新闻动态
News
行业新闻

香海拾贝(2)—千禧年以来20年的流行趋势

2022年04月19日中外香料香精第一资讯浏览量:0

什么是流行的 fun88乐天堂,什么不是:过去20年中香气分子化学的趋势.

Nicolas Armanino, Julie Charpentier, Felix Flachsmann, Andreas Goeke, Marc Liniger, and Philip Kraft

Givaudan Schweiz AG, Fragrances S&T, Ingredients Research, Kemptpark 50, 8310 Kemptthal, Switzerland.

3.果香型香气分子

3.1头香特征:新鲜和果味

对持久香气的需求从未停止过,这对果香香气领域提出了特别的挑战。天然水果香气原料,如短链羧酸、酯类和硫醇,具有挥发性和高度水溶性。因此,它们只能在香精的头香中被感知,并且不会对洗去型用品,如洗发水或衣物洗涤剂,在用完干燥后的香气作出贡献。近年来,可以通过多种策略的组合来克服这些局限性,例如引用非常强大的新型果味香气分子、新型香味封装技术[13],以及释放前体的果香(参见第6,4节)。 fun88乐天堂官网是什么

香海拾贝(2)—千禧年以来20年的流行趋势

图2. 重要的环烷基羧酸乙酯。

直到最近,人们才认识到已知产品Esterly(1)[14]和Tropicalia(2)[15]在创造香精和香料方面的价值,这些简单的化合物具有非常强烈的成熟水果香气 乐天堂fun88靠谱吗,其阈值比线性化合物低60-100倍,可生物降解的天然化合物Esterly(1)作为微量成分存在于某些食品中,如橄榄油,[16]它增强了其他带有果香的酯类化合物的影响,并导致整体有着非常强烈和天然果香的特征,甚至可以在干洗衣物上感受到。

环己烷1,4-二酯果酸酯(3)具有类似但较弱的气味,其中1,4-顺式异构体占主导地位,[17]果酸盐(3)在“Oxygene Homme”(Lanvin,2001)中出现,环戊二烯和丙烯酸乙酯的Diels–Alder产物被称为 Tropicalia(2),内同分异构体呈现出强烈的果香,甜香和青香 fun88乐天堂,其中25%外同分异构体的存在增加了汁水感和蜜露的味道,[15]环戊烯基乙酸乙酯(Sultanene,4)[18]结合环己基羧酸盐化合物中带有线性γ-不饱和酯的梨香(参见第4节)。

3.2黑醋栗:非粘性的温和

自上一次综述[1]以来,对备受推崇的黑醋栗香气方向的研究一直激励着化学家,黑醋栗的香气可分为含硫方向和非含硫两个方向。各种生物遗传来源的含硫挥发物是大多数成熟水果的重要香气成分。由于其挥发性、低浓度和有限的稳定性,样品制备和分析需要特殊技能,以便能够检测此类化合物。因此,通过仔细的真空顶空提取黑醋栗浆果(Ribesnigrum L,),5可以被鉴定为具有最高香气活性的成分之一(图3)。[19] 乐天堂FUN88

香海拾贝(2)—千禧年以来20年的流行趋势

图3 fun88乐天堂官网, 黑醋栗含硫和非含硫的香气分子化合物。。

Sarrioxane(6)[20]可以被视为5的环状同系物,就像Oxane(8)是番石榴(7)的环状类似物一样,与游离硫醇相比,恶唑烷更弱,含硫量更少,它们还表现出额外的草本,绿色或薄荷味,对于7和8,具有理想果香的嗅觉对映体是那些在含硫的碳原子上具有(R)-构型的对映异构体,[21,22]Sauvignone100(9)是天然西番莲和葡萄柚香气化合物4-巯基-4-甲基-2-戊酮(4-MMP,150)的同系物,与氧和硫官能团之间通常的1,3-间位关系不同,Tropicol(10)[23]含有2-巯基,在非常高稀释度的食用香料和日用香料中很有用,为了将黑醋栗的气味重组为功能性香水,研究集中在无硫成分上,因为它们更稳定,更容易当作药剂,在一系列被取代的芳香酰胺,一种在香气分子的化学结构中很少见到的官能团中,Paradisamide(11)[24]因其非常丰富且美观的热带水果和黑醋栗香味而脱颖而出 fun88乐天堂官网是什么,离子衍生的天然黑醋栗香气分子茶螺烷(17,方案1)作为新黑醋栗香气分子的模板,经过改造的茶螺烷的次生结构(17)最终发现了 Cassyrane(15),[25]这是“泡沫之水3”的重要组成部分(Erik Kormann,2013年),Cassyrane的合成包括向叔丁基丙基酮(12)中添加2-羟基-3-丁烯双阴离子,然后在弱酸催化下对中间体14进行Lindlar氢化,并将环闭合至15,[26]完全氢化的类似物16的强度是原来的四倍(31ng/L空气)。

