新闻动态
News
行业新闻

香海拾贝(3)—2000-2020年的香气流行趋势 (乐天堂fun88靠谱吗)

2022年04月19日中外香料香精第一资讯浏览量:0

什么是流行的 fun88乐天堂,什么不是:过去20年中香气分子化学的发展趋势.

Nicolas Armanino, Julie Charpentier, Felix Flachsmann, Andreas Goeke, Marc Liniger, and Philip Kraft

Givaudan Schweiz AG, Fragrances S&T, Ingredients Research, Kemptpark 50, 8310 Kemptthal, Switzerland.

 

6.花香型香气分子

6.1新的铃兰材料

铃兰醛(Lilial)(BMHCA fun88乐天堂官网是什么,Lysmeral,84)的估计用量超过10000 t/a,成为一系列二氢肉桂醛中的头号成分(图10),它在20世纪40年代最先来源于仙客来醛(83),已被用于所有类别,如香水,洗涤剂,洗发水,洗漱用品和家用清洁剂。

香海拾贝(3)—2000-2020年的香气流行趋势

图10,铃兰醛(84)和部分经典二氢肉桂醛带有山谷百合般的气味,85-90与仙客来醛(83)有关,是第一种作为商业芳香剂的铃兰醛。 乐天堂fun88靠谱吗

在观察到雄性大鼠的生殖毒性效应后,巴斯夫公司在2008年将铃兰醛(84)归类为CMR 2(即怀疑对人类具有致癌,致突变或生殖毒性潜力),在接下来的几年里,更多的毒理学研究促使消费者安全科学委员会(SCCS)提出了这样一个观点,即铃兰醛作为化妆品中的香味成分,需要进行一定的限制,即在化妆品的保留和冲洗应用中使用,[66]此外,欧洲化学局(ECHA)于2019年完成了铃兰醛的统一危险分类和标签审查,得出结论,要求CMR 1b标签最有可能在2022年初生效,这将导致自动禁止在化妆品和个人护理产品中使用,关于男性生殖毒性机制的广泛研究已在其他地方发表,[67]铃兰醛(84)的生殖毒性是由叔丁基苯甲酸(p-tBBA,93)引起的,叔丁基苯甲酸是由铃兰醛酸的β-氧化形式的辅酶A加合物92(91,方案7)在体内形成,[68]烷基苯甲酰辅酶A的偶联物在大鼠肝细胞(HEP)中的积累与与结构相关的芳香醛在体内的不良反应存在着可靠的普遍相关性,这种92的积累依赖于物种 fun88乐天堂,在人类肝细胞中不存在。

香海拾贝(3)—2000-2020年的香气流行趋势

方案7,铃兰酸(91)在体内降解为p-tBBA(93)。 乐天堂FUN88

自2008年以来,食品和食品行业对铃兰醛(84)更安全替代品的研究显著加强,大多数发现项目都集中在非芳香成分上,并推出了一些新的山谷百合样香气的原料94-98(图11),除了Aquaflora(95)之外,[69]丙醛侧链是一种重要的气味载体,即使在95年,醛渗透载体到桥头原子的距离也是C3,以4,4-二甲基环己烷-4-醇为原料,分三步合成了具有醛,花,西瓜味的Tillenal(94),[70] Starfleur(96)带有强烈的青香和花香,由异丁基苯甲醛通过Müller–Cunradi–Pieroh反应制备,然后对中间芳香缩醛进行氢化并水解为化合物96,[71]Lilybelle(97),最近被发现可从可再生的[6]二氢柠檬烯环氧化合物中获得,[72]非芳香的铃兰醛Mugoxal(98)早些时候被认为与铃兰醛(84)相似,但更新鲜,脂肪感更少,花更多,它由2-溴乙基-1,3-二氧戊环与4-叔丁基环己酮经过格氏反应制备,[73]此外 fun88乐天堂官网,芳香族醇类化合物 Lilyflore(99),[74]以及Hivernal Neo(86)[75],含羞草醛(100)[76]和Josenol(101)[77]也被提出作为铃兰醛(84)的替代品,“浓厚感”和“奶油香气”是铃兰醛最重要的香气特征,因为它们尤其是在织物护理应用中,提供温暖舒适的感觉,[78]。

