新闻动态
News
行业新闻

单离香料的生产方法 (fun88乐天堂)

2022年12月23日香精香料公司浏览量:0

天然香料是多种化合物的混合物,其成分一般多达数百种,在这些天然香料中,如其中某一种成分或几种成分含量较高 fun88乐天堂,根据实际使用的需要常将它们从天然香料中分离出来,称为单离,单离出来的香料化合物称为单离香料,由于成分单纯,香气较原来精油为独特而更有价值。

例如从薄荷油中分出的薄荷脑,在薄荷油中含有75%的薄荷醇,用重结晶的方法从薄荷油中分离出来的薄荷醇就是单离香料,俗名为薄荷脑,从山苍子油中分出的柠檬醛,从丁子香油中分出的丁子香酚,从鸢尾根油中分出的鸢尾酮,具有玫瑰香气的香叶醇 乐天堂FUN88,香茅醇是借用蒸馏法从香茅油中分离出来的具有单个结构且利用价值高的化合物。

单离香料的香气和质量比普通天然香料稳定,在调香中使用起来很方便 fun88乐天堂官网,另外,单离香料是合成其他香料和有机合成的重要原料。

随着石油化工和有机合成技术的发展 fun88乐天堂官网是什么,许多单离香料化合物可以用有机合成的方法制备,有的甚至成本更低,由于单离香料属于天然香料,并且是可再生资源,随着人类回归大自然的呼声的增高和人们对香料安全性的日益关注,单离香料的生产更加受到重视。

单离香料生产方法分为两大类,物理方法(分馏,冻析和重结晶)和化学方法(硼酸酯法 乐天堂fun88靠谱吗,酚钠盐法,亚硫酸氢钠法),其具体生产实例介绍如下。

单离香料的生产方法

1.分馏法

分馏是从天然香料中单离某一化合物最普遍采用的一种方法 fun88乐天堂,例如从芳樟油中单离芳樟醇,从香茅油中单离香叶醇,从松节油中单离α-蒎烯,β-蒎烯等。

分馏法生产的关键设备是分馏塔 乐天堂FUN88,为防止分馏过程中受热温度过高引起香料组分的分解,聚合,相互作用,故均用减压蒸馏。

2.冻析法

冻析是利用低温使天然香料中某些化合物呈固体状析出,然后将析出的固体状化合物与其他液体状成分分离,从而得到较纯的单离香料 fun88乐天堂官网,例如从薄荷油中提取薄荷脑,从柏木油中提取柏木脑,从樟脑油中提取樟脑等。

以从薄荷油中单离薄荷脑为例,将其工艺流程简单归纳,如下图所示 fun88乐天堂官网是什么

单离香料的生产方法

3.硼酸酯法

硼酸酯法是从天然香料中单离醇的主要方法,例如芳樟油,玫瑰木油中均含有80%左右芳樟醇,粗芳樟醇与硼酸或硼酸丁酯反应,能生成高沸点的硼酸芳樟酯 乐天堂fun88靠谱吗,经减压蒸馏除去低沸点的有机杂质,剩下高沸点的硼酸芳樟酯,经加热水解使醇游离出来,再经减压蒸馏即可生成纯芳樟醇和硼酸沉淀。

生产过程如下:

单离香料的生产方法

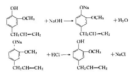
4.酚钠盐法

在丁香油中含有80%左右的丁香酚,经分馏后可分离出粗丁香酚。向粗丁香酚中加入氢氧化钠水溶液,可生成溶于水的丁香酚钠。经分离除去不溶于水的有机杂质后,再用硫酸溶液处理,即可分离出不溶于水的丁香酚。其反应原理和生产过程如下:

反应原理:

单离香料的生产方法

生产过程:

单离香料的生产方法

5.亚硫酸氢钠法

山苍子油中含有约80%的柠檬醛,在桉叶油中含有约70%的香茅醛,在桂皮油中含有约70%的肉桂醛,为了制取精醛产品,经常采用亚硫酸氢钠加成法。

例如,香茅油中约含有40%的香茅醛,分离香茅油便可得到粗香茅醛。粗香茅醛与浓度为35%亚硫酸氢钠发生加成反应,可生成磺酸钠盐沉淀物,经过滤将其分离出来后再用氢氧化钠水溶液处理可得纯香茅醛。

单离香料的生产方法

单离香料的生产方法

含有双键的醛与大量的亚硫酸氢钠直接反应时,双键与亚硫酸氢钠发生加成反应,会有稳定的二磺酸盐加成物生成,该二磺酸盐用碱或酸处理不再转变成醛。为防止二磺酸盐加成物的生成,故在一般操作时常用亚硫酸钠、碳酸氢钠和水的混合溶液代替亚硫酸氢钠。其生产过程如图

单离香料的生产方法

服务热线

177-5061-9273

添加微信咨询

添加微信咨询