香海拾贝(2)—千禧年以来20年的流行趋势

方案1 乐天堂fun88靠谱吗,Cassyrane(15)和2HCassyrane(16)的合成。与天然产物茶螺烷(17,蓝色的)相比,显示出最强的Cassyrane立体异构体(2S,5R)-15。。

15和16的全部八种纯立体异构体的合成已经实现。[27]由于它们是具有高挥发性的液体头香化合物,其构象无法通过X射线晶体学确定。然而,在香气分子化学中,气相结构首次可以通过分子束傅里叶变换微波(MB-FTMW)光谱测定,在MP2/6-311++G(d,p)水平上计算的旋转常数与实验值相对应,偏差小于1,5%。这些结构可以与它们的嗅觉特性相关联。[27,28](2S,5R)-15构型对嗅觉特性影响力最高。 fun88乐天堂

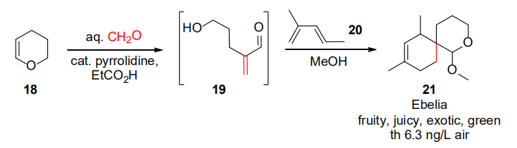
选择了一种原子经济的[6]相关螺环化合物方法,在水溶液中进行有机催化一锅法合成新鲜,果香香气,被垄断的香气分子Ebelia(21)(方案2),在多组分多米诺序列中,二氢吡喃18首先水解,然后甲基化为中间羟基醛19,其在原位与甲基戊二烯进行Diels–Alder反应 乐天堂FUN88,然后在第二步与甲醇缩醛化,[29]。

香海拾贝(2)—千禧年以来20年的流行趋势

方案2. Ebelia(21)的多组分多米诺反应

4.青香型香气分子

4.1人参和绿梨

在自然界中,叶子和水果的青香香气主要由所谓的“叶醇”(3Z)己烯-1-醇(163)及其相应的醛(154)发出,这两种物质都是从亚麻酸中生物衍生出来的。[30]因此,许多青香香韵的香气分子展现出相关的结构,同时连接到其他嗅觉方向。在现代香水创作中,青香香韵为有着甜美果香的香气分子结构提供了令人耳目一新的转折点。青香和果香的连接上由许多不饱和酯类化合物(方案3),尤其是Guavanate (22)、Cyclogreen(23)、Montaverdi(24)和Anapear(25)组成,后者在《男性痴迷之夜》(Calvin Klein,2005)中被提到,为这种东方香调的香水提供了梨的清新感。在香水和香料中最具特色的一种梨成分可能就是梨酯(30)了,其具有一种很容易辨认的Williams梨香味。这种天然存在的成分可以通过乙炔化物加成己醛(26)来安静地制备[31],将27与原乙酸三乙酯进行约翰逊-克莱森重排,生成丙二烯28。然后,在氧化铝存在下加热,将其选择性异构化为梨酯中的(2E,4Z)-二烯。据信,这种异构化是通过三油酸酯29从烯的最小阻碍面质子化进行的,从而形成关键的(Z)-烯烃。[32]在流行的梨香香气中,Quinceester(31)也很突出。[33]额外的(Z)-烯烃带来了令人明亮的青香,为经典的梨香香气带来清新。Quinceester在来自利基品牌术语“para_íso”(2018)中起作用,该术语专门强调合成成分。