香海拾贝(3)—2000-2020年的香气流行趋势

图11 fun88乐天堂官网是什么, 新颖且大多为被限制的铃兰香气香气分子,以取代铃兰醛(84)。。

在基于人类肝细胞的体外试验中,对大量铃兰香气的原料进行了筛选,以形成p-tBBA(93)及其类似物。令人惊讶的是,发现邻甲基能有效阻止氢化肉桂醛降解为p-tBBA。[68]对“神奇甲基群”的适当定位[79](图11)导致了Nympheal(102)[78,80]的发展,这是一种类似现代山谷百合的原料,具有菩提花和白睡莲(Nymphea alba L,)温暖的香气。Nympheal(102)不像铃兰醛那样有任何的生殖毒性。它在“金色女人”(Kilian,2017)中首次亮相,最近在“Kimoji Cherry”和“Kimoji Peach”(Kim Kardashian West,2018)中也被用于增强奶油感。 乐天堂fun88靠谱吗

另一种重要且安全的铃兰醛是Florhydral(90)。由于其β-甲基取代基,它不能降解为相应的苯甲酸代谢物。发现其(S)-对映体更有效(0,03 ng/L),[81],并报告了几种通向(+)-(S)-90的路线(方案8)。List等人使用有机催化不对称反离子导向(ACDC)转移氢化法对103进行氢化,使用Hantzsch酯作为氢化物供体。[82]Alexakis[83]和Shibata[84]的团队详细阐述了活化的α、β-不饱和羰基化合物109和105的三甲基铝不对称共轭加成,具有高达令人印象深刻的99 fun88乐天堂,5%ee选择性,但需要额外的步骤来再生醛基官能团。此外,巴豆醛与芳基硼酸的对映选择体通过Hayashi–Miyaura偶合被用于合成更具实质性的 Florhydral(90)衍生物,其中(S)-106被证明是最强大的(0,03 ng/L空气)和持久的。[85]。

香海拾贝(3)—2000-2020年的香气流行趋势

方案8,(S)-Florhydral [(S)-90] 及其衍生物(S)-106对映选择体的合成。 乐天堂FUN88

2011年,SCCS建议停止使用另一基准的铃兰香气原料,新铃兰醛(Lyral)(109,图12),因为它具有高致敏性。[86]随后,欧盟委员会将Lyral添加到化妆品和个人护理产品的禁用物质清单中,这将导致欧洲禁止使用。Ohloff等人[87]提出的气味相关性已经存在详细的结构,很快就有了更安全、性能更好的替代品的建议。醛110在2014年被描述为主要的4-取代异构体,结构特别强韧。[88]羟基化Nympheal类似物111于2017年提出申请[89],其气味阈值极低,为0.01 ng/L空气。

香海拾贝(3)—2000-2020年的香气流行趋势

图12. 新铃兰醛Lyral(109)和其他铃兰香气香气分子。

专利文献中还介绍或描述了几种线性醛。其中,羟基醛Mahonial(112)于2014年推出,具有浓密、持久花香和青香的木格调。[90]例如,该成分为“Nomade”(Chloé,2018)或“L'Homme Prada”(Prada,2016)提供了天然的白色花卉效果。此外,人们还提出了一种实用的方法来处理这种水样花香,1,9-羟基醛113是通过向油酸酯中添加彻底的甲基氯化镁,然后进行臭氧分解而制备的。[91]这种化合物有一种天然的花香味,气味阈值为0.38ng/L空气。白铃兰[(3S,6E)-115]是由100%生物基β-法尼烯(301,参见方案36)制备而成的,[92]它是一种可再生原料,由包括木糖在内的木质纤维素糖的无转基因发酵制成。[93]二氢法尼醛(rac-115,阈值11ng/L空气)最早被Rome Kaiser描述为具有马蹄莲以及柑橘、百合和兰花香气的一种成分。[94]另一种醛114,被描述为豆蔻,山谷百合样香气[95],也可以通过氧化β-法尼烯(301)作为可再生原料来合成。在花香新鲜度方面,Cristalfizz(116)的氧化醛值得一提。[96]未来主义新潮的“我是天才”(Paco Rabanne,2019年)以纸币的金属特征为特色。最后,为了合成新的檀香香气分子,人们意外地发现,Fleurenal(117)的气味更像是铃兰花香,而不是木香。[52]

