨酸亚砜(ACSO)通过酶介导的降解过程[48]产生的,大蒜素(C6H10OS2)是大蒜风味的关键分子,负责新鲜切开或碾碎大蒜的典型气味和味道,它占大蒜瓣[50]破碎过程中存在/形成的硫代亚磺酸化合物总量的70% (w/w),大蒜素非常不稳定,很容易转化为二烯丙基硫化物(DAS),二烯丙基二硫化物(DADS),二烯丙基三硫化物(DATS)和二烯丙基四硫化物(DATTS)。

由于葱的初级风味化合物的不稳定性,它们可以分解或缩合成次级风味化合物一这些是从烷基硫代亚磺酸盐中衍生出来的,大蒜素是最好的例子,其对pH值(>11),溶剂和温度敏感,当温度超过50℃时 乐天堂FUN88,它会迅速分解为各种硫化物(主要是二烯丙基二硫化物DADS),有学者研究了在不同水分和温度的模型体系中加热S-甲基-L-半胱氨酸和S-甲基-L-半胱氨酸亚砜,导致这些前驱体[53]挥发性分解产物的形成,有助于热加工的芸苔属和葱属蔬菜的风味形成,这些风味的主要挥发性成分为二甲基硫化物,S-甲基半胱氨酸亚砜(MCSO)降解产物中还检出了三硫二甲基,硫代亚磺酸二甲基,硫代磺化二甲基,二甲基三硫化物被认为是一种过熟蔬菜的不良风味,Li和同事收集了大蒜和洋葱中风味前体的热降解数据,根据这些数据, S-甲基-L半胱氨酸亚砜(MCSO)的主要降解产物是二甲基二硫化物,其次是二甲基三硫化物(120-160℃加热后),S-丙基-L-半胱氨酸亚砜(PCSO)的主要降解产物为异丙基二硫化物和二丙基三硫化物和丙基硫醇,和S-2-丙烯- L-半胱氨酸亚砜(ACSO)的主要降解产物为二烯丙基硫化物(单,二,三,四),甲基硫化物,2-乙酰噻唑,和其他环状化合物(2,5-二甲基-1,4-二噻烷,2-甲基-1,4-二噻烷和其他)[48]。

如前所述 fun88乐天堂官网,在芸苔属植物中形成的含硫挥发性化合物主要来自于其前体——硫代葡萄糖苷的水解和降解,在[5]中讨论了作为硫代葡萄糖苷降解产物的含硫挥发性化合物VSCs形成的详细途径。

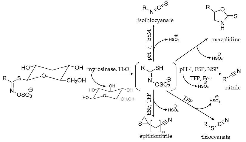
硫代葡萄糖苷的苷元分解与反应条件密切相关,当反应环境为中性或微酸性(pH值为5 ~ 7)时,有利于植物组织中异硫氰酸酯(ITCs)的形成 fun88乐天堂官网是什么,ITCs分子由一个异硫氰酸酯基团(-N=C=S)上连接一个侧链(-R),可以用一般公式R-N=C=S表示(图5)。

调香笔记(5)——硫化物在蔬菜和蘑菇香气中的作用

图5  芸苔属蔬菜中硫代葡萄糖苷(GLSs)水解后主要挥发性化合物基团的形成ESP-上皮硫特异蛋白质;ESM-上皮硫修饰蛋白质;NSP-腈类特异蛋白质;TFP-硫腈酸盐合成蛋白质;R-侧链[6,54]。

有学者提出了在(+)-S - 烷烃(烯烃)基半胱氨酸亚基(CSO)裂解酶作用下,硫代亚磺酸盐和硫代磺酸盐与硫化氢反应而在捣烂的白菜组织中产生甲硫醇和二甲基三硫化物的观点 fun88乐天堂,而二甲基硫化物则是由甲硫代亚磺酸甲酯[51]的化学歧化反应产生的,二甲基二硫通常被检测为新鲜捣烂的卷心菜组织顶空的主要挥发性含硫化合物,被认为是C-S裂解酶水解S-甲基-L-半胱氨酸亚砜(MCSO)的副产物,主要反应产物是甲烷磺酸,它脱水生成更稳定的甲基甲硫代亚磺酸甲酯,与二甲基二硫不成比例,可提出的替代机制涉及在有空气存在的条件下甲烷硫醇氧化为二甲基二硫,二甲基三硫化物的形成是通过S-甲基-L-半胱氨酸亚砜裂解酶与单质硫反应得到的二甲基二硫化物或甲磺酸与硫化氢[51]反应形成的。