香海拾贝(2)—千禧年以来20年的流行趋势

方案3. 具有典型果香-青香香气的不饱和酯与梨酯(30)的合成。

水果和花朵的青香方面也可以通过紫罗兰叶的香气分子实现(图4)。其中值得注意的是Undecavertol((E)-4-甲基癸醇-3-烯-5-醇,32)和相应的酮Veridian(33),其可通过醇在非均相催化剂的作用下通过分子氧氧化获得。[34]Veridian在“迷恋的花丛”(Vera Wang,2011)中扮演了重要角色,将番石榴和莲花的青香联系起来。紫罗兰叶香气分子其他的重要部分还有是庚酸丙酸甲酯(35)及其同系物辛炔羧酸甲酯(36),两者在商业上都以错误的化学名称“碳酸盐”出售。前者在标志性的“华氏温度”(迪奥,1988年)中明显过量。这些材料现在受到使用限制,这导致了替代成分的开发,如Violettyne(37)[35]和缺乏活性Michael 受体的Oxadiene(38)。最后,柑橘和青香的清新气息结合在Verbetryle(34)中,[36]在“Spigo 1920 ”和“Verde di Mare”(Bois 1920,2014)的香水中呈现出其特色。

香海拾贝(2)—千禧年以来20年的流行趋势

图4. 青香紫罗兰叶香气分子和芳香杂环化合物

从水果的清新到植物根部更深处、看清线性为主的植物内涵,通常不饱和结构被紧凑的含氮杂环结构所取代。通过简单的化学反应可以获得的重要例子有Capsydine(39)、[37]Vethymine(40)和Bigaryl(41),[38]它们具有独特的青香、人参香气。

4.2从绿茶到Shiso的叶子和针叶

青香香韵给人一种清新和干净的印象,因此这一领域新的香气分子备受追捧。Violiff(42),[39]一种青香、花香的紫罗兰叶状基准激发的新材料,比如Tanaisone(43),它具有草本的辛辣气味,以及Florymoss(44),它提供了一种独特的苔藓气味(图5)。[40]这些化合物是通过环辛烯的Kondakov酰化反应生成的,具有选择性双键位移。在45%的空气中引入乙酯功能,可显著降低1–4 ng/L空气的气味阈值。[41]3-甲基壬-2,4-二酮(46)的强大绿茶特性在香料中使用了一段时间,最初被注册用于香水[42],命名为“竹酮”,后来被命名为“茶酮”。3-羟基衍生物47和一些主要由光氧化产生的甲基壬二酮的Baeyer–Villiger产物可被视为二乙酰(2,3-丁二酮)的前体,二乙酰是产生黄油香气的重要原料。[43]这种化合物也与陈酿的老酒有关,[44]和47的商用标签为内酰胺二酮(47)。[45]甲基壬二酮(46)的奶油感、黄油香气很可能也是由微量的双乙酰引起的。双乙酰前体化合物,例如二聚体5-乙酰二氢-2-羟基-2,5-二甲基-3(2H)-呋喃酮(48)[46]可以安全地传递双乙酰,这是香水中的一种限制性成分[47]。1,3-二酮49(R1,R2=甲基;R3=烷基,甲氧基,羟基)也被描述为具有独特的黄油、奶油香气,但也有花香和果香,可用于香水。[48]

香海拾贝(2)—千禧年以来20年的流行趋势

图5. 叶青香气领域的新香气分子,转变为奶油、黄油香气和饕餮香韵。

紫苏醛是紫苏叶、Perilla frutescens(L.)Britton的主要香气分子,具有特有的辛辣-叶青香气。尽管RIFM认为这种材料用于香料应用是安全的,但欧洲食品安全局(EFSA)对食品用途表示担忧。[49]或者,创造了由两种组成异构体组成的Shisolia(53),并通过一锅有机催化多米诺甲基化Diels–Alder反应通过短寿命的甲酰丁二烯中间体51生产(方案4)。[50]它有强烈的紫苏叶气味,在口腔护理应用中表现良好[51],并为“你或像你这样的人”(État·Libre d’Orange,2017)或“Dylan Blue pour femme”(范思哲,2017)等香水带来独特的香气。