6.2修正过的铃兰嗅觉载体模型

不存在天然的主要铃兰香气原料,但合成香料材料羟基香茅醛及其不同寻常的质子供体-质子受体单元可以很好地传达山谷百合花的印象。由于这一点以及它们为香水提供奶油般厚度的重要性,铃兰香气原料长期以来一直是结构-气味相关性的研究对象。在之前的综述中,[1]讨论了“Pelzer片段”,并将其组合在一个嗅觉载体模型中。随着对新的铃兰香气原料的密集搜索,产生了更多的数据,可以进行根本性的修改。图13中的嗅觉团模型来自57种铃兰醛的阈值数据。[78]

香海拾贝(3)—2000-2020年的香气流行趋势

图13.铃兰醛(84,黑色)、含羞草醛(100,银色)和3-(4-异丁基-2-甲基苯基)丙醛(Nympheal)(102,金色)与修正后的铃兰醛类嗅觉载体模型结合。

有趣的是,初始模型的两个疏水性几乎完全对应于图13中修正模型的疏水性I和II。第三种疏水部分被排除体积抵消,但指向3-(4-异丁基-2-甲基苯基)丙醛 Nympheal(102)“神奇甲基”群。到氢键受体的距离分别为6.3Å(疏水I)、10.5Å(疏水II)和5.7Å(疏水III)。在排除体积之外,可以放置阻止氧化酶降解的取代基,并且 3-(4-异丁基-2-甲基苯基)丙醛Nympheal(102)的“神奇甲基”位于这样的位置(图13)。关于铃兰醛和铃兰醇是否有一个独立的受体的问题基本上是无关紧要的,因为这是气味感知的组合代码。然而,在排除羟基醛后,铃兰醛模型的可预测性增加。[78]

6.3新玫瑰和玫瑰酮

玫瑰酮是1-(环己烯基)-丁-2-烯-1-酮的一个家族,具有不同程度的不饱和度和可变取代度。[97]同分异构的α-、β-和γ-大马士革酮以及β-大马士革烯酮[(E)-1-(2',6',6'-三甲基环己酮-1',3'-二烯-1'-基)-丁-2'-烯-1'-酮]是在20世纪60年代末由Ulrich Säuberli, ErvinKováts及其同事在保加利亚玫瑰油中发现的。在过去的40年里,从“Nahema”(娇兰,1979年)和“毒药Poison”(迪奥,1985年)的第一次过量开始,玫瑰酮成为重要的潮流引领者。由于其低气味阈值和吸引人的成本,使得异亚丙基丙酮与戊间二烯的Diels-Alder反应作为关键步骤成为可能,[98]δ-大马士革酮(118,图14)成为该家族中的畅销产品,尤其是因为其在洗涤剂和消费品中的使用。事实证明,很难用新材料挑战这些已确立且成功的成分,尽管这样做的原因有很多:皮肤致敏导致使用限制,β-大马士革酮的成本特别高。图14显示了一些有趣的候选香气分子。虽然δ-大马士革酮衍生物119的合成很简单,[99]但其性能还不够令人信服。螺环δ-大马士革酮衍生物120具有非常强烈的大马士革酮气味,阈值极低,为4 pg/L,[100]但其化学合成过于复杂,不利于经济生产。由于硅被认为是一种更重、更笨重、更易极化的碳生物同构体,因此将硅[101]转换为硅螺环类似物121(X=Si)。有趣的是,这种化合物只有一种非常微弱的、果香的玫瑰香气,大约是化合物120的900倍。它也不稳定,在化合物121的硅杂螺silaspiro[4.5]系统中经历了简单的布鲁克重排进入硅杂螺silaspiro[4,7]循环。[102]最近,α′-甲基衍生物122被描述具有强烈的花香和干果香气。[103]甲基通过降低肽反应活性,有效地降低了大马士革酮的限制性皮肤致敏能力。[7,8]