Challenger and Hayward(1954)在芦笋中发现了S-甲基甲硫氨酸,并证明它在食物储存/热处理过程中分解为二甲基硫化物,成为煮芦笋、加工番茄、玉米和啤酒风味的一部分(图6)。S-甲基甲硫氨酸在番茄、卷心菜、球茎甘蓝、甜菜根、芹菜和韭菜[55]中被发现的含量为2.8-176毫克/公斤。

调香笔记(5)——硫化物在蔬菜和蘑菇香气中的作用

图6  S-甲基甲硫氨酸的热降解

20世纪70年代,人们在芦笋中鉴定出含硫有机酸,并将其作为芳香化合物的前体[56,57]。它们是1,2-二硫戊环-4-羧酸(芦笋酸),3,3-二巯基异丁酸(二氢芦笋酸)和S-乙酰二氢芦笋酸。研究发现,芦笋中硫化物是在完整的植物细胞中形成的,这在硫化物的形成中是一个例外,硫化物通常是通过酶催化反应形成的。在芦笋中,检测到13种含硫有机酸(其中以芦笋酸为主)和3种酯(1,2-二硫戊环-4-羧酸甲酯为主)。在完成[U-14C]之后,标记实验假设缬氨酸作为起始分子,通过相应的含氧酸、异丁酸和甲基丙烯酸转化为3-巯基异丁酸、3-甲基硫代异丁酸,以及较小程度的芦笋酸[56]。在烹饪过程中,芦笋产生的化合物属于不同的化学类别:硫化合物(17),吡咯,吡啶,吡嗪,呋喃(25),醛(12),酮(15),醇(26),酚(11),内酯(5),酸(10),二甲基硫化物和1,2-二硫戊环-4-羧酸甲酯(分别为3000 ppb和7000 ppb)。

调香笔记(5)——硫化物在蔬菜和蘑菇香气中的作用

蔬菜中的硫化物是由蛋氨酸或半胱氨酸分离或转化其他含硫底物形成的,例如异硫氰酸酯重排反应[58]。例如,属于石蒜科家族的蔬菜在贮藏叶肉细胞的胞浆中含有S-烷(烯)基-L-半胱氨酸亚基,而蒜氨酸酶则被隔离在维管束鞘细胞的液泡中。硫化物的形成机制与硫代葡萄糖苷-黑芥子酶系统的形成机制相似。需要破坏组织才能让酶接触底物,然后产生一系列不稳定的产物。磺胺酸被转化为硫代亚磺酸盐,最后转化为硫化物的复杂混合物,其中单硫化物、二硫化物和多硫化物占主要地位。一些研究表明,硫化物的形成与工业过程所需的高温加热(例如在制备番茄酱或烹饪卷心菜[27]时)之间存在密切关系。工业过程影响的延伸将在以下各段中讨论。

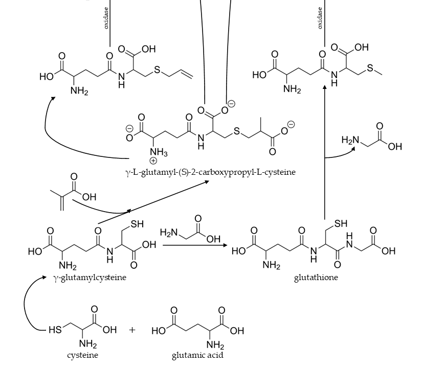
在组织破坏后,蒜氨酸酶与S-2-丙烯- L-半胱氨酸亚砜(ASCOs)反应并裂解其C-S键,获得次磺酸、丙酮酸和氨。众所周知不稳定的次磺酸根据非酶途径(自缩合反应产生硫代亚磺酸盐)和酶机制(例如1-丙烯基亚磺酸催泪因子合成酶(LFS)导致丙硫醛-S-氧化物,最后在水的存在下形成丙醛)进行额外的化学反应。简而言之,一系列有助于产生香气(气味感觉、口感)和葱属植物生物活性的含硫有机化合物是在没有催化次磺酸转化的酶的情况下,从次磺酸中自发获得的[59,61]。图7显示了(+)-S - 烷烃(烯烃)基半胱氨酸亚基(CSOs)中硫化物的形成过程,显示了向催泪因子(在洋葱中,即丙硫醛-S-氧化物)的反应途径,以及导致多硫化物和硫代磺酸盐的简化路径。

调香笔记(5)——硫化物在蔬菜和蘑菇香气中的作用

调香笔记(5)——硫化物在蔬菜和蘑菇香气中的作用

图7    半胱氨酸亚砜(CSOs)在组织破坏后的转化。LFS-催泪因子合成酶[61]。

4. 挥发性硫化合物的主要基团

4.1.异硫氰酸酯(ITCs)