香海拾贝(2)—千禧年以来20年的流行趋势

方案4. 通过多米诺甲基化Diels–Alder反应合成Shisolia(53)。

图6汇集了其他几种叶青香气的化合物结构和性质。在Figolide(54)中,[52]5位的丙基单元将乳糖气味(通常归因于6-取代吡喃-2-酮)改性为青香、似无花果叶的香气。Freshone(55)[53]是一种由乳酸和薄荷酮组成的新鲜薄荷缩酮,而氢化苯并呋喃衍生物Floriane(56)[54]具有更明显的松樟香气。最近,人们声称有很多一系列的莳萝醚和薄荷内酯类似物,尤其是57,具有真实的、青香、桃色子样香气特征。[55]对于某些结构相关材料,参见下文(第7.2节)。

香海拾贝(2)—千禧年以来20年的流行趋势

图6. 含有青香、黑色水果的香气、薄荷和乳糖香气的新合成材料。

5.海洋型分子

5.190年代的微风:Calone&Co

在之前的综述中讨论了海洋型香气分子的开始[1],Calone 1951(58)确实成为了20世纪90年代和21世纪初的一个缩影——在“雨果元素”(Hugo Boss,2009年)或“fluo_ral”(Nomenclature,2019年)中着重强调。甚至还有一种家用香水“Calone 17”(Le Labo,2015),58因此被许多人认为是功能性和合成的。海洋型香气分子通过一些替代的二氢苯并[1,4]二氧蒎-3(4H)-酮(如Aldolone(59)和Cascolone(60))得以复兴,分别用n-和异丙基取代了Calone 1951(58)的甲基。例如,Cascelone(60)被用于“‘L’Eau D’Issey Lotus”(三宅一生,2014年),与Aldolone(59)一起用于“Flower L'EauOriginelle”(Kenzo,2015年)。和59和60一样,Transluzone(61)比58闻上去更有醛香,但也有青香、胡桃木般的香气。这些苯并二氧蒎酮在“Replica Beach Walk”中进行了探索(Maison Martin Margiela,2012)。

香海拾贝(2)—千禧年以来20年的流行趋势

图7. 1951年与Calone(58)有关的海洋香型香气分子59-66。计算出的阈值(calcd.)参考原件(orig.)和修订版(rev.)的嗅觉载体模型,如图9所示。

由于预计强度将随着侧链长度的增加而降低,因此原始专利中的取代基以C4的最大值结束。[56]然而,分子模拟表明,一种遥远的疏水性,可以用62的异戊基取代基来解决,从而产生0.014 ng/L空气的极低气味阈值。[57]Azurone(62)首次在碘协议中的“Sécrétions Magnifique”(État Libre d’Orange,2006)以0.025%的价格亮相,并在“可爱的日子”(Ramon Monegal,2010年)中占据显著位置。有趣的是,一些海洋型香气分子具有意想不到的甜辛香和香草特性,这些是醛63的主要特征(图7),[58]显示出与香兰素的一些明显的结构相似性(165,图16)。化合物63可能由乙烯基化合物64-66的缓慢氧化裂解形成(参见第6.4节前体),表明这些乙烯基化合物缺乏稳定性。另一方面,共轭双键将气味阈值从59显著降低到64,降低了一个数量级。双键的共轭可能会使芳环平面上的分子变平,在0.0001 ng/L空气下,戊二烯基衍生物65保持着海洋型香气分子中最低阈值的记录,紧随其后的是更令人愉悦的异己烯基衍生物66。[59]为了解释这种影响,对图9中的嗅觉团模型进行了修正,从而在测量和计算的阈值数据之间产生了令人印象深刻的相关性(图7)。

香海拾贝(2)—千禧年以来20年的流行趋势

图8. 二氢苯并[1,4]二氧蒎-3(4H)-酮在6号位的不同取代基形成的香气分子67-70,香气在水感-海洋香型和铃兰花香-醛香之间过渡。

进一步系统地研究了这些苯并二氧蒎酮的不同取代方式对嗅觉特性的影响。[60]间位取代的Conoline(67)与58相比香气相对较弱,但他们在一些6-取代衍生物中发现,如香气分子68具有更多花香、山谷百合(铃兰)的特征香气。这些可以通过战略性地放置环丙基环来增强,以此发现铃兰花香气分子69和70。[61]