香海拾贝(3)—2000-2020年的香气流行趋势

图14. 大马士革酮同分异构体的新发展。

香海拾贝(3)—2000-2020年的香气流行趋势

方案9. 氢原子转移(HAT)到香气分子128。

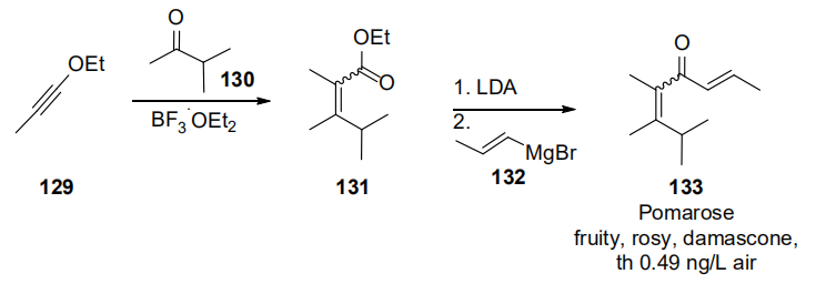
事实证明,引入新的藏红花酸酯更容易,新的成分,如Firascone(123)[104]和 Kajitsu Ester(124)[105]作为稳定和非致敏的大马士革酮类成分推出。还报告了两种结构相关的巴豆酸酯:非手性化合物125,其中围绕碳酸盐功能的空间体积降低了水解不稳定性和皮肤致敏风险[106],以及以Cosmofruit的名称引入的seco-衍生物126。[107]值得注意的是,通过Baran等人[109]报告的改性氢原子转移反应,使用聚甲基氢硅氧烷(PMHS)作为廉价氢源,高效合成了大马士革酮同分异构体128[108](方案9)。然而,一种易于生物降解且结构创新的新型大马士革酮同分异构体可能会上市:Pomrese(133)。该材料的最初合成是通过路易斯酸催化乙氧基丙炔(129)与异丙基甲基酮(130)以45:55的平衡(Z/E)-比率加成到中间体134(方案10)。[110]有趣的是,(2E,5Z)-异构体产生了强烈的果香,而(2E,5E)-异构体对大多数人来说是无味的。作为一款开环的大马士革酮同分异构体,Pomrese(133)更为顶级,例如,它为“100万”(Paco Rabanne,2008)和“传奇”(Montblanc,2011)提供了一个特殊的香韵。

香海拾贝(3)—2000-2020年的香气流行趋势

方案10. Pomrese的首次合成(133)

图15显示了蔷薇科植物的进一步有趣发展,显示了其巨大的结构多样性。环己基木兰醇(134)[111]和Symrose(135),[112]是通过现成的起始材料加氢制备的,用于化妆品和家庭用途。芳香化合物Cyclofloranol(136)具有玫瑰、铃兰的香气,让人想起含羞草(100,图11)。此外,还提出了新的玫瑰氧化物羟基化衍生物--Florol[113]类似物[1],例如Mugane,合成的戊基吡喃醇137,具有铃兰、玫瑰花香和青香。[114]在这种情况下,需要注意的是,已经实现了一种非常有效的对映选择性异Diels-Alder方法,使用亚氨基双膦酰亚胺酯(IDPI)与醛和二烯烃反应合成玫瑰氧化物。[115]Rosyfolia(138)是由多米诺克莱森-克普排列,然后还原和环丙烷化而成;138中较强的反异构体具有强烈的玫瑰香气,阈值非常低,为0.028ng/L空气。[116]Rosyfolia(138)曾出现在“Missoni”中(Missoni,2015)。相同的相对构型赋予芳香变种140强烈的玫瑰花香。[117]有趣的是,非环丙烷成分Pomelol(139)不是玫瑰花香,而是柑橘、葡萄柚香气。这种易于生物降解的化合物是由多米诺-克莱森-考普重排[118]制造的,其合成符合绿色化学的12条原则中的大部分。[6] 另一种具有扩散性和高浓度的玫瑰、桃子样香气的香气分子,其气味阈值非常低,为0.04ng/L,并以茚酮为基础反应得到的141最近被提出。[119]不饱和酮142作为玫瑰香气的香气分子[120]获得专利,该香气分子已被确定为菠萝香气的一种成分。此外,Peonile[121]激发了具有玫瑰、荔枝样香气的邻位甲基衍生物Petalia(143)[122]和类似衍生物的发展,如非芳香化合物144[123],表现出天然的玫瑰、果香和青香特征香气。以乳酸基双酯为基础的Roseolate(145)具有果香、玫瑰和天竺葵花香。[124]