近年来,人们对ITCs的认识有了显著提高。由于对人类健康和研究的兴趣日益增长,有可能了解这些化合物的许多有利的性质。大多数关于ITCs性质的研究都关注于其化学预防和化疗作用[62]。此外,其作为抗菌成分也已被证实,可用于农业植物保护和食品保存[63]。其抗炎作用也已经分别进行了研究,例如烯丙基ITC[64]和苄基ITC[65]。

虽然硫代葡萄糖是不挥发和无味的前体;对于其水解产物ITCs[66],芸苔属蔬菜的刺激性风味与ITCs的存在有关[67]。ITCs有多种独特的香气。化学结构与气味阈值之间存在一定的关系。随着脂肪族分子中碳原子数量的增加,气味阈值降低,但乙基ITC的气味阈值高于甲基ITC。ITCs的化学结构(如脂肪族饱和基团或不饱和基团、芳香、分枝、环和杂)不仅决定了气味阈值,也决定了气味质量。ITCs描述的不明显的气味有甜的、水果的、花的、草药的、蘑菇的,甚至还有鱼味的。在所有记录的气味描述词中,ITCs最常见的是硫、大蒜和刺激性气味[68](图8)。然而,对ITCs气味的感官评估仍然有限,并没有很多研究允许我们比较气味质量和阈值。

调香笔记(5)——硫化物在蔬菜和蘑菇香气中的作用

图8  蔬菜中最常见的气味描述物是异硫氰酸酯(绿色)[68]、腈和环硫腈(蓝色)[26,61-64]

关于ITC味觉特性的数据通常非常有限,如果有的话。它们天然存在于复杂的食物基质中,通常数量很多。ITC结合了它们的香气和味觉的双模态感知活动的文献不多,使得关于它们在滋味形成中作用的许多问题没有得到解答。硫代葡萄糖苷GLSs和异硫氰酸酯ITCs的定量测定和统计分析表明,只有部分化合物与苦味[41]之间存在相关性。

4.2.腈、环硫腈

腈类和环硫腈类是通过不稳定苷元在特定辅助因子(如腈类特异蛋白(NSP)、上皮硫特异蛋白(ESP)或特定环境条件下的重排而产生的[69,70]。腈类和环硫腈类的存在与十字花科作物的食用部位和生长阶段显著相关。异硫氰酸酯(ITC)是最丰富的硫代葡萄糖苷(GLS)水解产生的,如白球甘蓝、萨沃伊卷心菜或球芽甘蓝可食用部分的叶子,而腈类和环硫腈类主要在甘蓝的芽和种子中大量存在[71]。

调香笔记(5)——硫化物在蔬菜和蘑菇香气中的作用

白球甘蓝

调香笔记(5)——硫化物在蔬菜和蘑菇香气中的作用

萨沃伊卷心菜

调香笔记(5)——硫化物在蔬菜和蘑菇香气中的作用

球芽甘蓝

尽管在科学报告中,职业接触腈通常与许多危害健康的疾病(如心血管、胃肠道、肝脏、神经和肾脏)有关[72],但食源性腈也显示出潜在的细胞毒性和基因毒性[73]。芸苔属植物中腈的存在可能与促进健康的作用有关[74]。与ITC及其生物活性相比,人们对腈的了解相对较少。由于与ITC相比,腈的促进健康的活性降低,因此采用了一些策略来选择特定的蔬菜品种。它们的特征要么是降低ESP的活性,要么是提高原生酶芥子酶的活性[70]。

调香笔记(5)——硫化物在蔬菜和蘑菇香气中的作用

目前已知芥子油苷水解反应存在于十字花科植物及其昆虫食草动物中。在完整的植物中,芥子苷和芥子酶是分开储存的。当组织受损时,这两种成分发生接触,黑芥子酶将硫代葡萄糖苷水解为葡萄糖和不稳定的葡聚糖,后者自发重新排列形成ITCs和/或腈。在植物上皮硫特异蛋白(ESP)存在的情况下,侧链末端有一个双键的硫代葡萄糖苷被水解为环硫腈类,其他硫代葡萄糖苷被水解为简单腈。在植物硝酸酯指示蛋白(NSP)的存在下也主要形成腈类,而硫氰酸酯则由某些硫氰酸酯形成硫氰酸酯,硫氰酸酯形成硫氰酸酯蛋白(TFP)的存在下,以含硫氰酸酯植物为食的鳞翅目幼虫具有特殊的生化适应能力。小菜蛾和小恙虫幼虫通过硫代葡萄糖苷硫酸酯酶(GSS)对硫代葡萄糖苷进行脱硫,使其不再被黑芥子酶作为底物。菜青虫幼虫的NSP将水解重定向为简单腈。