5.2海洋香型嗅觉载体的修订版

尽管存在这些铃兰香韵,但海洋型香气分子的结构性质非常相似,因此理论上很适合结构与气味关联。Azurone(62)是通过系统地探索空间构像而发现的,这导致了海洋香型嗅觉载体模型在距离芳香结合位点6.3Å的地方出现了意想不到的疏水性脂肪族。[57]虽然该模型的相关系数为0.59,但它不能很好地预测共轭体系64–66(图7)。因此对其进行了修订,以解释两个阈值较低的化合物65和66(图9)。修正后的模型的相关系数为0.85,并解释道苯乙烯体系64–66的阈值较低是因为苯乙烯体系与平面结构结合更好。脂肪族疏水分子现在位于离芳香结合位点7.23Å的位置,香气分子被氢键受体锁定(图9中绿色部分),它们的数量从三个减少到两个。六个排除体积取代了原始模型中的三个。这说明了嗅觉载体模型是如何随着对结构参数的深入了解而发展和改进的。

香海拾贝(2)—千禧年以来20年的流行趋势

图9. 原始和修订的铃兰嗅觉模型与Azurone(62,黑色)、78(见上图,银色)和“Neoazurone”(66,金色)的比较。[59]阴影特征来自原始海洋香型香气分子模型,而修订后的特征用纯色描绘。

Gaudin等人[60]曾推测,七元环的几何结构是伪船型结构,这对海洋香气具有决定性作用。我们对最强烈的化合物65的修正嗅觉团模型(图9)提出了一个伪半椅构象,尽管65的伪船型结构和伪椅型结构之间的能量屏障仅为1.8 kcal/mol。然而,Gaudin等人[60]提出海洋香气分子进一步的结构要求与修订后的海洋嗅觉模型非常一致:两个含氧官能团和一个芳香环,该环上仅有一个的脂肪族C3–C6的取代基,以及羰基的α位置没有取代基。

5.3其他海洋香型香气分子

一种完全不同的结构是Symmarine(71,方案5)[62],它是一种对癸基吡啶,具有明显的海洋、牡蛎和藻类气味。2010年,苯并二氧唑衍生物Aquozone(72)[63]被开发出来,具有强烈的海洋、果香和青香。

2018年发现了一系列海洋香型茚满醛。[64]具有仲丁基(73)和异戊基侧链(78)的两种衍生物产生了特别的兴趣(方案5)。醛73在Floraloozone(74)的方向上赋予组合物一种令人愉悦的清新、花香和水感,而醛78则更透明、扩散力较好、有西瓜样香气,让人想起Azurone(62)和Calypsone(82)。化合物78不仅具有Azurone的侧链(62,参见图7),而且它还具有0.018 ng/L空气的类似气味阈值。73中的一条短侧的碳链导致0.14纳克/升空气的气味阈值比78高10倍。虽然这些茚满醛不属于修订后的嗅觉团模型(图9)训练样本,但对78的预测是由测得0.018ng/L空气的条件下计算得到0.064ng/L空气,即使它仅与一个氢键受体结合。如方案5所示,茚满基醛78由茚满基酯75经与3-甲基丁酰氯的Friedel–Crafts酰化反应分四步制备,然后进行苄基氢化,还原酯功能,并用氯铬酸吡啶(PCC)再氧化成醛。[64]

香海拾贝(2)—千禧年以来20年的流行趋势

方案5. 各种海洋型香气分子的概述和合成:Symmarine(71)、Aqueozone(72)和两种茚满醛73和78。

香海拾贝(2)—千禧年以来20年的流行趋势

方案6. Calypsone(82)的工业合成。

与历史上主要基于苯并二氧塞平骨架(图7)和上述芳香化合物的海洋香气不同,2005年Calypsone(82)的引入,[65]一种具有花香、海洋、醛香性质的线性甲氧基醛,改变了海洋型香气分子的化学成分。如方案6所示,其合成始于甲基辛烯酮(79),在酸性条件下加入甲醇。然后通过两步程序完成正式的C1同源。甲氧基酮80与氯乙酸甲酯的Darzens缩合提供了中间环氧酯81。在第二步中,酯基先水解,然后脱羧,环氧化物随之重排,最终生成Calpysone(82)的醛基官能团。例如,它曾被用在“HermannÀMes CÀtés Me Paraissaît Une Ombre”(État Libre d’Orange, 2015)和最近的Azzaro pour Homme WildMint’ (Azzaro,2019)。

翻译:蔡尉彤

校对:Tao Feng

服务热线

177-5061-9273

添加微信咨询

添加微信咨询