香海拾贝(3)—2000-2020年的香气流行趋势

图15.具有商业价值的新型玫瑰和柑橘香气的香气分子化合物

6.4前体:从黄昏到黎明的多汁花香

香味前体是一项新兴技术,通过缓慢释放高影响香气分子来提高衣物和头发的质量[1]。[125,126]目标香气分子的选择不仅决定嗅觉结果,还决定可能的释放机制。大马士革酮是理想的目标,因为它们具有美丽而强烈的水果花香,并具有2-丁烯-1-单侧链,容易与杂原子亲核试剂反应。第一个进入市场的前体是聚乙烯亚胺Lupasol和δ-大马士革酮(118)之间的反应产物。[127]随后,介绍了十二烷硫醇与δ-大马士革酮的共轭加成产物,即所谓的卤素D(146,方案11),[128,129]及其与乙氧基半胱氨酸的2:1共轭物(通过氮和硫的 1,4-加成),得到Scentaurus Berry(148)[130]。这两种化合物在纤维上的沉积速率和韧性都比游离香气分子高得多,并在几天内通过1,4-消除释放δ-大马士革酮(118)。一个有趣的观察结果是月桂醛(147)的伴随释放,这可能是硫醚侧链的Pummer型氧化降解造成的。[131]然而,由于其高感知阈值,147对嗅觉的贡献很低。在卤素D(146)上市七年后,Herrmann等人与浙江大学的一项联合研究探讨了146的类似物在织物调节剂应用中的改性含硫侧链。2-巯基丙酸取代146中的巯基十二烷残基后,尽管其对数P降低(3.8 vs.9.5)且沉积速率降低三倍,但在3天的线干燥后,释放的δ-大马士革酮(118)是卤素D(146)的两倍。[132]

香海拾贝(3)—2000-2020年的香气流行趋势

方案11. δ-大马士革酮(118)和4-MMP(150)前体(香味释放中断裂的键用红色表示)。

空气中发生的γ,δ-S–C键前所未有的均裂断裂导致4-巯基-4-甲基-2-戊酮(4-MMP,150)作为Scentaurus Juicy(149)的主要香气载体释放。[133]4-MMP(150)是成熟和多汁的重要香气成分,存在于许多水果中,包括黑醋栗、西番莲、芒果和葡萄柚。与游离形式的4-MMP(150)相比,前体149更通用,更易于用于香水。通过设计具有富电子烯烃的前体,从环境空气中用分子氧形成芳香醛和酮成为可能(方案12)。对称二乙烯基醚151)[134]释放 波洁洪醛Bourgeonal(85)、对(叔丁基)苯甲醛和对(叔丁基)苯乙醛,这是瞬时形成的过氧化氢及其重排产物的典型霍克式裂解模式。[135]酚醛二烯烃152是一大类芳基取代烯烃中的一员,当暴露于空气中时,其有效地释放取代苯甲醛和苯乙酮以及脂肪族醛。[136]152同时释放(3Z)己烯醛(154)和乙基香兰素(153),产生持久的天然兰花香味。此外,这种前体为(3Z)己烯醛(154)的内在不稳定性问题提供了一个优雅的解决方案,它阻止了这种纯天然青香的使用。

香海拾贝(3)—2000-2020年的香气流行趋势

方案12.作为芳香醛和酮前体的富含电子的烯烃(芳香释放中断裂的键用红色表示)。

在恶劣环境(如碱性液体洗涤剂基)中储存稳定性的必要性和香味释放的设计不稳定性之间的二分法对水解前体提出了特殊的挑战。一个成功的例子是Scentaurus Clean(155,方案13),它是强效2-甲基十一烯醛(156)与乙酰乙酸乙酯(157)的Knoevenagel缩合产物。[137]它于2018年推出,在环境空气中缓慢水解后释放出一种新鲜的醛样香气。前体也可用于替代受监管的材料。因此,双环恶唑烷158(“环唑烷”)在洗衣护理应用中的效果与CMR标记的铃兰醛相似,因此被称为“铃兰醛替代品”。[138]

香海拾贝(3)—2000-2020年的香气流行趋势

方案13. 芳香醛的水解前体(芳香释放过程中断裂的键用红色表示)。

最后,在Scentaurus Tonkarose(159)的帮助下,一种光激活的香料前体被引入市场。[139]159暴露于在UVA范围内的可见光下,提供足够的能量来诱导(E)→(Z)的异构化,然后自发乳糖化,形成香豆素(160)和Rosalva(161,方案14)。