与相应的醛相比,腈作为挥发性化合物具有与相应醛相似的气味[75]。蔬菜中发现的腈和环硫腈具有不同的香味,从令人愉悦的草味、草药味、肉汤味到令人难以接受的气味,如刺鼻的、硫磺味或汗味。图8总结了蔬菜中发现的腈和环硫腈最常见的描述符。

考虑到腈类化合物的味道是未知的,学者们还不能确定腈类衍生物如何影响主要蔬菜的味道,如果有的话。目前,我们还没有数据表明腈和环硫腈[41]的苦味达到什么程度。因此,需要进一步的研究,特别是对这些GLS水解产物的感官分析和口感评价。

4.3.硫化物和聚硫化物

食物样品中硫化物挥发物的存在通常与令人不快和不可接受的气味有关。事实上,花椰菜排异反应的原因是二甲基三硫和二甲基硫化物等气味的存在[76]。高浓度的硫化物存在于十字花科和十字花科的蔬菜中[77,78]。不同种类含有丰富有机硫化物的蔬菜具有很强的抗氧化活性,这些重要的生物活性化合物具有抗菌和免疫活性[79]。

调香笔记(5)——硫化物在蔬菜和蘑菇香气中的作用

硫化物在食品感官特性的创造中起着至关重要的作用,这就是为什么许多合成硫化物通常被用作食品香料(超过80种单硫化物、二硫化物和多硫化物)和加工食品添加剂[60]。硫化物也与许多其他产品的异味有关,如饮用水、酒精饮料和果汁[80-83]。硫化物的感官特性彼此相似,因为这些化合物通常以刺鼻的气味和辛辣的味道为特征[26,84,85]。


4.4.硫醇和杂硫化合物

挥发性硫醇主要与各类食品和饮料中的异味有关[86,87]。在硫代葡萄糖苷的分解产物中,硫醇是决定蔬菜尤其是芸苔类蔬菜气味的重要化合物。研究表明,在生西兰花中,甲硫醇和1-戊硫醇是风味稀释因子最高的两种芳香活性化合物。更重要的是,硫醇可以被氧化成相应的硫化物[88]。硫醇也在绿色大头菜中被发现,但不是关键的风味活性化合物[89]。植物对硫醇生物合成的调控意味着植物的氧化还原状态与植物的耐受性有关;然而,到目前为止,有关硫醇的生物化学途径还没有被完全解释[90]。

调香笔记(5)——硫化物在蔬菜和蘑菇香气中的作用

有趣的是,结构中含有硫原子的芳香活性化合物是在松露和香菇中发现的气味剂,其中挥发性化合物通过酶和非酶的方式形成。香菇产生香气的化合物来自脂肪酸途径和氨基酸途径。亚麻酸和亚油酸是脂肪酸途径的前体。它们被脂氧合酶、过氧化氢裂解酶和醇脱氢酶——转化为醛和醇(主要是C6、C8和C9挥发物)。含硫氨基酸的多步氧化和聚合提供了前体物质,即香菇酸,香菇酸是在酶存在下形成杂环硫挥发物的前体物质,特别是γ-谷氨酰转肽酶和CSO裂解酶[91]。从香菇中获得的硫挥发物产生独特的硫香味,与1,2,4-三硫烷、1,2,4,6-四硫烷和香菇精(lenthionine)的存在有关[92]。然而,在松露中,含硫挥发物的来源是复杂的,同时也不清楚。芳香活性化合物可能来自于松露本身,也可能来自于居住在松露子实体中的微生物群。有机挥发性化合物是生物合成的,主要通过硫酸盐还原、氨基酸和脂肪酸分解代谢途径[93,94]。

调香笔记(5)——硫化物在蔬菜和蘑菇香气中的作用

香菇精(lenthionine)是一种环状有机硫化合物,存在于香菇中,部分贡献了香菇的味道。其形成机制尚不清楚,但可能与C-S裂解酶有关。

在许多蔬菜、香菇和松露中都发现了一种有趣的香味化合物,它就是甲硫基丙醛。生物合成从氨基酸甲硫氨酸开始,经Strecker降解转化为甲硫氨酸,其中美拉德反应的中间体与甲硫氨酸相互作用。甲硫基丙醛(Methional)是一种结构中含有硫原子的挥发性化合物,其特征是检测阈值低,其气味的属性被定义为令人愉快,让人联想到煮熟的土豆。此外,甲硫基丙醛还可进一步转化为硫化物和二硫化物化合物[95,96]。表S1(补充文件)列出了主要的芳香硫化合物及其气味属性,代表蔬菜和蘑菇中的不同类别。

调香笔记(5)——硫化物在蔬菜和蘑菇香气中的作用

甲硫基丙醛

调香笔记(5)——硫化物在蔬菜和蘑菇香气中的作用

关联香精

服务热线

177-5061-9273

添加微信咨询

添加微信咨询