香海拾贝(3)—2000-2020年的香气流行趋势

方案14. 芳香醛的水解前体(芳香释放过程中断裂的键用红色表示)。

162连续暴露于脂肪酶和光下,可释放由(3Z)己烯醇(163)、香豆素(160)和香茅醇(164)组成的具有青香、脂蜡香、玫瑰花香的三元组。[140]有趣的是,(3Z)-162的酶水解速率(通过162的初步光照获得)比(E)顺式形式慢三倍,后者提供了微调香味释放的额外可能性。

7.甜香、辛香和所有美好

7.1辛香料和酚醛类

过去几年的香草危机突显了这一最受欢迎的香料成分的模糊性。由于作物欠收和市场投机,全球出现了香草豆荚短缺,导致香草豆荚以白银价格出售。香兰素(165,图16)是香草豆的主要气味分子,被称为最早的合成香料成分之一。它最初由丁香酚(丁香油)合成,后来由造纸厂的木质素废料[6]或石油化工原料愈创木酚(guiacaol)生产。目前,除了这三种生产途径外,香兰素还可以通过化学合成或发酵从阿魏酸中获得。[141]

乙基香兰素(153)与之密切相关,但在自然界中没有发现,它的香气浓度是香兰素的两倍。不幸的是,酚类香兰素和乙基香兰素的固有反应性导致稳定性和变色问题,从而限制了它们的使用。在碱性介质(如肥皂)中或暴露在光线下时,会变成棕色或粉红色。此外,出于人身安全考虑,有相关成分苯并二噁茂的洋茉莉醛和黄樟素也受到了审查。由于其作为合成甲基苯丙胺(如摇头丸(3,4-甲烯二氧甲苯丙胺)的起始原料受到限制。[142]黄樟素因具有致癌潜力,1987年被IFRA标准禁止。这些使用限制是香料化学家开发新的美食型香气分子用于制作香脂基调的重要动机(图16)),在洗衣护理、异国情调的沐浴露或东方精致的香水中很受欢迎。

几十年来,人们已经知道4-烷基愈创木酚衍生物具有辛辣或烟熏色调,但也可以表现出香草醛的味道,因此经常被用于赋予香草的天然感。[143]上世纪90年代推出的Ultravanil(166)呈现出一种甜的粉状香草香味,没有上述辛辣烟熏味。[144]它建立在与乙基香兰素相同的乙基愈创木酚主链上,具有类似的检测阈值。芳香醛官能团的去除减少了变色问题,并且Ultravanil尤其是在碱性介质中表现出更显著的稳定性。此外,这也提高了亲和性。这一概念被扩展到Vanincol(167)的开发中,引入了碳酸盐保护基团[145],但降低了强度。Veraspice(168)是一种异构的乙基苯胺丙基环己醇的混合物,其中酚类被饱和环己基环取代,从而产生辛辣的内涵。香草醛醇是天然香草提取物的成分之一,虽然强度较低,但也有香草味。[146]因此,更强的乙基香草醛衍生物169与香草醇170的乙醚一起被称为“白香草”。这两种成分都表现出更辛辣的含义,考虑到它们与甲基和乙基的Diantilis非常相似,这并不奇怪,[1]后者的效力更大。就强度而言,唯一能与香兰素和乙基香兰素竞争的香草类成分是香兰素肟醚171,尽管其稳定性有所提高,但迄今尚未上市。[147]

香海拾贝(3)—2000-2020年的香气流行趋势

图16. 香兰素和相关香草香型香气分子。

由于其潜在的遗传毒性作用,IFRA限制茴香脑后,Belanis(173)被列为非酚类茴香成分。[148]它是通过3-氧代戊二酸甲酯(172)和2-己烯醛的罗宾逊环化反应以及伴随的脱羧反应合成的(方案15)。在著名的 De Laire基地的遗产中,这一垄断的香气分子目前可在“Poivre Piqué DL”中找到。

香海拾贝(3)—2000-2020年的香气流行趋势

方案15.Belanis(173)的合成。

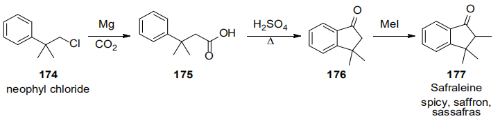
天然藏红花香气分子藏红花醛(2,2,6-三甲基-4,6-环己二烯-1-碳醛)由于其敏化特性,在最终应用中仅限于0.005%。另一种选择是藏红花茚满(177),它有一种辛辣、温暖的藏红花般的气味。茚满176是通过氯甲基氯化镁(来自174)的羧化反应和随后的酸催化分子内的Friedel-Crafts酰化反应来构建的。然后,α-烷基化提供了藏红花茚满(177,方案16),[149],它与香兰素、 Isobutavan(香兰素异丁酸酯)、甲基Diantilis、甲基和乙基Laitone一起出现在“Vanille Fatale”(Tom Ford Private Blend,2018)中,证明了辛辣物质对突出甜味的重要性,这种甜味因其无处不在的麦芽醇香气而在当前女性香水中广受追捧。

香海拾贝(3)—2000-2020年的香气流行趋势

方案16. 藏红花茚满(177)的合成。

天然藏红花除了有辛辣的、几乎是甜的特征香气外,还有一种皮革般的、几乎是动物般的特征香气。Saffiano(183)从苯醌与烯胺180的反Diels–Alder反应中获得了这种更明显的天然动物香方向(方案17)。部分氢化的羟基苯并呋喃184保持皮革的香气,但强度降低。当取代基发生改变时,如185和186中所示,皮革的香气很快就会变成香脂香气,如图17所示。[150]

香海拾贝(3)—2000-2020年的香气流行趋势

方案17.Saffiano(183)和相关的氢化苯并呋喃。

7.2美食香型香气分子

香豆素(160)是零陵香豆的天然成分,也是经典馥奇香型的主要原料之一,它是“Fougère Royale”(Houbigant,1884)的传奇性化身,但因其毒理学特性而受到审查,通常被认为是不受欢迎的。[151,152]在大多数国家,它作为一种禁止的食用香气分子,在香水中的使用也受到了批评。此后,非芳香双环内酯因其甜味、香豆素样香气而出现(图17)。

香海拾贝(3)—2000-2020年的香气流行趋势

图17.双环内酯与甜椰子和黄花草香气。

薄荷内酯(187)在结构上与异胡薄荷醇和薄荷醇有关,最初是从黑薄荷油(Mentha × piperita L.)中分离出来的,但也存在于其他薄荷油中,如Mentha × cardiacaJ.Gerard ex Baker 和Menthaarvensis L.。[153]在几种带有椰子果味的白葡萄酒中发现了同分异构的葡萄酒内酯(188),并首次从一个Gewürztraminer品种中分离出来。[154]这两种成分都具有强烈的乳糖香气,让人想起椰子和香豆素。Helmut Guth合成并表征了葡萄酒内酯(189)的所有八种立体异构体,并确定天然(3S、3aS、7aR)配置的异构体最强,气味阈值极低,为0.01–0.014 pg/L空气。尽管所有异构体都具有典型的椰子特性,但大多数异构体都要弱得多,甚至无味。最近报道了一些合成葡萄酒内酯(188)的新途径。Ru(II)催化的多米诺动力学拆分-不对称转移氢化序列通过过渡态(TS)192为葡萄酒内酯(188)提供>99.9%ee(方案18)。[155]其他令人印象深刻的见解涉及见文中的188合成[156],以及使用真菌(Pleurotus sapidus Quél)进行的首次生物合成。[157]

香海拾贝(3)—2000-2020年的香气流行趋势

方案18.通过动态动力学拆分,不对称结构的葡萄酒内酯(188)的(3S,3aS,7aR)天然构型立体异构体——通过提议的过渡态192,羰基栓系Ru(II)配合物的不对称转移氢化(DKR–ATH)。

Gaudin发现,二氢类似物具有令人愉悦的香豆素气味,更接近通零陵香豆而不是椰子。[158]令人惊讶的是,1984年就把189当作驱虫剂而报道[159],但直到21世纪初才在香水中得到应用。

香海拾贝(3)—2000-2020年的香气流行趋势

图18.Koumalactone 异构体的香气特征(189)。

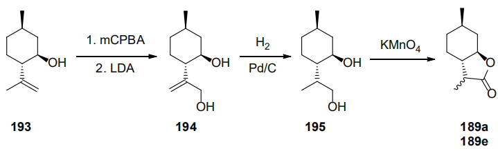
图18详细说明了八种Koumalactone立体异构体(189)的香气,虽然它们都具有香豆素的特征香气,但只有189b、d、e和189f具有商业相关性的阈值。同分异构体189e以Natactone的形式出售,而 Koumalactone是189a和189e的12:1混合物。如方案19所示,该混合物通异胡薄荷醇(193)的环氧化和LDA(二异丙胺锂)开环氧化反应得到烯丙醇194。烯烃氢化后,伯醇195被氧化,游离羧酸在此基础上环化为内酯异构体189a和189e。同样的合成路线可以从新异戊醇中获得189b和189f。[160]

香海拾贝(3)—2000-2020年的香气流行趋势

方案19.由异胡薄荷醇(193)合成Koumalactone(189a/e)。

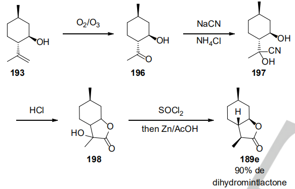
二氢薄荷内酯的工业合成(方案20)通过异胡薄荷醇(193)的臭氧化,然后氰化和水解成羟基内酯198进行。198的还原条件会影响异构体的比例,氯化亚砜与乙酸锌生成含量为90%的异构体189e。[161]

香海拾贝(3)—2000-2020年的香气流行趋势

方案20.异胡薄荷醇向二氢薄荷内酯(189e)的臭氧分解。

7.3胡椒样香气分子

莎草奥酮Rotundone(202)最早于1967年在杂草Cyperus rotundus L.的块茎中发现。[162]它是黑胡椒和白胡椒的主要香气原料[163],在多种其他精油[164,165,166]中都有微量浓度的描述,并增强了水果风味的自然感,赋予西拉红酒(Syrah wines)特征香气。[167]

香海拾贝(3)—2000-2020年的香气流行趋势

方案21.愈创木烯(199)氧化为莎草奥酮(Rotundone)(202)。

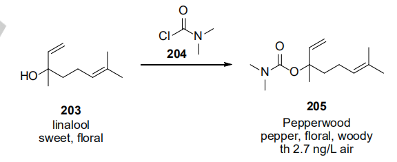
莎草奥酮Rotundone(202)有着令人印象深刻的胡椒木香味,有着微摩尔的临界值和传奇的香气。它的自然存在被认为是空气或倍半萜愈创木酚酶氧化的产物(199,方案21)。[168]前一种途径影响烯丙基常压氧化,形成过氧化轮烯基(200)。这种过氧化物的自发降解提供了带有烯丙醇的莎草奥醇rotundol(201),它本身是一种强烈的胡椒香气和木质香气,(1R)-立体异构体具有0.47 ng/L空气的低气味阈值。[169]文献中发表了许多将α-愈创木酚氧化为Rotundone的方法,例如滤纸氧化、[170]PCC或铁血红素氧化,但都是低产率的。[171]Akigalawood是一种含有两种被垄断的rotundol异构体萜烯混合物,[172]本质上是广藿香油废馏分[6]的一种向上循环产物。Akigalawood由漆酶介导的酶氧化系统制备,是一种氧化倍半萜的复杂混合物,即使在微量浓度下,也能给材料带来胡椒和广藿香气。2015年,它与“Miu Miu”(Miu Miu,2015)中的铃兰花香形成鲜明对比,随后又与Roland Mouret – UneAmourette' (État Libre d’Orange,2017)中的一款大花茉莉形成了鲜明对比。2004年,Flachsmann和Bachmann报道了氨基甲酸酯类化合物作为香水成分,开启了香水化学的新篇章,但这一领域迄今为止一直被忽视。[173]有趣的是,这种未充分开发的功能性将芳香醇的气味扭曲成了辛辣的木本调性。胡椒木(205,方案22)是芳樟醇的二甲基氨基甲酸酯衍生物,具有强烈的辛辣特征,为许多香水创作增添了新鲜感和升华感,这一特征在Hermann À Mes Côtés MeParaissaît Une Ombre’ (ÉtatLibre d’Orange, 2015)中得到了充分利用。

香海拾贝(3)—2000-2020年的香气流行趋势

方案22.胡椒木(205)的合成。

关联香精

服务热线

177-5061-9273

添加微信咨询

添加微信咨询